Материал: Ответы на экзамен лето 2 курс

Внимание! Если размещение файла нарушает Ваши авторские права, то обязательно сообщите нам
  1. Система уравнений электромагнитного поля в интегральной форме

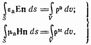
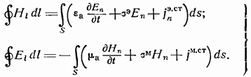
Кроме дифференциальной формы, уравнения Максвелла могут быть записаны также в интегральной форме. Для этой цели воспользуемся прежде всего теоремой Стокса, согласно которой циркуляция вектора   по замкнутому пути равна поверхностному интегралу от составляющей ротора вектора   по направлению нормали к поверхности, опирающейся на контур (рис. 1-1):

Применение этой теоремы к уравнениям (1-5) приводит нас к следующим выражениям:

Здесь и далее индексом   отмечены нормальные составляющие соответствующих векторов. Первое уравнение (1-8) называется законом полного электрического тока. Согласно этому

уравнению электрические токи смещения   так же как и электрические токи проводимости   порождают магнитное поле, причем изменение электрического поля во времени вызывает изменение магнитного поля в пространстве. Второе уравнение (1-8) при   обычно называется за. коном электромагнитной индукции. По аналогии с первым уравнением (1-8) можно это уравнение называть законом полного магнитного тока. Согласно этому уравнению магнитные токи смещения   так же как и магнитные токи проводимости   порождают электрическое поле, а изменение магнитного поля во времени вызывает изменение электрического поля в пространстве.

Воспользуемся далее теоремой Гаусса—Остроградского, связывающей интеграл по поверхности с интегралом по объему:

где   — внешняя относительно рассматриваемой области нормаль к поверхности 

Применение этой теоремы к уравнениям (1-6) дает:

Первое уравнение (1-10) указывает на то, что истоками электрического поля являются электрические заряды. Второе уравнение (1-10) указывает на то, что истоками магнитного поля являются магнитные заряды.

  1. Система уравнений электромагнитного поля в дифференциальной форме

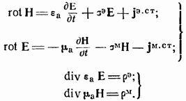
Макроскопическое электромагнитное поле в сплошных неподвижных средах описывается в дифференциальной форме следующими уравнениями Максвелла:

где Е и Н — мгновенные значения векторов напряженности электрического и магнитного поля;

D и В — мгновенные значения векторов электрической и магнитной индукции;   — мгновенные значения векторов объемной плотности электрического и магнитного тока.

Так как имеет место закон сохранения количества электричества и магнетизма (уравнение непрерывности): 

где   — объемная плотность электрического заряда и   — объемная плотность магнитного заряда, то из уравнений (1-1) из-за тождества   ( -любой вектор) вытекают еще два уравнения:

В уравнения (1-1), (1-2) и (1-3) совершенно формально введены, помимо электрических токов и зарядов, также магнитные токи и заряды. В действительности магнитных токов и магнитных зарядов в природе не существует, поэтому в написанных уравнениях нужно было бы положить   Однако введение этих величин в уравнения электродинамики оказывается удобным во многих случаях, например, при определении излучения щелевых антенн.

Два уравнения (1-1) связывают между собой шесть векторов. Поэтому эта система является неполной и к ней нужно добавить еще четыре уравнения.

Во многих задачах среда, в которой происходят электромагнитные процессы, предполагается изотропной, т. е. имеющей одинаковые свойства по всем направлениям в каждой точке пространства.

Для изотропной среды имеют место соотношения:

где   — абсолютная диэлектрическая проницаемость;

 — абсолютная магнитная проницаемость;

 — удельная электрическая проводимость;

 — удельная магнитная проводимость;

 — напряженность стороннего электрического поля;

 — напряженность стороннего магнитного поля.

Под сторонними полями понимают либо поля, создаваемые электродвижущими и магнитодвижущими силами неэлектромагнитного происхождения (химическими, диффузионными и др.), либо поля, создаваемые некоторой частью системы, принимаемой за источник и не рассматриваемой детально. При анализе реальных электродинамических систем выделение некоторой их области в качестве области источников оказывается, как правило, необходимым во избежание чрезмерного усложнения задачи. В процессе решения величины   считаются заданными и не зависящими от порождаемых ими полей. Наряду с напряженностями сторонних полей можно рассматривать сторонние токи: электрический   и магнитный   Вопрос о том, следует ли вводить первичные источники с помощью сторонних токов или напряженностей толя сторонних э. д. с. и м. д. с., решается при постановке конкретных задач. В дальнейшем мы будем пользоваться сторонними токами, имея в виду возможность перехода к сторонним э. д. с. и м. д. с.

В соотношениях (1-4) зависимость между электрической индукцией и напряженностью электрического поля и между магнитной индукцией и напряженностью магнитного поля приняты линейными. Однако существуют среды, в которых эти зависимости имеют другой вид. Так, в сегнетоэлектриках нарушается линейность соотношения   а в ферромагнитных веществах нарушается линейность соотношения   Параметры этих сред   оказываются, таким образом, зависящими от величин напряженностей поля Е и Н. В анизотропных средах проницаемости   становятся тензорными величинами, которые в общем случае могут быть записаны в следующем виде:

Среды, имеющие тензорную электрическую проницаемость, иногда называются гироэлектрическими, а среды стен-, зорной магнитной проницаемостью — гиромагнитными. Примером гироэлектрической среды может служить плазма в постоянном магнитном поле. Из гиромагнитных сред следует упомянуть ферриты, помещенные в постоянное (или медленно меняющееся) магнитное поле. Вещества, обладающие одновременно и гироэлектрическими, и гиромагнитными свойствами, пока в природе не обнаружены. Уравнения (1-1) совместно с уравнениями (1-4) представляют уже полную систему уравнений электромагнитного поля.

Подставив (1-4) в (1-1) и (1-3), будем иметь уравнения Максвелла в следующем виде:

  1. Граничные условия на поверхности раздела двух сред

При переходе через границу раздела сред векторы  и  изменяются скачком, т.к. скачкообразно изменяется диэлектрическая проницаемость  .

При решении задач часто необходимо знать, как ведут себя векторы  и  на границах раздела сред, т.е. знать граничные условия.

Под граничными условиями в электрическом поле понимают условия на тех поверхностях, где  и  претерпевают скачкообразные изменения, или на которых значения этих величин известны.

Пусть поверхность является границей раздела двух однородных и изотропных сред с диэлектрическими проницаемостями  и  (рис. 2.12). Выберем на поверхности раздела двух сред элемент дуги  и построим контур abcd на этом элементе дуги. Выберем произвольно направление обхода контура. Циркуляция вектора  по замкнутому контуру равна нулю (поле потенциальное) (2.23)

.

Устремляя ad и bc к нулю, получим

,

откуда

, (2.37)

где  и  - касательные (тангенциальные) составляющие вектора  на поверхности раздела (при наличии поверхностного заряда соотношение такое же).

Таким образом, тангенциальные составляющие вектора  при переходе через поверхность раздела двух сред вне зависимости от наличия заряда на поверхности раздела не терпят разрыва.

Так как  , то

, (2.38)