Материал: 2018

Внимание! Если размещение файла нарушает Ваши авторские права, то обязательно сообщите нам

где

1 n

2

 

 

 

 

.

 

 

n 1 n2

12

 

§ 8. Статически неопределимая балка

Разложен е в ряд Фурье функций прогиба и углов поворота изогнутой балки позволяет рассматривать и статически неопределимые задачи. Общ й подход отличается в принципе от обычного. Именно

лишние реакц

опор рассматриваются как неизвестные внешние си-

С

лы, которые

вместе с известной нагрузкой осуществляют прогиб,

удовлетворяющ й к нематическим условиям, вытекающим из осо-

ба длины , жестко заделаннойАлевым концом, свободно опертой правым

бенностей опор. Эти условия записываются в виде уравнений относи-

тельно не звестных реакций. Особенностью рассматриваемого здесь

являются спец фические (в виде рядов Фурье) представления

приема

функц й прог

угла поворота.

Для ллюстрац

сказанного ограничимся примером балки

и находящейся под воздействием равномерно распределенной по всей длине балки нагрузки q (рис. 3.11).

Д

Рис. 3.11

И

 

Если бы эта балка была свободно оперта на обе опоры, то согласно (3.43) (где следует положить с= ) угол ее поворота в точке х = 0 под воздействием нагрузки q был бы равен

q

0

4ql

3

 

1

.

(3.46)

 

 

 

 

 

 

3EI r 0 2r 1 4

 

 

146

Если, далее, в точке с = 0 к этой балке приложить сосредоточенный изгибающий момент М, то угол поворота от такого момента в точке х = 0 ввиду (3.45) должен быть равен

 

 

 

 

 

 

 

 

 

 

 

 

 

 

 

2Мl

 

 

 

 

 

 

 

 

 

 

 

 

 

 

 

 

 

М 0

 

 

 

1

.

 

 

 

 

 

 

 

 

 

(3.47)

 

 

 

 

 

 

 

 

 

 

 

 

 

 

 

 

 

 

 

 

 

 

 

 

 

 

 

 

 

 

 

 

 

2EI n 0 n2

 

 

 

 

 

 

 

 

 

 

Условие жесткой заделки левого конца балки означает, что

 

 

 

q 0 М 0 0.

 

 

 

 

 

 

 

 

 

 

Вместе с (3.46) (3.47) это дает нам

 

 

 

 

 

 

 

 

 

 

С

4ql3

 

 

 

 

 

 

 

 

1

 

 

 

 

 

 

 

 

 

 

 

 

 

 

 

1

 

 

 

 

 

 

 

 

 

 

 

 

 

 

 

 

 

 

 

 

 

 

 

 

2ql3

 

 

 

 

 

 

 

М

4EI r 0 2r 1 4

 

 

 

 

 

r 0 2r 1 4

.

(3.48)

 

 

2Мl

1

 

 

 

 

 

 

2

 

 

 

 

 

 

 

 

 

 

 

 

 

 

 

 

 

 

 

 

 

1

 

 

 

 

 

 

 

 

 

 

 

 

 

 

 

 

 

 

 

 

 

 

 

 

 

 

 

 

 

 

 

 

 

 

 

 

 

 

 

 

 

 

 

 

 

 

 

 

 

 

 

 

 

 

 

 

 

 

 

 

 

 

 

 

 

 

 

 

 

2EI n 0 n2

 

 

 

 

 

 

 

 

 

 

n 0 n2

 

Воспользуемся

 

 

 

 

 

 

 

 

 

 

, приведенными в § 2:

 

формулами

 

 

 

 

 

 

 

 

 

 

 

 

 

 

 

 

 

 

 

 

 

 

 

 

 

 

 

 

 

 

 

 

2

 

 

 

 

 

1

 

;

 

 

 

 

 

 

 

 

 

 

 

 

 

 

 

 

 

 

 

6

 

 

 

 

 

 

 

 

 

 

 

 

 

 

 

 

 

 

 

 

 

 

 

 

 

 

 

 

 

 

 

 

 

 

 

 

 

 

 

 

 

 

 

 

 

 

 

 

 

 

 

 

 

 

 

n 1n2

 

 

 

 

 

 

 

 

 

 

 

 

 

 

 

 

 

 

 

 

 

2

 

 

 

1

 

 

 

 

.

 

 

 

 

 

 

 

 

 

 

 

 

 

 

 

 

 

 

 

 

 

 

 

 

 

 

 

 

 

 

 

 

 

 

 

 

 

96

 

 

 

 

 

 

 

 

 

 

 

 

 

 

 

 

 

 

 

 

 

 

 

n 1

 

 

 

 

 

 

4

 

 

 

 

 

 

 

 

 

 

 

 

 

 

 

 

 

 

 

 

 

 

 

 

 

 

 

 

2n 1

 

 

 

 

 

 

 

 

 

 

Поэтому выражение (3.48) можно переписать как

 

 

 

 

 

 

 

 

 

 

 

 

 

 

 

 

 

 

 

 

 

 

 

 

 

 

 

 

 

4

 

 

 

 

 

 

бА1

 

 

 

 

 

 

2ql3

 

 

 

 

 

 

 

 

 

 

 

 

 

 

 

 

 

 

 

 

 

 

 

 

 

 

 

 

 

М

 

r 0 2r 1 4

 

2ql3

96

.

 

 

 

 

2

 

 

 

 

 

 

 

 

 

1

 

 

 

 

 

 

 

 

 

 

 

 

 

 

 

 

 

 

 

 

 

 

 

 

 

 

 

2

 

2

 

 

 

 

 

 

 

 

 

 

 

 

 

 

 

 

 

 

 

 

 

 

 

 

 

 

 

 

 

 

 

 

 

 

 

 

 

 

 

 

 

 

 

 

 

 

 

 

 

 

 

 

 

 

 

 

 

 

 

 

 

 

 

 

 

 

 

 

 

 

 

 

 

 

 

 

 

 

 

 

 

n 0 n2

 

 

 

 

 

 

 

6

 

 

 

 

 

 

Окончательно получим

 

 

 

 

 

 

Д

 

 

 

 

 

 

 

 

 

 

 

 

 

 

 

 

 

 

 

 

 

 

 

 

 

 

 

 

 

 

 

 

 

 

 

 

 

 

 

 

М

1

ql3,

 

 

 

 

 

 

 

 

 

(3.49)

 

 

 

 

 

 

 

 

 

 

 

 

 

 

 

 

 

 

 

 

 

 

 

 

 

 

 

 

 

 

 

8

 

 

 

 

 

 

 

 

 

 

 

 

 

 

 

 

 

 

 

что, как известно, является точным решениемИзадачи.

Искомая функция прогиба получается теперь путем сложения функций прогиба свободно опертой балки, загруженной в одном случае равномерно распределенной нагрузкой q, а в другом – моментом M, приложенным к ее левому концу. Для этого надо сложить (x) из формулы (3.36), положив в ней с = l, и vM(x) из формулы (3.43), положив в ней с = 0. В итоге мы получим

147

 

 

 

 

 

 

 

 

 

 

 

 

 

v x

 

2ql

4

 

 

1

1 1 n cos

n

x

 

 

 

 

 

 

 

 

 

 

 

 

 

 

 

 

 

 

 

 

 

 

 

 

 

 

 

 

 

 

 

 

 

 

 

 

 

 

 

 

 

 

 

 

 

 

 

 

 

 

 

 

 

 

 

 

 

 

 

 

 

 

 

 

 

 

 

 

 

 

 

 

 

 

 

 

 

 

 

 

 

 

 

 

 

 

 

 

 

 

 

 

 

 

 

5EI n 1n5

 

 

 

 

 

 

l2 1

 

l

 

 

 

 

 

 

 

 

 

 

 

 

 

 

 

 

 

 

 

 

 

 

 

 

 

 

2 12

 

ql

2

 

 

 

 

 

 

 

1

 

 

 

 

 

sin

n

x.

 

 

 

 

 

 

 

 

 

 

 

 

 

 

 

 

 

 

 

 

 

 

 

 

 

 

 

 

 

 

 

 

 

 

 

 

 

 

 

 

 

 

 

 

 

 

 

 

 

 

 

 

 

 

 

 

 

 

 

 

 

 

 

 

 

 

 

 

 

 

 

 

 

 

 

 

 

 

 

 

4

 

 

 

 

 

 

 

 

 

 

 

 

 

 

 

 

 

 

 

 

 

l

 

 

 

 

 

 

 

 

 

 

 

 

 

 

 

 

 

 

 

 

 

 

 

3

 

 

 

 

 

 

r 0 2r 1 4

 

 

 

EI n 1n3

 

 

 

 

 

 

 

 

 

 

 

 

 

 

 

С

 

 

 

 

 

 

 

 

 

 

 

 

 

 

 

 

 

 

 

 

 

 

 

 

 

 

 

 

 

 

 

 

 

 

 

 

 

 

 

 

 

 

 

 

 

 

 

 

 

Или

 

 

 

 

 

4

 

 

 

 

 

 

 

 

 

 

 

 

 

 

 

 

 

 

 

 

 

 

 

 

 

 

 

 

4

 

 

 

 

 

 

 

 

 

 

 

 

 

 

 

 

 

 

 

 

 

 

 

 

 

 

 

 

v x

2ql

 

 

1

 

cos

2r

x

2

 

 

ql

 

 

 

 

 

1

sin

n

x

 

 

 

 

 

 

 

 

 

 

 

 

 

 

5EI r 1 2r 5

 

 

 

 

 

 

 

l

 

 

 

 

 

 

 

 

 

3 EI n 1n3

 

 

 

 

 

l

 

 

d4vq

 

q x

 

 

Задачи

 

1 1

 

 

 

n

 

 

 

 

 

 

 

 

ql4

 

4

 

 

1

 

 

 

 

 

 

 

2r

 

 

 

 

 

 

 

 

 

 

 

 

 

 

 

 

 

 

 

 

 

 

 

 

 

 

 

 

 

5

 

 

 

 

5

cos

 

 

 

 

 

x

 

 

 

 

 

 

3

 

 

 

3

sin

 

 

 

x .

 

 

 

 

 

 

 

 

 

 

 

 

 

 

 

 

 

 

 

 

 

 

 

 

 

 

 

 

 

 

 

 

 

 

 

4

 

 

 

 

 

 

n

 

 

 

 

 

 

 

 

 

 

 

 

 

 

 

 

 

 

 

 

 

 

 

EI

 

 

2r

 

 

 

 

 

 

l

 

 

 

 

 

 

 

n 1

 

 

 

 

 

 

 

l

 

 

 

 

 

 

 

 

 

 

 

 

 

 

 

 

 

 

 

r 1

 

 

 

 

 

 

 

 

 

 

 

 

 

 

 

 

 

 

 

 

 

 

 

 

 

 

 

 

 

 

 

 

 

 

 

 

 

 

 

 

 

 

 

 

 

 

 

 

 

 

 

 

 

 

 

 

 

 

 

 

 

 

 

 

для решения в аудитории

 

 

 

 

 

 

 

 

 

редине.

 

 

бА

 

 

 

 

 

 

 

 

 

 

1. Для д фференц ального уравнения изгиба балки

dx4

 

 

EI

 

 

, сво-

бодно опертой на концах ( краевые условия для функции прогиба

балки имеют вид: v

q

0 v

 

l

v

 

0 v

 

l ). Под действием на неё

 

 

 

 

 

 

 

 

 

 

 

 

 

 

 

 

 

 

 

 

 

 

q

 

 

 

 

 

 

 

 

 

 

q

 

 

 

 

 

 

 

q

 

 

 

 

 

 

 

 

 

 

 

 

 

 

 

 

 

рыхлого

груза

веса Р,

 

равномерно распределенного на

отрезке

l

 

3l

 

 

 

 

 

 

 

 

 

 

 

 

 

 

 

 

 

 

 

 

 

 

 

 

 

 

 

 

 

 

 

 

x

. Найти прогиб балки в её се-

 

 

;

 

 

,найти функцию прогиба

 

yq

 

 

 

 

4

 

4

 

 

 

 

 

 

 

 

 

 

 

 

 

 

 

 

 

 

 

 

 

 

 

 

 

 

 

 

Д

 

 

 

 

 

 

 

 

 

 

 

 

 

 

 

 

 

 

 

 

 

 

 

 

 

 

 

 

 

 

 

 

 

 

 

 

 

 

 

 

 

 

 

 

 

 

 

 

 

 

 

 

 

 

 

 

 

 

 

 

 

 

 

 

 

 

 

 

 

 

 

 

 

 

 

 

 

 

 

 

 

 

 

 

 

 

 

 

 

 

 

 

 

 

 

 

 

 

 

 

 

 

 

 

 

 

 

 

 

 

 

 

 

 

 

 

 

 

 

 

 

 

d2y

 

 

М x

2.

Для дифференциального уравнения изгиба балки

 

 

 

 

 

 

 

,

dx2

 

 

 

 

 

 

 

 

 

 

 

 

 

 

 

 

 

 

 

 

 

 

 

 

 

 

 

 

 

 

 

 

 

 

 

 

 

 

 

 

 

 

 

 

 

 

 

 

 

 

 

 

 

 

 

 

 

 

 

 

 

 

 

 

 

 

EI

 

 

 

 

 

 

 

 

 

 

 

 

 

 

 

 

 

 

 

 

 

 

 

 

 

 

 

 

 

 

 

 

 

 

 

 

 

 

 

 

 

 

 

 

 

 

 

 

 

И

свободно опертой на концах ( краевые условиям для функции прогиба

балки имеют вид:

 

 

yq 0

 

 

 

 

 

 

 

 

 

 

 

 

 

 

 

 

 

 

 

 

 

 

 

l ).

Под действием на

 

 

yq l yq

 

 

 

0 yq

неё вертикальной силы Р, приложенной в её середине и направленной вниз, найти функцию прогиба y x . Найти прогиб балки в этой точке.

148

Глава 4. ПРИМЕНЕНИЕ РЯДОВ ФУРЬЕ К ИССЛЕДОВАНИЮ УРАВНЕНИЙ КОЛЕБАНИЙ СТРУНЫ

В гл. 3 описывалось применение рядов Фурье к некоторым ис- Сследованиям упругого изгиба балок [13]. В данной главе мы рассмот-

рим метод решения уравнения колебаний струны методом разделения переменных, который также называется методом Фурье (хотя для случая колебан й струны был предложен еще Даниилом Бернулли).

Фурье.

иущественным для этого метода является также использование рядов

Рассмотр м задачу о сво одных колебаниях струны.

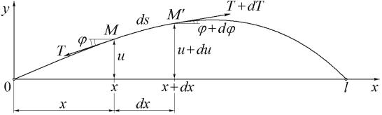
Вывод волнового уравнения.

Струной называется ги кая упругая натянутая нить, не оказы-

вающая сопрот влен я зги у.

Рассмотрим натянутую струну, которая в начальный момент времени совмещена с отрезком [0, l] оси 0х. Пусть концы струны закреплены неподвижно. Если струну тем или иным способом отклонить от первоначального положения и затем предоставить самой себе,

бА§ 1. Уравнения гиперболического типа

то она начнёт совершать колебанияДотносительно положения равновесия, называемые свободными колебаниями (см. рис. 4.1). Требуется найти закон этих колебаний, то есть зависимость перемещения точек

струны от времени x. И Рис. 4.1

149

Будем предполагать, что струна однородна, то есть имеет постоянную линейную плотность ρ [кг·с24] (ρ = γ/g – удельная плотность материала [кг/м3], g = 9,81 м/с2 – ускорение силы тяжести).

Пусть длина струны равна l, а в состоянии равновесия струна прямолинейна и расположена вдоль оси между точками х = 0 и х = l. Если вывести струну из состояния равновесия, подвергнув ее действию какой-нибудь силы, то струна начнет колебаться. Будем считать, что дв жен е всей струны происходит в одной плоскости и что каждая ее точка движется перпендикулярно оси 0х. Смещение точки струны с коорд натой х в момент времени t будем обозначать

через

(x,t) ли просто через и. Предположим далее, что все деформа-

С

удем понимать, что малы как сме-

ции струны малы. Под этим мы

щения

каждого з элементов струны, так и их повороты и'х.

Рассмотр м элемент струны (см. рис. 4.1), который в положении

равновес

меет концами точки х и хх. Пусть в результате откло-

 

струны в некоторый момент времени этот элемент переходит в

нения

 

 

положен е MM′.

 

 

Очев дно, дл на элемента MM′ равна

 

 

x x

1 uх

2dx,

 

 

 

 

 

x

 

 

 

 

бА

что в предположении малости угла поворота элемента (и тем самым тангенса этого угла) приближенно равно х.

и φ + φ. Тогда вертикальная составляющаяДравнодействующей этих двух сил натяжения будет равна

Рассмотрим воздействие на элемент ММ' равнодействующей вертикальных составляющих сил натяжения Т, действующих на его концы. Эти силы действуют в направлении касательных к струне.

Обозначим углы, образуемые этими касательными с осью 0х, через φ И

Т sin ( + ) sin .

Ввиду малости углов φ и φ + φ мы можем синусы заменить тангенсами:

Тtg ( + )-Т tg .

Но тангенсы углов наклона касательных равны производным:

 

 

u

 

 

 

u

 

 

 

Т

 

 

 

 

 

 

 

 

 

 

 

 

 

x

 

 

x

 

 

 

 

 

 

M

 

 

 

M .

 

 

 

 

150