В психологической литературе представлено достаточно большое количество данных, свидетельствующих о неравномерном и гетерохронном формировании психических функций, процессов, свойств личности в процессе жизнедеятельности, социализации индивида [1, 7, 8, 51, 212]. Например, факты неравномерного и ге-терохронного освоения профессиональной деятельности как структуры одновременно формирующихся действий в обучении на внешнем, результативном уровне приведены в [265—267], Рядом
103
авторов получены данные о неравномерности и гетерохронности развития профессионально важных качеств в процессе обучения [267, 276, 279, 286]. Однако явно недостаточно (можно сказать;, нет вовсе)> экспериментальных работ, направленных на выявление факторов> детерминирующих указанные закономерности- Как отмечает Л.И*Анцыферова, "предстоит большая и кропотлив ал работа по выяснению детерминант этих процессов" [15].
В процессе изучения закономерностей системогенеза деятельности нами [278—280] решалась следующая задача: на основе исследования процесса профессиональной подготовки (обучения) специалистов по конкретной профессии проанализировать характер взаимосвязи динамики успешности освоения деятельности и изменения индивидуально-психологических характеристик (профессиональных способностей), участвующих в реализации деятель-ности* выявить диалектику взаимосвязи внешних воздействий и внутренних условий в процессе освоения профессиональной деятельности ? раскрыть механизмы и движущие силы развития профессиональных способностей в процессе обучения.
Другая важная задача заключалась в установлении причин, обусловливающих неравномерность и гетерохронность освоения отдельных действий в целостной структуре профессиональной деятельности- Гипотетически в качестве одной из основных таких причин может выступать динамика развития профессиональных способностей в процессе обучения-
Для анализа была выбрана профессия электросварщика ручной дуговой сварки. Выбор этой профессии обусловлен ее распространенностью во многих отраслях промышленности, сельского хозяйства и транспорта, необходимостью существенного улучшения подготовки специалистов-электросварщиков на основе новейших достижений психологической науки и профессиональной педагогики. Кроме того, данная профессия обладает богатым психологическим содержанием и предъявляет повышенные требования к специальным профессиональным способностям работника, прежде всего к его сенсорно-перцептивной и двигательной сферам: умению быстро, полно и правильно воспринимать информационную основу деятельности, умению совершать точные, высо-некоординированные движения.
На первом этапе исследования на основе представленной в настоящей работе теоретической модели деятельности, с использованием известных профессиографических методов был проведен психологический анализ деятельности [278], в результате которого были выделены профессионально важные качества (ПВК), характеризующие особенности психических процессов и яснхо-
104
моторики электросварщика. В качестве таковых выступили: цветовая дифференциальная чувствительность (ЦДЧ), слуховая дифференциальная чувствительность (СДЧ), проприоцептивная чувствительность мышц рабочей руки с памятью на движения малой амплитуды (ПЧ), устойчивость внимания (УВ), распределение внимания (РВ), линейный глазомер (ЛГ), или точность глазомерных оценок, цветовая образная память (ЦОП), слуховая образная память (СОП), наглядно-действенное практическое мышление (НДМ), общая техническая сообразительность (ТМ), низкая выраженность статического (СТ) и динамического тремора (ДТ) рук, зрительно-двигательная координация (ЗДК), равномерность (РД) и точность движений (РК) рабочей руки-
На основном этапе исследования в течение 6 месяцев изучалась динамика уровня развития ПВК и показателей успешности деятельности 15 учащихся ПТУ, обучающихся до специальности "Электросварщик ручной дуговой сварки". Замеры уровня развития выделенных ПВК проводились с помощью пакета тестовых методик» в который были включены как известные и общепринятые методики, так и специально разработанные авторами бланковые и аппаратурные методики, предназначенные для диагностики уровня развития сенсорно-перцептивных, мнемических, интеллектуальных и психомоторных качеств обучающихся- Чтобы иметь возможность сопоставлять различные ПВК по уровню развития, результаты тестовых испытаний по всем методикам были нормировали и выражены в единицах 10-балльной шкалы- Ниже при-водится перечень выделенных ПВК и методики их диагностики:
ПВК Методика диагностики
Цветовая дифференциальная чувствах- Набор цветных карточек (цветных эта-телъностъ л о нов) с градуированным изменением
оттенков цвета но светлоте*
Слуховая дифференциальная чувства Звуковой генератор, имитирующий зву-тельЕОСтъ тгание сварочной дуги
Проприоцептивная чувствительность Кинематометр Жуковского
Линейный глазомер Бланковая для изучения линейного гла-
зомера
Устойчивость внимания "Перепутанные линии"
Распределение внншшня Однааременный счет двух объектов
Цветовая образная яамлть Тест на запоминание и воспроизведение
оттенков цвета*
Слуховая образная память Звуковой генератор, имитирующий зву-
чание сварочной дуга
* Специально разработанные и изготовленные методики диагностики ПВК зле «трос варщика, оышздшные на специфике деятель кости,
105
|
ПБК |
Методика диагностики |
|
Цветовая дифференциальная чувствительность |
Набор цветных карточек (цветных эталонов) с градуированным изменением оттенков цвета но светлоте* |
|
Слуховая дифференциальная чувствительность |
Звуковой генератор, имитирующий звучание сварочной дуги |
|
Провриопептивная чувствительность |
Кинематометр Жуковского |
|
Линейный глазомер |
Бланковая для изучения линейного гла-зо мера |
|
Устойчивость внимания |
"Перепутанные линии" |
|
Распределение внимания |
Одноаременный счет двух объектов |
|
Цветовая образная память |
Тест на запоминание и воспроизведение оттенков цвета* |
|
Слуховая образная память |
Звуковой генератор, имитирующий звучание сварочной дуги |
ПБК Методика диагностики
Наглядно-действенное мышление Субтест **Кубики Косса" методики Век-
слера
Общая техническая сообразительность Тест "Техническое мышление" в сокращенном варианте
Выраженность статического тремора Трекорометрля Выраженность динамического тремора То же Зрительно-двигательная координация То же
Равномерность движений Прибор для оценки уровня освоенности
движений, совершаемых сварщиком в процессе формирования сварного шва*
Точность движений То же
В процессе исследования осуществлялся постоянный контроль за успеваемостью учащихся на практических занятиях, за ходом освоения деятельности. Успешность профессиональной деятельности обучающихся оценивалась по пятибалльной шкале мастером производственного обучения, непосредственно ведущим занятия, и группой экспертов, в которую входили мастера производственного обучения по специальности "Сварочное производство", обладающие большим опытом профессиональной и педагогической деятельности* Использованные при оценке критерии были разработаны на основе обобщения экспертных суждений, анализа данных специальной литературы, а также существующей практики оценки профессиональной успешности учащихся-электросварщиков ПТУ, Поскольку профессиональная деятельность электросварщика рассматривалась как структура одновременно формирующихся действий, критерии успешности обучения разрабатывались для оценки как деятельности в целом, так и отдельных действий.
Для определения уровня развития ПВК обучающихся были выполнены четыре срезовых психодиагностических обследования в начале обучения (I серия), через два месяца (II серия), через четыре месяца (III серия) и через шесть месяцев после начала обучения (IV серия)- За это время учащиеся-электросварщики осваивают сварку в четырех различных пространственных положениях сварных швов: горизонтальном, наклонном, вертикальном и потолочном (по степени нарастания сложности). Таким образом, в экспериментальном исследовании использовался лонгитюдный метод, при котором изучению подвергался один и тот же контингент испытуемых на протяжении определенного отрезка времени.
Для установления взаимозависимости между показателями эффективности деятельности и уровнем развития ПВК был исполь-
* Специально разработанные и изготовленные методики диагностики ПВК электросварщика, основанные на специфике деятельности.
106
|
ПЕК |
Методика диагностики: |
|
Наглядно-действенное мышление |
Субтест 4*Кубики Косса" методики Век-слера |
|
Общая техническая сообразительность |
Тест "Техническое мышление" в сокращенном варианте |
|
Выраженность статического тремора |
Трекорометрля |
|
Выраженность динамического тремора |
То же |
|
Зрительно-двигательная координация |
То же |
|
Равномерность движений |
Прибор для оценки уровня освоенности движений, совершаемых сварщиком в процессе формирования сварного шва* |
|
Точность движений |
То же |
зован
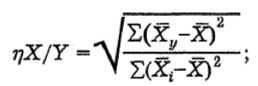
статистический критерий tft
называемый корреляционным отношением
К.Пирсона [61, с, 142]. В отличие от
коэффициентов корреляции, устанавливающих
линейную зависимость между двумя
при знаками t
корреляционное
отношение позволяет дать двухстороннюю
характеристику зависимости между
переменными X
и
У: с одной стороны, этот критерий является
мерой зависимости признака X
по
изменению
,
с другой — мерой зависимости Y
по
изменению
.
Поэтому корреляционное отношение
выражается не одним, а двумя показателями
—
.
Формулы для расчета корреляционного
отношения в случае малых выборок
имеют вид [146] :
где
—
групповые или частные средние значения
признака по отношению к признаку
—
групповые или частные сред-
ние
значения признака Y
по
отношению к признаку
—
общие
средние значения признаков X
и
Y;
—
значения
отдельных вариантов признаков X и У*
Равенство
свидетельствует
о линейной взаимо-
зависимости
между признаками. Но обычно коэффициенты
и
не
равны между собой, т.е. между коррелируемыми
при-
знаками
существует нелинейная зависимость. В
то же время в пси* хологической литературе
имеются данные о том, что взаимозависимость
между эффективностью деятельности и
профессиональными способностями
отличается от линейной. Поэтому в нашей
работе взаимозависимость между
эффективностью профессиональной
деятельности в ходе обучения (переменная
X)
и уровнем развития профессионально
важных качеств, участвующих в ее
реализации (переменная Y),
анализировалась с использованием
корреляционных отношений
При
этом корреляционное отношение
характеризует
меру зависимости эффективности
деятельности от уровня развития ПВК,
а
показывает,
в какой степени профессиональная
деятельность обусловливает развитие
ПВК. Таким образом, появляется возможность
проанализировать взаимосвязь
эффективности деятельности и развития
ПВК в процессе обучения, установив не
только характер этой связи (линейный
или нелинейный) и ее тесноту, но и показать
направленность связи, т.е. определить,
какой из двух признаков и
107


в какой степени обусловливает изменения другого- Коэффициенты линейной корреляции такой возможности не дают.
Рассмотрим последовательно динамику показателей эффективности деятельности в процессе обучения и изменение уровня развития профессионально важных качеств в течение исследованного периода. В табл, 1.24 представлены усредненные данные, отражающие динамику успешности освоения деятельности и отдельных (основных) действий, составляющих ее структуру*
Таблица 1,24* Динамика успешности освоения деятельности и отдельных действий g процессе обучения, баллы
|
Действие |
Оценка успешности выполнения действия и длителькооти в целом по сериям эксперимеЕ1та (пятибалльная шкала) |
|||
|
I |
II |
III |
IV |
|
|
Поддержание длины сворочной дуги |
3,3 |
3,9 |
3,3 |
4,3 |
|
Удержание угла наклона электрода |
3,6 |
3,9 |
3,6 |
4,1 |
|
Продольное перемещение электрода |
3,4 |
3,9 |
3,6 |
|
|
Поперечные колебательные движения электродом |
|
3.7 |
3,7 |
3,9 |
|
Общая успешность |
|
3,9 |
3,9 |
4,1 |
Как следует из приведенных данных, изменение успешности деятельности и отдельных действий в процессе обучения носит отчетливо выраженный неравномерный и гетерохронный характер. Неравномерность проявляется в изменчивости показателей эффективности, немонотонности их роста с увеличением продолжительности обучения (на разных этапах освоения деятельности), наличии периодов нарастания успешности, периодов относительного застоя и даже регресса*
При анализе процесса освоения деятельности как структуры одновременно формирующихся действий на первый план выступает гетерохронность их становления, проявляющаяся в отличии исходных уровней успешности различных действий (разброс оценок от 3,0 до 3,6 балла), различии в темпах роста показателей успешности отдельных действий, наличии периодов нарастания успешности по одним действиям и относительной стабилизации или регресса по другим действиям в те же периоды (табл. 1.25).
Известно, что основными факторами, определяющими результативность производственного обучения, являются активность самих обучающихся и эффективность внешних педагогических воз-
108
Таблица 125, Динамика развития ПВК учащихся-электросварщиков
в процессе обучения, баллы
|
ПВК |
Уровень развития ПВК го сериям эксперимента |
ПВК |
Уровень развития ПВК по сериям эксперимента |
||||||
|
I |
II |
III |
IV |
I |
II |
III |
IV |
||
|
ццч |
6,6 |
7,8 |
0.4 |
8,1 |
ндм |
5,5 |
7,0 |
7,9 |
8,2 |
|
сдч |
5,2 |
5,8 |
7,2 |
5,0 |
тм |
4*2 |
5,1 |
5,7 |
6,3 |
|
пч |
5,8 |
7,0 |
6,9 |
8,1 |
ст |
5,3 |
5,0 |
6,4 |
6,6 |
|
лг |
8,1 |
6,3 |
6,7 |
6,0 |
дт |
4,7 |
4,6 |
5,4 |
5,0 |
|
УВ |
4,2 |
5,1 |
5,5 |
6,6 |
здк |
|
6,2 |
5,2 |
|
|
РВ |
3,7 |
3,7 |
4,7 |
5,2 |
РД |
6,8 |
Й.5 |
7,5 |
3,5 |
|
цоп |
5,0 |
5,1 |
5,4 |
6,4 |
|
|
7,2 |
|
|
|
соп |
6,9 |
7,5 |
7,1 |
6,1 |
X |
5ра |
6,3 |
|
6,8 |