Материал: Ответы на экзамен лето 2 курс

Внимание! Если размещение файла нарушает Ваши авторские права, то обязательно сообщите нам
  1. Основные свойства нелинейных элементов в электрических цепях постоянного тока

С помощью нелинейных элементов в электрических цепях осуществляется ряд преобразований электромагнитной энергии. Основные из них: выпрямление переменного напряжения или тока; инвертирование постоянного напряжения или тока; усиление напряжений и токов; регулирование постоянных и переменных напряжений и токов; стабилизация напряжений и токов; преобразование частоты; модуляции и так далее.

  1. Графические методы расчета нелинейных цепей постоянного тока

  • Последовательное соединение

  • Параллельное соединение

При расчете нелинейной электрической цепи с параллельно включенными элементами необходимо определить по вольт-амперным характеристикам токи в ветвях I1 и I2, т.к. напряжения на этих элементах равны.

Отложив на оси абсцисс заданное напряжение источника питания (отрезок 0А) и восстановив перпендикуляр из точки А, найдем отрезки AA1 и АА2, выражающие токи I1 и I2. Ток в неразветвленной части цепи равен сумме токов в ветвях.

Если требуется найти токи по заданному току в неразветвленной части цепи, то необходимо построить общую ВАХ I(U), складывая ординаты ВАХ параллельных ветвей, соответствующие одним и тем же значениям напряжения 

Аналитические методы расчета нелинейных цепей постоянного тока

Если в сложной электрической цепи имеется одна ветвь с нелинейным резистором, то определение тока в ней можно проводить на основе теоремы об активном двухполюснике (методом эквивалентного генератора). Идея решения заключается в следующем. Ветвь, содержащая нелинейный резистор, выделяется из исходной цепи, а вся остальная, уже линейная, схема представляется в виде активного двухполюсника (АД). Согласно теореме об АД схему линейного АД по отношению к зажимам 1-2 выделенной ветви (см. рис. 1,а) можно представить эквивалентным генератором (см. рис. 1,б) с ЭДС, равной напряжению   на зажимах 1-2 при разомкнутой ветви с нелинейным резистором, и внутренним сопротивлением, равным входному сопротивлению линейного двухполюсника.

Последняя схема рассчитывается, например, графическим методом как цепь с последовательным соединением элементов.

Если необходимо также найти токи в линейной части исходной цепи, то после расчета нелинейной схемы на рис. 1,б в соответствии с теоремой о компенсации нелинейный резистор заменяется источником ЭДС или тока, после чего проводится анализ полученной линейной цепи любым известным методом.

Аналитические методы расчета

Исследования общих свойств нелинейных цепей удобно осуществлять на основе математического анализа, базирующегося на аналитическом выражении характеристик нелинейных элементов, т.е. их аппроксимации. На выбор аналитического метода влияют условия поставленной задачи, а также характер возможного перемещения рабочей точки по характеристике нелинейного элемента: по всей характеристике или в ее относительно небольшой области.

К аналитическим методам относятся:

метод аналитической аппроксимации;

метод кусочно-линейной аппроксимации;

метод линеаризации.

Метод аналитической аппроксимации основан на замене характеристики (или ее участка) нелинейного элемента общим аналитическим выражением. Применяются следующие виды аналитической аппроксимации:

степенным многочленом (см. рис. 2,а);

трансцендентными (экспоненциальными, гиперболическими и др.) функциями (см. рис. 2,б).

Выбор коэффициентов (а,b,c,…) осуществляется исходя из наибольшего соответствия аналитического выражения рабочему участку нелинейной характеристики. При этом

выбираются наиболее характерные точки, через которые должна пройти аналитическая кривая. Число точек равно числу коэффициентов в аналитическом выражении, что позволяет однозначно определить последнее.

Необходимо помнить, что при получении нескольких корней нелинейного уравнения они должны быть проверены на удовлетворение задаче. Пусть, например, в цепи, состоящей из последовательно соединенных линейного R и нелинейного резисторов, ВАХ последнего может быть аппроксимирована выражением   . Определить ток в цепи, если источник ЭДС Е обеспечивает режим работы цепи в первом квадранте.

В соответствии со вторым законом Кирхгофа для данной цепи имеет место уравнение

или

 .

Корни уравнения

 .

Решением задачи является   , поскольку второе решение   не удовлетворяет условиям исходя из физических соображений.

Метод кусочно-линейной аппроксимации основан на представлении характеристики нелинейного элемента отрезками прямых линий (см. рис. 3), в результате чего нелинейная цепь может быть описана линейными уравнениями с постоянными (в пределах каждого отрезка) коэффициентами.

При наличии в цепи двух и более нелинейных резисторов реализация метода затруднена, так как в общем случае изначально неизвестно, на каких участках ломаных кривых находятся рабочие точки.

Кусочно-линейная аппроксимация может быть реализована методом секционных кусочно-линейных функций, позволяющим описать ломаную кривую общим аналитическим выражением. Например, для кривой, представленной на рис. 4 и определяемой коэффициентами   и   характеризующими наклон ее отдельных прямолинейных участков, и параметрами       , характеризующими координаты точек, где значения функции изменяются скачками, данное выражение будет иметь вид

Здесь два первых слагаемых в правой части определяют первый наклонный участок аппроксимируемой кривой; три первых слагаемых - первый наклонный участок и участок первого скачка; четыре первых слагаемых - первый и второй наклонные участки с учетом участка первого скачка и т.д.

В общем случае аппроксимирующее выражение по методу секционных кусочно - линейных функций имеет вид

Метод линеаризации применим для анализа нелинейных цепей при малых отклонениях рабочей точки Р (см. рис. 5) от исходного состояния.

В окрестности рабочей точки   (см. рис. 5)

 ,

где   (закон Ома для малых приращений);

 -дифференциальное сопротивление.

Идея метода заключается в замене нелинейного резистора линейным с сопротивлением, равным дифференциальному в заданной (или предполагаемой) рабочей точке, и либо последовательно включенным с ним источником ЭДС, либо параллельно включенным источником тока. Таким образом, линеаризованной ВАХ (см. прямую на рис. 5) соответствует последовательная (рис. 6,а) или параллельная (рис. 6,б) схема замещения нелинейного резистора.

Если исходный режим определен и требуется рассчитать лишь приращения токов и (или) напряжений, обусловленные изменением напряжения или тока источника, целесообразно использовать эквивалентные схемы для приращений, получаемые на основании законов Кирхгофа для малых приращений:

-первый закон Кирхгофа:   ;

-второй закон Кирхгофа:   .

При составлении схемы для приращений:

1) все ЭДС и токи источников заменяются их приращениями;

2) нелинейные резисторы заменяются линейными с сопротивлениями, равными дифференциальным в рабочих точках.

Необходимо помнить, что полная величина какого-либо тока или напряжения в цепи равна алгебраической сумме исходного значения переменной и ее приращения, рассчитанного методом линеаризации.

Если исходный режим работы нелинейного резистора неизвестен, то следует задаться рабочей точкой на его ВАХ и, осуществив соответствующую линеаризацию, произвести расчет, по окончании которого необходимо проверить, соответствуют ли его результаты выбранной точке. В случае их несовпадения линеаризованный участок уточняется, расчет повторяется и так до получения требуемой сходимости

Понятие магнитной цепи и ее свойства

Под магнитной цепью понимается совокупность устройств, содержит фрагменты пит. тока и образующих. замен. цепь по которой при намаг. МДС замен. магнитной индукцией.

Наименование закона

Аналитическое выражение закона

Формулировка закона

Закон (принцип) непрерывности магнитного потока

Поток вектора магнитной индукции через замкнутую поверхность равен нулю

Закон полного тока

Циркуляция вектора напряженности вдоль произвольного контура равна алгебраической сумме токов, охватываемых этим контуром

Законы магнитных цепей постоянного тока. Аналогия электрических и магнитных цепей

При расчетах разветвленных магнитных цепей пользуются двумя законами Кирхгофа, аналогичными законам Кирхгофа для электрической цепи.

Первый закон Кирхгофа непосредственно вытекает из непрерывности магнитных линий, т.е. и магнитного потока; алгебраическая сумма магнитных потоков в точке разветвления равна нулю:

Например, для узла а на рис. 6.11,б

— Ф1 — Ф2 + Ф3 = 0

Второй закон Кирхгофа для магнитной цепи основывается на законе полного тока: алгебраическая сумма магнитных напряжений на отдельных участках цепи равна алгебраической сумме МДС:

Электрические величины

 

 

Магнитные величины

 

ток

I

-

Поток

F

ЭДС

E

-

МДС

F

Сопротивление

-

Сопротивление

Напряжение

-

Напряжение

Проводник

 

-

Ферромагнетик

 

Изолятор

 

-

Немагнитное вещество

 

Удельная проводимость

-

Магнитная проницаемость

ma

 

По аналогии можно записать законы Кирхгофа для магнитных цепей.

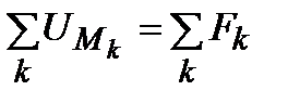
1-й закон Кирхгофа: Сумма магнитных потоков ветвей разветвленной магнитной цепи в узле равна нулю.

 

 

2-й закон Кирхгофа: МДС неразветвленной неоднородной магнитной цепи равна арифметической сумме падений магнитных напряжений на отдельных ее участках.

 

 .

 

Принцип расчета магнитных цепей постоянного тока

 

Фр - магнитный поток рассеяния (он обычно мал).

ЗАДАНО: поток Ф, размеры магнитопровода, материал сердечника, марка стали, кривая намагничивания B(H).

ЗАДАЧА: Найти   - намагничивающую силу обмотки, необходимую для создания этого магнитного потока Ф.

ПОСЛЕДОВАТЕЛЬНОСТЬ РАСЧЕТА:

1) Цепь разбивается на участки с таким расчетом, чтобы индукция и напряженность магнитного поля на протяжении участка оставалась неизменной;

По конструктивным размерам магнитопровода определяются lk и Sk;

 

 

Предполагается, что поток Ф на каждом участке одинаков;

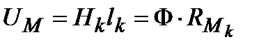
2) По заданному магнитному потоку Ф определяем индукцию на каждом участке

 

 ;

 

Затем, зная Bk по кривой намагничивания определяем Hk

3) Зная Hk, по закону полного тока находим МДС

 

 и находим ток   .

Расчеты электромагнитных устройств с постоянными магнитными потоками с неразветвленным сердечником.

Формула, выражающая закон полного тока магнитной цепи, была получена для кольцевого магнитопровода постоянного поперечного сечения и с равномерно распределенной обмоткой. Эту формулу распространяют и на магнитные цепи, где намагничивающая обмотка сосредоточена на ограниченном участке магнитопровода, а отдельные участки цепи выполнены из различных ферромагнитных и неферромагнитных материалов и имеют различное поперечное сечение.

В приближенных расчетах магнитных цепей принимают, что магнитный поток на всех участках цепи остается одним и тем же, хотя на самом деле в магнитной цепи образуются также потоки рассеяния Фр, которые замыкаются по воздуху, а не следуют по пути магнитопровода.

В расчетах магнитных цепей различают прямую и обратную задачи.

Прямая задача

Задано: 1) геометрические размеры магнитной цепи; 2) характеристика B = f(H) (кривая намагничивания) ферромагнитных материалов, из которых выполнена магнитная цепь; 3) магнитный поток Ф, который надо создать в магнитной цепи. Требуется найти намагничивающую силу обмотки F = IW. Решение задачи рассматривается применительно к магнитопроводу, представленному на рис. 4.7.