2. Вычислить несобственный интеграл или доказать его расходимость
|
dx |
|
|
|
|
. |
|
3 |
|
||
4 xln |
x |
||
Вариант 23
1. Вычислить следующие интегралы методом замены переменных:
|
|
|
π |
|
|
|
|
|
1 |
|
2 |
|
1 |
xdx |
|
||
а) ex |
15 ex dx; |
б) sin2xcos3xdx; |
в) |
. |
||||
2 |
||||||||
0 |
|
0 |
|
0 |
1 x |
|||
|
|
|
|
|||||
2. Вычислить несобственный интеграл или доказать его расходимость
2 dx1 xln x .
Вариант 24
1. Вычислить следующие интегралы методом замены переменных:
|
|
|
|
|
|
π |
|
|
|
|
e |
|
|
|
4 |
|
1 |
|
|
||
lnxdx |
|
|
|
|||||||
а) |
|
; |
б) cos2 xsin2 xdx; |
в) x |
x2 1 |
dx. |
||||
|
|
|||||||||
1 |
|
x |
0 |
|
0 |
|
|
|||
2. Вычислить несобственный интеграл или доказать его расходимость
|
|
x4 |
|
dx. |
|
|
|
|
|
||
1 x5 |
|||||
|
|
||||
Вариант 25
1. Вычислить следующие интегралы методом замены переменных:
0 |
|
|
|
|
|
|
|
π |
|
|
|
|
|
|
|
|
|
|
|
xdx |
|
|
2 |
|
ln3 |
e |
x |
dx |
|
|
|||
а) |
|
|
|
|
; |
б) sin3 xdx; |
в) |
|
|
. |
||||||
|
|
|
|
|
|
|
|
|
|
|||||||
|
|
|
|
|
|
|
|
|
||||||||
1 |
|
|
1 x4 |
0 |
|
0 1 ex |
||||||||||
2 |
|
|||||||||||||||
|
|
|
|
|
|
|
|
|
|
|
|
|
|
|
|
|
63
2. Вычислить несобственный интеграл или доказать его расходимость
x2
01 x3 dx.
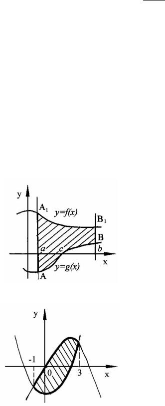
§3. Вычисление площадей плоских фигур
В этом параграфе при помощи интегрального исчисления будет решен ряд задач.
Вычисление площади в прямоугольных координатах
Площадь S фигуры, ограниченной графиками функций y f x (сверху), y g x (снизу) и прямыми x a; x b, подсчитывается по формуле
Действительно,
Рис. 4
Рис. 5
|
b |
|
|
S |
f x g x dx. |
(2.17) |
|
|
|
|
|
a
в силу геометрического смысла определенного интеграла [см. равенство(2.3)] имеем
(рис. 4)
b |
b |
f x dx S aA1B1b и g x dx S cBb S aAc ,
a |
|
a |
поэтому |
|
|
b |
b |
b |
f x g x dx f x dx g x dx
a |
a |
a |
S aA1B1b S cBb S aAc S , как это вид-
но из рисунка.
Пример 1. Вычислить площадь между параболами y 4x x2 и y x2 6
(рис. 5).
Решение. Сначала найдем точки пересечения парабол, для чего решим систему уравнений
y 4x x2 ;
y x2 6,
т.е. найдем точки на плоскости, коорди-
64
наты которых удовлетворяют одновременно уравнениям обеих парабол. Из этой системы
|
x2 6 4x x2; 2x2 4x 6 0; x2 2x 3 0 и |
|
|
|
|
|
||||||||||||||||||||
|
x |
|
|
2 |
22 4 3 |
|
2 4 |
или x 1;x |
2 |
3. |
|
|
|
|
|
|
|
|||||||||
|
|
|
|
|
|
|
|
|
|
|
|
|
|
|
||||||||||||
|
1,2 |
|
|
|
2 |
|
2 |
|
|
|
1 |
|
|
|
|
|
|
|
|
|
|
|
||||
|
Тогда по |
|
|
|
|
(2.17) |
|
|
|
площадь |
|
|
|
будет |
равна: |
|||||||||||
|
формуле |
искомая |
|
S |
|
|||||||||||||||||||||
|
3 |
|
|
|
|
|
|
3 |
|
|
|
|
|
|
|
|
2 |
|
|
|
|
|
3 |
|
||
|
|
|
|
|
|
|
|
|
|
|
|
|
|
|
|
|
|
|
||||||||
S 4x x2 x2 6 dx 6 4x 2x2 dx |
2 |
|
x3 |
|
|
|
||||||||||||||||||||
6x 2x |
|
|
|
|
|
|
|
|||||||||||||||||||
3 |
|
|
||||||||||||||||||||||||
|
1 |
|
|
|
|
|
|
1 |
|
|
|
|
|
|
|
|
|
|
|
|
|
1 |
|
|||
|
|
|
|
|
|
|
|
|
|
|
|
|
|
|
|
|
|
|
||||||||
|
|
2 |
|
|
|
|
|
|
|
|
|
2 |
|
|
|
|
|
10 |
|
|
||||||
|
6 3 2 32 |
|
33 |
|
6 |
1 2 1 2 |
|
|
|
1 3 18 |
|
|
|
|
|
|
|
|||||||||
3 |
3 |
|
3 |
|
|
|||||||||||||||||||||
|
|
|
|
|
|
|
|
|
|
|
|
|
|
|
|
|
|
|
|
|||||||
18 10 64. 3
Пример 2. Вычислить площадь фигуры, ограниченной линиями
y x2; y |
1 |
; y 0; x 2, x 0. |
|
x2 |
|||
|
|
Решение. Сначала найдем точки пересечения кривых y x2 и
y 1 , для чего решим систему уравне- x2
ний
y x2;
1y x2 .
Из этой системы x2 |
1 |
; |
x4 1 или |
|
x2 |
||||
x1 1; x2 1. |
|
Рис. 6 |
||
|
|
Таким образом, заданная фигура (рис. 6) является криволинейной трапецией, ограниченной сверху графиком функции
|
|
|
|
y x2 |
, 0 x 1; |
|
|
|
|
|
|
|
|
||||||||
|
|
f x |
|
|
|
|
|
|
|
|
|
|
|
|
|
|
|
|
|
||
|
|
|
|
|
1 |
|
|
|
|
|
|
|
|
|
|
|
|
|
|||
|
|
|
|
y |
|
, 1 x 2. |
|
|
|
|
|
|
|
|
|||||||
|
|
|
|
x2 |
|
|
|
|
|
|
|
|
|
||||||||
По формуле (2.17) |
|
|
|
|
|
|
|
|
|
|
|
|
|
|
|
|
|
|
|||
|
|
|
|
|
|
|
|
|
|
1 |
|
|
|
|
1 |
|
|
|
2 |
||
2 |
1 |
2 |
dx |
|
|
x2 1 |
|
|
2 |
x3 |
|
|
x 2 1 |
|
|
||||||
|
|
|
|
|
|||||||||||||||||
S f x dx x2dx |
|
|
|
|
|
|
x 2dx |
|
|
|
|
|
|
||||||||
2 |
2 1 |
|
|
3 |
2 1 |
||||||||||||||||
0 |
0 |
1 |
x |
|
|
|
|
0 |
1 |
|
|
0 |
|
1 |
|||||||
|
|
|
|
|
|
|
|
|
|
|
|
|
|
||||||||
65
1 |
|
|
|
|
1 |
|
2 |
1 |
|
|
|
1 |
|
1 |
1 |
1 |
5 |
|
|||||||
|
|
|
|
||||||||||||||||||||||
|
|
|
0 |
|
|
|
|
|
|
|
|
|
|
|
|
|
|
|
|
|
|
|
1 |
|
. |
|
|
x |
|
|
|
|
|
|
|
||||||||||||||||
|
3 |
|
|
|
|
|
|
1 |
3 |
|
|
2 |
|
1 |
|
3 |
2 |
6 |
|
||||||
|
|
|
|
||||||||||||||||||||||
Пример 3. Вычислить площадь фигуры, ограниченной линиями
y sin x;y 2 sin x; x 5 ; x 0.
4
Решение. Искомая площадь S равна
сумме площадей S1 |
и S2 |
двух фигур, пер- |
||
вая из |
которых |
ограничена |
линиями |
|
y sin x; |
y 2sin x; |
x 0; |
x , |
вторая ог- |
раничена линиями y sinx; |
y 2sin x; x ; |
|||
x 5 (рис. 7).
4
Для вычисления площадей S1 и S2 применим формулу (2.17):
y sin2x
y sin2x
Рис. 7
|
|
||
S1 2sinx sinx dx sin xdx cosx |
|
0π cosπ cos 0 |
|
|
|||
|
|||
0 |
0 |
|
|
1 1 1 1 2.
|
5 |
|
|
|
|
5 |
|
5 |
|
|||||
4 |
|
|
4 |
|||||||||||
|
|
|
|
|
|
|
4 |
|||||||
S2 sinx 2sinx dx sin xdx cosx |
|
|||||||||||||
|
||||||||||||||
|
|
|
|
|
|
|
|
|||||||
|
|
|
|
|
|
|||||||||
|
|
|
2 |
|
|
|
|
|||||||
Тогда S S |
S |
2 |
2 |
|
2,293. |
|||||||||
|
|
|
||||||||||||
1 |
|
2 |
|
|
|
|
||||||||
|
|
|
|
|
|
|
|
|
||||||
cos5 cos 
2 1. 4 2
Вычисление площади, ограниченной кривой, заданной параметрическими уравнениями
Если кривая задана уравнениями в параметрической форме x t ; y t , то площадь криволинейной трапеции, ограничен-
ной двумя вертикалями х = а и у = b и отрезком оси Ох, выражается интегралом
|
t2 |
t dt , |
|
S |
|
(2.18) |
|
ψ t |
|||
|
t1 |
|
и b 2 t |
где t1 и t2 определяются из уравнений a 1 t |
|||
( t 0на отрезке t1,t2 ). |
|
|
|
Пример 4. Найти площадь фигуры, ограниченную первой аркой
66
циклоиды x a t sint ; y a 1 cost и отрезком оси абсцисс (рис.
8).
Решение. Точкам 0 и А соответствуют значения параметра t0 = 0 и
tА=2π, поэтому по формуле (2.18) ис- |
|
|
|
|
|
|
|
|
|
|
|
|
|
|
|
|
|
|
||||||||||||||||||
комая площадь |
|
|
|
|
|
|
|
|
|
|
|
|
y |
|
|
|
|
|
|
|
|
|
|
|
|
|
|
|
|
|||||||
|
2π |
|
|
|
|
|
|
|
|
|
|
|
|
|
|
|
|
|
|
|
|
|
|
|
|
|
|
|
|
|
|
|
|
|
||
|
|
|
1 cost |
a t sint dt |
|
|
|
|
|
|
|
|
|
|
|
|
|
|
|
|
|
|
|
|
|
|||||||||||
S |
|
a |
|
|
|
|
2a |
|
|
|
|
|
|
|
|
|
|
|
|
|
|
|
||||||||||||||
|
|
|
|
|
|
|
|
|
|
|
|
|
|
|
|
|
|
|
|
|
|
|
|
|
|
|
|
|
|
|
||||||
|
|
0 |
|
|
|
|
|
|
|
|
|
|
|
|
|
|
|
|
|
|
|
|
|
|
|
|
|
|
|
|
|
|
|
|
|
|
2π |
|
|
|
|
|
|
|
|
|
|
|
|
|
|
|
|
|
|
|
|
|
|
|
|
|
|
2πa |
|
x |
|
|
|
|
|||
a2 1 cost 2 dt |
|
|
|
|
|
|
|
|
0 |
|
|
|
|
|
πa |
|
А |
|
|
|
|
|
|
|||||||||||||
0 |
|
|
|
|
|
|
|
|
|
|
|
|
|
|
|
|
|
|
|
|
|
|
|
|
|
|
|
|
|
|
|
|
|
|
|
|
|
|
2π |
|
|
|
1 cos2t |
|
|
|
|
|
|
|
|
|
|
|
Рис. 8 |
|
|
|
|
|
|
||||||||||||
a2 |
|
1 2cost |
|
|
|
|
|
dt |
|
|
|
|
|
|
|
|
|
|
|
|
|
|
|
|
|
|
|
|
|
|||||||
|
|
|
|
|
|
|
|
|
|
|
|
|
|
|
|
|
|
|
|
|
|
|
|
|
||||||||||||
|
|
0 |
|
|
|
|
2 |
|
|
|
|
|
|
|
|
|
|
|
|
|
|
|
|
|
|
|
|
|
|
2π |
|
|||||
|
|
3 |
2π |
|
2π |
1 |
2π |
|
|
|
|
|
|
|
3 |
|
|
|
1 |
|
|
|
|
|
|
|||||||||||
|
|
|
|
|
|
|
|
|
|
|
|
|
|
|
|
|||||||||||||||||||||
|
|
|
|
|
|
|
|
|
|
|
|
|
|
|
|
|
||||||||||||||||||||
a2 |
|
|
|
|
dt 2 |
|
cost dt |
|
|
|
cos2td |
2t |
a |
2 |
|
|
|
t 2sint |
|
sin2t |
|
|
|
|
||||||||||||
|
|
|
|
|
|
|
|
|
|
|
|
|||||||||||||||||||||||||
|
|
|
2 |
|
|
|
|
|
|
4 |
|
|
|
|
|
|
|
2 |
|
|
|
4 |
|
|
|
|
|
|
||||||||
|
|
|
|
0 |
|
0 |
|
|
|
|
0 |
|
|
|
|
|
|
|
|
|
|
|
|
|
|
|
|
0 |
|
|||||||
|
|
|
|
|
|
|
|
|
|
|
|
|
|
|
|
|
|
|
|
|
|
|||||||||||||||
|
2 3 |
|
|
|
1 |
|
|
|
|
|
2 |
3 |
|
|
|
|
|
1 |
|
|
|
|
|
2 |
|
|
|
|
|
|||||||
a |
|
|
|
|
2π 2sin2π |
|
sin 4π |
a |
|
|
0 2sin0 |
|
|
|
sin0 |
|
3πa |
|
. |
|
|
|
|
|||||||||||||
|
2 |
|
|
2 |
4 |
|
|
|
|
|
||||||||||||||||||||||||||
|
|
|
|
|
|
|
4 |
|
|
|
|
|
|
|
|
|
|
|
|
|
|
|
|
|
|
|
|
|
|
|||||||
Вычисление площади в полярных координатах
Если кривая задана уравнением в полярных координатах, то площадь сектора 0АВ (рис. 9), ограниченного дугой кривой и двумя полярными радиусами 0А и 0В, соответствующими значениями 1
и 2 , выразится интегралом |
|
|
|
|
|
|
S 1 |
2d . |
(2.19) |
||
|
2 |
|
|
|
|
|
|
|
|
|
|
|
|
|
|
|
y |
|
ρ = ρ(φ) |
|
π/4 |
||
S |
A |
|
|
|
|
|
|
|
|
|
x |
0 |
|
|
|
|
0 |
Рис. 9 |
Рис. 10 |
67