Продолжение табл. 3.3
5-е ответвление
6-е ответвление
7-е ответвление
8-е ответвление
30
Окончание табл. 3.3
9-е ответвление
2. Определяем удельные потери давления на невыгодных ветвях, так чтобы фактические потери не превышали допустимые, по формуле
(3.9)
Удельные потери на ответвлениях определяются согласно табл. 3.3.
Допустимая невязка составляет 10 %, расчет производится по формуле
(3.10)
где pдоп — допустимые потери давления;
ΣΔpдоп — суммарные потери давления на невыгодной ветви или ответвлении.
2. Далее производим расчет удельных потерь давления на каждый метр газопровода всех участков кольцевого газопровода — Rуд, который необходим для подбора диаметра каждого участка газопровода по номограмме (см. Приложение 1), на основании рассчитанного расхода газа:
31
(3.11)
где pдоп — допустимые потери давления, Па, для невыгодной ветви или ответвления;
Σlр — сумма расчетных длин участков невыгодного кольца.
Зная расчетный расход на участках и примерные удельные потери давления на участке, подбираем по номограмме (см. Приложение 1) диаметры для газопроводов низкого давления, а также определяем фактические удельные потери на всем участке:
(3.12)
где 
— фактические потери давления на участке;
— потери давления на 1 м на участке согласно номограмме низкого давления;

— расчетная длина участка.
Правила применения номограммы низкого давления для определения диаметров участков и потерь давления на 1 м каждого участка:
а) определив Rуд (Rуд = const и для каждой невыгодной ветви и ответвления Rуд различна), фиксируем значение Rуд на оси p / l (по горизонтали) и проводим перпендикулярную линию относительно оси p / l;
б) далее фиксируем Vуч на оси V (по вертикали), причем для каждого участка сети величина расхода газа различна и принимается согласно табл. 3.2, проводим линию перпендикулярно оси V до пересечения с линией Rуд;
в) для выбора диаметра на определенном участке газопровода, от точки пересечения параллельно оси p / l движемся к ближайшему диаметру (наклонные линии) либо вправо, либо влево
до пересечения с линией диаметра; |
точку пересечения Vуч |
г) после выбора диаметра участка |
|
с линией диаметра проецируем на ось |
p / l, таким образом опре- |
деляем потери давления на 1 м на участке газопровода — 
32
и производим расчет потерь давления на всем участке по формуле 3.12, результаты заносим в табл. 3.4.
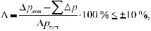
После расчета каждой невыгодной ветви и ответвлений необходимо произвести проверку выбора диаметров, т. е. произвести расчет допустимой невязки. Допустимая невязка составляет 10 %, расчет производится по формуле
(3.13)
где ΣΔp — сумма потерь давления каждой невыгодной ветви и ответвления.
Если невязка больше 10 %, то изменяем диаметры газопроводов на одном или нескольких участках. Если и в этом случае невязка не выполняется, то допускается разбивка участка с одним расходом газа на два участка с разными диаметрами, при условии установки фитингов на переходе трубопроводов от одного диаметра к другому.
Пример расчетной схемы кольцевого газопровода низкого давления см. в Приложении 4 и на рис. 3.1.
Таблица 3.4
Гидравлический расчет газопровода низкого давления
№ |
Длина |
Расчетная |
Расчетный |
Диаметр |
Потери давления, |
Сумма |
||
участка |
участ- |
длина |
расход |
газопро- |
Па |
|
потерь |
|
сети |
ка, м |
участка, м |
газа, м3/ч |
вода, мм |
|
|
|
давле- |
удельные |
|
на |
||||||
|
|
|
|
|
|
ния, Па |
||
|
|
|
|
|
(на 1 п. м.) |
|
участке |
|
|
|
|
|
|
|
|
|
|
|
|
|
|
|
|
|
|
|
4. ОПРЕДЕЛЕНИЕ РАСХОДА ГАЗА НА КОММУНАЛЬНО-БЫТОВЫЕ НУЖДЫ
Расчет часовых расходов газа на коммунально-бытовые предприятия необходим для осуществления гидравлического расчета тупиковой системы газоснабжения высокого давления (алгоритм расчета системы газоснабжения высокого давления приведен
вразделе 5).
Впервую очередь необходимо определить годовой расход теплоты.
Расход теплоты для данных потребителей учитывает расход газа на стирку белья в прачечных, на помывку людей в банях, на приготовление пищи в столовых, кафе и ресторанах, на выпечку хлеба.
Расход газа коммунально-бытовыми потребителями определяем по производительности или пропускной способности предприятий и нормам расхода теплоты на единицу продукции или одного потребителя.
Годовое количество теплоты, необходимое для функционирования любого заданного предприятия (баня, прачечная, хлебозавод, столовая), определяется по формуле
(4.1)
где N — число жителей квартала, чел.;
k% — процентное или единичное количество населения квартала, которое пользуется услугами рассчитываемого предприятия; q — норма расхода теплоты на единицу потребления (см. табл.
4.1) промпредприятия;
s — средние показатели производства продукции бытового потребления:
для прачечной s = 0,1; для бани s = 52;
для хлебозавода












34