Диффузия в металлах и сплавах.
Диффузия - это перенос вещества, который вызывается беспорядочным тепловым движением диффундирующих частиц. Основными типами движения при диффузии в твердых телах являются случайные периодические скачки атомов из узла кристаллической решетки в соседний или вакансию.
Различают: 1) самодиффузию - перемещение атомов металла в кристалле, жидкости или газе;
2) гетеродиффузию - перемещение чужеродных атомов;
3) реактивную диффузию - которая сопровождающаяся реакциями образования промежуточных фаз.
Существуют: а) Прямая диффузия, когда происходит перемещение атомов в направлении градиента концентрации - в сторону низкой концентрации вещества;
б) Обратная или восходящая - в сторону более высокой концентрации.
Рассмотрим процесс самодиффузии в чистых металлах.

Стандартным методом определения коэффициента диффузии в чистых металлах является нанесение слоя радиоактивного изотопа на образец данного металла с последующим отжигом и определением глубины проникновения радиоактивного вещества. Исходное распределение атомов с течением времени сглаживается и в конце концов становится одинаковым по всему объему (Рис.), т.е. из-за наличия градиента концентрации возникает макроскопический поток вещества.
Если градиент концентрации имеет только одно направление, и он не меняется от времени то уравнение для потока вещества J будет иметь вид
J = - D(dС/dx)t ,
где J - поток атомов, проходящий через единицу площади поверхности в любой момент времени t; (dС/dx) - градиент концентрации, перпендикулярный к этой поверхности; D - коэффициент диффузии. Знак "-" указывает, что самодиффузия идет в направлении, обратном направлению градиента концентрации. Это уравнения есть первое уравнение Фика. Если градиента нет, то поток равен 0. Для выражения величин, входящих в первое уравнение Фика, используют обычно следующие единицы измерения: г/см2сек=(см2/сек)(г/см3/см).
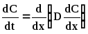
Если
градиент концентрации изменяется со
временем, то самодиффузия описывается
вторым
законом Фика:
или, если D
не зависит от состава
,
где dC/dt
-
скорость изменения концентрации в
произвольной точке x.
Коэффициент
самодиффузии D
зависит от температуры:
,
где Do
- постоянная, определяется типом
кристаллической решетки, Q
- энергия активации самодиффузии.
Параметры самодиффузии некоторых металлов:
|
Металл |
Тпл., оС |
Do, м2/с |
Q, кДж/(г-ат.) |
|
W |
3653 |
5,4 х 10-5 |
504,5 |
|
Ta |
3273 |
2 х 10-4 |
460,5 |
|
Mo |
2873 |
5 х 10-5 |
405,7 |
|
Cr |
2148 |
2 х 10-5 |
308,6 |
|
Fe |
1812 |
2 х 10-4 |
251,2 |
Рис.
1. Возможные механизмы диффузии в твердых
растворах замещения.
-
простой обменный, 2 - циклический
обменный, 3 - вакансионный, 4 - простой
межузельный, 5 - межузельный механизм
вытеснения, 6 - краудионный.

На рис. представлены возможные механизмы диффузии в твердых растворах замещения. Из геометрических соображений очевидно, что наиболее затруднительным является простой обменный (1) механизм диффузии и более вероятным вакансионный (3).
Каждому механизму диффузии соответствует определенная энергия активации Q, т.е. величина энергетического барьера, который необходимо преодолеть атому при переходе из одного положения в другое. В связи с этим при прочих равных условиях в процессе диффузии будет реализовываться тот механизм, которому свойственна меньшая энергия активации. Сравнения показывают, что Qвак <Qмежуз.
Энергия активации при межузельном механизме вытеснения (5) меньше, чем при простом межузельном (4), когда в движении одновременно участвуют два атома (один выталкивает другого).
Сравнительно низкую энергию активации имеет процесс диффузии по краудионному механизму (6). В этом случае диффузия происходит благодаря небольшим смещениям каждого атома сжатого ряда вдоль направления плотной упаковки кристаллической решетки. Указанный сжатый ряд образуется в результате наличия в ряду лишнего атома (см. рис.).
Перемещение при краудионном механизме диффузии подобно распространению волны: каждый атом смещается на малую величину, а возмущение распространяется быстро. Циклический обменный механизм (2) представляется более вероятным по сравнению с простым обменным (1).
Для диффузии большое значение имеют вакансии и их комплексы (бивакансии, комплексы: вакансия — атом примеси), а также дефекты, являющиеся их источниками и стоками (линейные и поверхностные).
Установлено также, что основным механизмом самодиффузии и диффузии в твердых растворах замещения является вакансионный.
В твердых растворах внедрения основным механизмом перемещения примесных атомов небольшого размера является межузельный.
Эффект Киркендалла. Эксперимент, позволяющий определить относительные скорости перемещения атомов двух сортов, был впервые поставлен Киркендаллом и Смайгелскесом. Они намотали тоненькую молибденовую проволочку на брусок из латуни, а затем всю систему покрыли толстым слоем меди. После проведения процесса диффузии было обнаружено, что проволочки сблизились. При дальнейшем отжиге это расстояние продолжало уменьшаться, хотя и с меньшей скоростью. Наблюдаемое уменьшение расстояния указывает на то, что из области, занимаемой латунью, материала уходит больше, чем поступает из области, богатой медью. Т.е. DZn>DCu. Если бы диффузия происходила путем прямого взаимообмена местами пар соседних атомов, частота перескоков атомов цинка и меди была бы одинаковой и DZn был бы равен DCu. Отсюда вывод - что диффузия происходит по вакансионному механизму.

