Материал: Ответы на экзамен лето 2 курс

Внимание! Если размещение файла нарушает Ваши авторские права, то обязательно сообщите нам
  1. Потенциал, градиент потенциала. Уравнение Пуассона и Лапласа

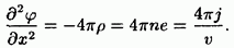
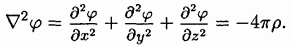
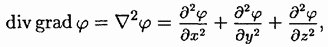
Уравнение (10.2) устанавливает связь между потенциалом электростатического поля и напряженностью этого поля. Из этого уравнения можно получить соотношение между потенциалом и плотностью заряда. Для этого нужно образовать дивергенцию обеих частей этого уравнения и воспользоваться затем формулой (6.5):

Согласно правилам векторного анализа [см. уравнение (40]

так что уравнение (11.1) может быть записано так:

Это дифференциальное уравнение носит название уравнения Пуассона. В тех участках поля, где нет электрических зарядов

 уравнение это обращается в следующее:

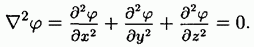
Этот частный вид уравнения Пуассона носит название уравнения Лапласа.

Уравнение Пуассона дает возможность определить потенциал поля объемных зарядов, если известно расположение этих зарядов. Решение (интеграл) этого дифференциального уравнения (при определенных граничных условиях) должно, очевидно, совпадать с выведенной нами ранее формулой (8.8):

В дальнейшем мы докажем это непосредственным вычислением. Пока же отметим, что для решения некоторых задач удобнее исходить не из интеграла (8.8), а непосредственно из дифференциального уравнения (11.3).

Пример. Определить плотность термоионного тока между двумя бесконечными плоскими электродами в вакууме. Пример этот на применение уравнения Пуассона взят не из электростатики, а из учения о токе и имеет большое значение для теории катодных (усилительных) ламп.

Известно, что накаленные металлы испускают со своей поверхности в окружающее пространство поток свободных электронов. Если к двум металлическим электродам приложить определенную разность потенциалов и раскалить отрицательный электрод (катод), то непрерывно испускаемые накаленным катодом электроны будут притягиваться к поверхности положительного электрода (анода). Поток электронов, движущихся от катода к аноду, эквивалентен электрическому току. Ток этот называется термоионным.

Выберем оси декартовых координат так, чтобы начало их находилось на катоде, а ось х была перпендикулярна плоскости электродов и направлена к аноду. Примем потенциал катода равным нулю, а потенциал анода равным   Из соображений симметрии явствует, что эквипотенциальные поверхности параллельны электродам, поэтому   и уравнение Пуассона в пространстве между электродами принимает вид

Если обозначить через   число электронов, приходящихся на единицу объема в пространстве между электродами на расстоянии х от катода, а через   абсолютную величину заряда электрона, то плотность заряда на

этом расстоянии будет:

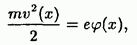
Предположим для простоты, что испускаемые катодом электроны при выходе из его поверхности не обладают никакой начальной скоростью. На пути от катода к аноду силы электрического поля будут совершать над электронами заряда   работу —   которая будет, очевидно, переходить в кинетическую энергию движения электронов. Обозначая через   скорость электрона на расстоянии х от катода, а через   потенциал на том же расстоянии, получим

где 771 — масса электрона. Наконец, плотность   электрического тока, т. е. заряд, протекающий за единицу времени через перпендикулярную току (т. е. перпендикулярную оси   площадку в   равна, очевидно:

ибо   есть число электронов, проходящих за единицу времени через эту площадку. В отличие от   плотность тока   есть величина постоянная, не зависящая от х, ибо по достижении стационарного состояния через любую параллельную электродам плоскость проходит, очевидно, одинаковое число электронов.

Исключим из уравнения (11.5) все неизвестные функции х, кроме   Прежде всего

Но из (11.6) следует, что

стало быть,

Вводя обозначение А — получим 

Как легко убедиться подстановкой,   из решений этого дифференциального уравнения, которое, согласно условию задачи, обращается на катоде в нуль и, кроме того, удовлетворяет условию

равно

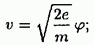
Если обозначить расстояние от анода до катода через I, то при   потенциал   должен обращаться в   Стало быть,

откуда

Таким образом, плотность термоионного тока не подчиняется закону Ома, а растет пропорционально степени 3/2 приложенного к электродам напряжения   и обратно пропорционально квадрату расстояния между ними. Это отличие законов термоионного тока от законов тока в металлах обусловливается двоякого рода причинами. Во-первых, электроны в металлах соударяются с положительными ионами, образующими твердый скелет металла, и испытывают благодаря этому сопротивление своему движению, отсутствующее при движении в вакууме 1). Во-вторых, при термоионном токе в пространстве между электродами находятся лишь свободные электроны, заряд которых не компенсируется зарядом положительных ионов, как это имеет место в металлах, вследствие чего поле этого так называемого «пространственного заряда» искажает поле электродов.

Отметим, что формула (11.9) перестает быть справедливой при больших плотностях тока 2). При повышении потенциала анода наступает момент, когда все выделяемые катодом электроны немедленно же увлекаются к аноду. Дальнейшее повышение потенциала анода не может, очевидно, повести к увеличению плотности тока, которая, таким образом, достигает постоянного значения (ток насыщения).

Задача 10. Пусть   означает расстояние данной точки пространства от некоторой произвольно выбранной начальной точки   Показать, что скаляр

удовлетворяет уравнению Лапласа

Точка   не рассматривается.

Задача 11. Бесконечная плоская пластина толщиной 2а равномерно заряжена электричеством с объемной плотностью   Ось х перпендикулярна пластине, начало координат расположено в срединной плоскости, равноотстоящей от обеих поверхностей пластины. Показать, что потенциал поля внутри и вне пластины равен соответственно:

а вектор   направлен вдоль оси х от срединной плоскости   и численно равен:

Сравнить этот случай с предельным случаем бесконечной заряженной плоскости (§ 4).

Задача 12. Найти потенциал поля шара, равномерно заряженного по своему объему [формула (8.12)], исходя из уравнения Пуассона в сферических координатах.

  1. Электрическое поле постоянного тока

Если в проводнике существует электрическое поле, оно вызывает упорядоченное движение зарядов, представляю­щее собой ток проводимости. В металлических проводни­ках ток проводимости определяется движением электронов. Мерой тока служит предел отношения заряда Dq, про­ходящего сквозь заданную поверхность в течение некото­рого времени Dt, к Dt, когда Dt стремится к нулю как к пределу  .

Ток — величина скалярная. Если значе­ние тока не зависит от времени, ток называется постоянным. Ток измеряется в амперах (А). Плотностью тока называют векторную величину  , числен­ное значение которой равно пределу отношения тока, про­текающего через некоторую площадку, расположенную нормально к направлению движения зарядов, к площади этой площадки, когда она стремится к нулю как к пре­делу 

Направление вектора  выбирается таким образом, чтобы оно совпадало с направлением движения положительных зарядов (или было противоположно направлению движе­ния oтрицательных зарядов).

Ток и плотность тока связаны соотношением

. (20.1)

Ток сквозь поверхность S равен потоку вектора плот­ности тока сквозь ту же поверхность. Плотность тока измеряется в амперах, деленных на квадратные метры (А/м2).

20.2 Закон Ома в дифференциальной форме

В изотропном проводнике плотность тока проводимо­сти  пропорциональна напряженности электрического поля Е

.(20.2)

Эта формула представляет собой закон Ома в диффе­ренциальной форме. Коэффициент s называется удельной прово­димостью и измеряется в См/м.

Для того, чтобы в проводнике длительно протекал ток, необходимо наличие электрического поля, силы которого будут перемещать заряды. Такое поле может быть создано и будет поддерживаться процессами не электростатического происхождения (химическими, термоэлектрическими) и носит название стороннего электрического поля. Напряженность стороннего электрического поля обо­значаем Естор. Если в проводнике одновременно действуют и электро­статические и сторонние силы, напряженность результи­рующего поля будет равна  .

Рассмотрим проводящий контур а— 1 — b— 2 — а (рисунок 20.1).

На уча­стке b — 2 — а действуют сторонние си­лы и на этом участке

.

На участке a — 1 — b сторонних сил нет, поэтому