Материал: Ответы на экзамен лето 2 курс

Внимание! Если размещение файла нарушает Ваши авторские права, то обязательно сообщите нам

 .

Обе формулы можем объединить в одну:

 . (11.2)

При большой частоте изменения напряженности магнитного поля вид петли B=f(H) отличается от статической петли гистерезиса, получаемой при медленных изменениях напряженности магнитного поля, т.к. при этом магнитная индукция является функцией не только Н, но и   . Причиной этого являются вихревые токи и магнитная вязкость. Площадь динамической петли, выражающей B=f(H), определяет полные потери в единице объема вещества на перемагничивание и на вихревые токи за один период изменения напряженности магнитного поля.

При промышленной частоте (50 Гц) потери на гистерезисе можно вычислить независимо от потерь на вихревые токи на основе формулы (11.2)

 .

Таким образом, суммарная мощность потерь в сердечнике определяется по формуле:

 .

Определив (например, экспериментально)   при двух различных частотах (f1f2) и одном значении магнитной индукции   , можно разделить   и   .

 , (11.3)

 . (11.4)

Умножим уравнение (11.3) на   , а уравнение (11.4) на -   , и найдем их разность (   ):

 ,

Получили формулу для потерь на вихревые токи:

 .

Затем умножим уравнение (11.3) на   , а уравнение (11.4) на -   , и найдем их разность (   ):

 ,

Получили формулу для потерь на гистерезис:

 .

  1. Уравнение, векторная диаграмма и схема замещения катушки с ферромагнитным сердечником

Схема замещения и векторная диаграмма катушки с ферромагнитным магнитопроводом

Рассмотрим процессы в катушке с замкнутым ферромагнитным магнитопроводом, обмотка которой имеет    витков. Протекающий по обмотке ток   (рис. 6.8 а) создает магнитный поток. Основная часть этого потока   – замыкается по магнитопроводу, а меньшая часть – поток рассеяния  , рассеивается в пространство. Обычно   составляет несколько процентов от  . Если магнитопровод насыщен или имеет большой воздушный зазор, то поток   соизмерим с  .

Рис. 6.8

 Если пренебречь активной составляющей сопротивления катушки и потоком рассеяния, то при питании катушки от источника синусоидального тока в ней будет возникать основной магнитный поток

. (6.4)

 Вследствие этого в витках катушки возникает ЭДС самоиндукции

. (6.5)

 Так как эта ЭДС равна напряжению источника, то

.  (6.6)

 Формулы (6.4) и (6.6) показывают, что вектор   опережает вектор   на 90°.

 Действующее значение этого напряжения

. (6.7)

  Построим векторную диаграмму идеальной катушки (  = 0,   = 0). За исходный вектор примем вектор максимального значения магнитного потока   (рис. 6.8 б). Вектор напряжения   опережает вектор магнитного потока на 90°, а вектор ЭДС самоиндукции   равен вектору напряжения  , но противоположен по направлению. Вектор действующего значения тока через катушку   опережает вектор   на угол  , обусловленный гистерезисом. Представим вектор  суммой двух составляющих: активной – проекцией вектора тока на вектор напряжения   и реактивной  , которую принято называть током намагничивания. Тогда

. (6.8)

 Этому уравнению соответствует схема замещения (рис. 6.8 в), где ток    обусловлен потерями в магнитопроводе:

.  (6.9)

 Составляющая  – это ток через идеализированную катушку (катушка, в магнитопроводе которой нет потерь энергии).

 Схему на рис. 6.8 в можно преобразовать в другую схему (рис. 6.8 г), используя проводимости ветвей

  В схемах (рис. 6.8 в и г)   – соответственно активная составляющая сопротивления и активная составляющая проводимости, учитывающие потери мощности в магнитопроводе;   – реактивная составляющая сопротивления и реактивная составляющая проводимости, обусловленные основным магнитным потоком.

  В схеме замещения реальной катушки учитываем активное сопротивление катушки   и реактивное сопротивление  , обусловленное магнитным потоком рассеяния (рис. 6.9 а, б). В этих схемах участок ab называют ветвью намагничивания.

  Запишем уравнение по второму закону Кирхгофа для схем (рис. 6.9) в комплексной форме

. (6.10)

  Применим это уравнение для построения векторной диаграммы реальной катушки (рис. 6.10). Угол, обусловленный гистерезисом

.

  Практически   или  .

 Коэффициент мощности

.  (6.11)

 Активная мощность катушки с ферромагнитным магнитопроводом состоит из потерь мощности в проводах   и потерь мощности в магнитопроводе 

  . (6.12)

 Чем больше угол  , тем больше активная составляющая тока   и потери в магнитопроводе. Поэтому угол   называют углом потерь в магнитопроводе.

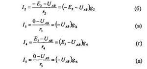
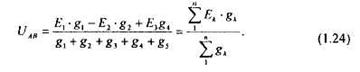
Метод узлового напряжения. Рассматриваемый метод расчета целесообразно применять к схеме (рис. 1.14), имеющей несколько параллельных ветвей, сходящихся в двух узловых точках, а также к, электрическим цепям, которые в результате несложных преображений могут быть приведены к схеме с двумя узлами.

Примем направления токов во всех ветвях одинаковыми — от узла В к узлу А. Напряжение UAB между точками А и В назовем узловым напряжением.

Применим к ветви с э.д.с. E1 второй закон Кирхгофа:

откуда

Аналогичным путем получим:

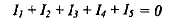
По первому закону Кирхгофа

или

Произведение Ekgk для k-й ветви следует брать со знаком минус, если направление э.д.с. Ek противоположно принятому направлению тока (например, для второй ветви, рис. 1.14).

Определив узловое напряжение UAB по формуле (1.24), нетрудно найти значения токов в отдельных ветвях схемы по формулам (а) -(д).