Материал: Методичка ТОЭ часть вторая

Внимание! Если размещение файла нарушает Ваши авторские права, то обязательно сообщите нам

Для характеристического сопротивления фильтра на основании (2.20) и (2.21) имеем

Анализ соотношения (2.24) показывает, что с ростом частоты ω в пределах, определяемых неравенством (2.23), характеристическое сопротивление фильтра уменьшается до нуля, оставаясь активным. Поскольку, при нагрузке фильтра сопротивлением, равным характеристическому, его входное сопротивление также будет равно , то, вследствие вещественности , можно сделать за-

ключение, что фильтр работает в режиме резонанса, что было отмечено ранее.

При частотах больших

, как это следует из (2.24), характеристическое

сопротивление приобретает индуктивный характер.

 

На рис. 2.5 приведены качественные зависимости α(ω), β(ω), и

.

Рис. 2.5

Следует отметить, что вне полосы пропускания β=π . Действительно, поскольку коэффициент А – вещественный, то всегда должно удовлетворяться равенство

(2.25)

Так как вне полосы прозрачности α≠0, то соотношение (2.25) может выполняться только при .

В полосе задерживания коэффициент затухания α определяется из уравнения (2.21) при β=π. Существенным при этом является факт постепенного нарастания α, т.е. в полосе затухания фильтр не является идеальным. Аналогичный

51

вывод о неидеальности реального фильтра можно сделать и для полосы прозрачности, поскольку обеспечить практически согласованный режим работы фильтра во всей полосе прозрачности невозможно, а следовательно, в полосе пропускания коэффициент затухания α будет отличен от нуля.

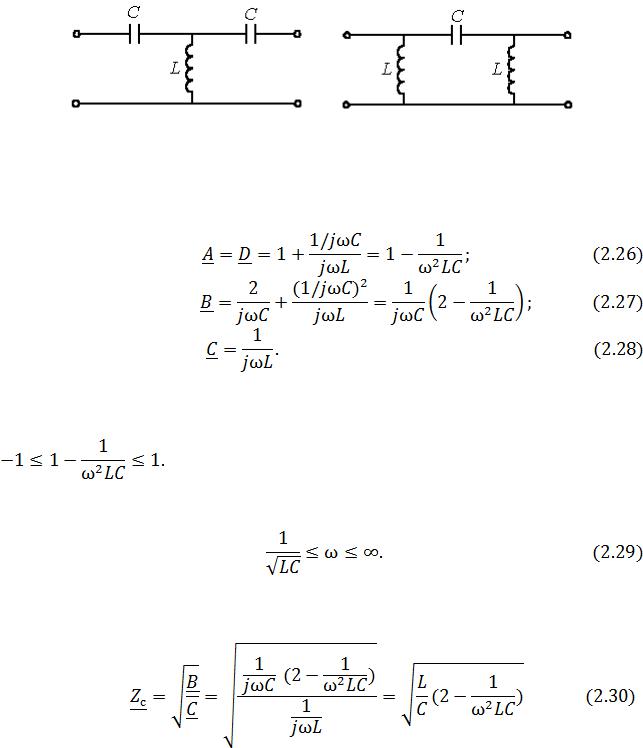
Другим вариантом простейшего низкочастотного фильтра может служить четырехполюсник по схеме на рис. 2.4,б.

Схема простейшего высокочастотного фильтра приведена на рис. 2.6,а.

а)

б)

 

Рис.2.6

Для данного фильтра коэффициенты четырехполюсника определяются выражениями:

Как и для рассмотренного выше случая, А – вещественная переменная. Поэтому на основании (2.26)

Данному неравенству удовлетворяет диапазон изменения частот:

Характеристическое сопротивление фильтра

изменяясь в пределах от нуля до с ростом частоты, остается вещественным. Это соответствует, как уже отмечалось, работе фильтра, нагруженного ха-

52

рактеристическим сопротивлением в резонансном режиме. Поскольку такое согласование фильтра с нагрузкой во всей полосе пропускания практически невозможно, реально фильтр работает с α=0 в ограниченном диапазоне частот. Вне области пропускания частот α определяется из уравнения

при . Плавное изменение коэффициента затухания в соответствии с (2.30) показывает, что в полосе задерживания фильтр не является идеальным.

Качественный вид зависимостей α(ω), β(ω) и для высокочастотного фильтра представлен на рис. 2.6.

Рис. 2.6

Следует отметить, что другим примером простейшего высокочастотного фильтра может служить П-образный четырехполюсник на рис. 2.5,б.

2.7. Полосно-пропускающие и полосно-заграждающие фильтры

Полосовой фильтр формально получается путем последовательного соединения низкочастотного фильтра с полосой пропускания ωωC2 и высокочастотного фильтра с полосой пропускания ωωC2, причем ωC1ωC2. Схема простейшего полосового фильтра приведена на рис. 2.7,а, а на рис. 2.7,б представлены качественные зависимости для него.

53

Рис.2.7

У режекторного фильтра полоса прозрачности разделена на две части полосой затухания. Схема простейшего режекторного фильтра и качественные зависимости α(ω), для него приведены на рис.2.8.

Рис. 2.8

В заключение необходимо отметить, что для улучшения характеристик фильтров всех типов их целесообразно выполнять в виде цепной схемы, представляющей собой каскадно включенные четырехполюсники. При обеспечении согласованного режима работы всех n звеньев схемы коэффициент затухания αц такого фильтра возрастает в соответствии с выражением αц=nα , что приближает фильтр к идеальному.

54

Вопросы и задачи для самопроверки

1.Приведите уравнения четырехполюсника в А-форме. Сколько коэффициентов четырехполюсника являются независимыми?

2.Как определить коэффициенты А-формы четырехполюсника?

3.Приведите схемы замещения четырехполюсника.

4.Как определяются коэффициенты одной формы записи уравнений четырехполюсника через коэффициенты другой? Определить связь коэффициентов Y-, H- и G-форм с коэффициентами А-формы.

5.Дайте определение режима согласованной нагрузки симметричного четырехполюсника. Что определяет коэффициент распространения?

6.Определить коэффициенты А, В, С и D для П-образной схемы замещения четырехполюсника на рис. 2.3,б.

Ответ:

A 1 Z 3 / Z 2 ;

B Z 3 ;

C (Z 1 Z 2 Z 3 ) /(Z 1 Z 2 ) ;

D 1

Z 3 / Z 1.

 

 

7. Коэффициенты уравнений пассивного четырехполюсника: A 1 j ;

B=-j10 Ом; C=-j0,1См. Определить параметры Т-образной схемы замещения.

Ответ: Z1=10 Ом; Z2=-j10 Ом; Z3=10 Ом.

8. Параметры

Т-образной

схемы замещения четырехполюсника:

Z1=Z2=10Ом;

Z 3 j10 Ом.

Определить, при каком сопротивлении на-

грузки входное сопротивление четырехполюсника будет равно нагрузочному сопротивлению.

Ответ: Z н 14,95e j31,720 Ом.

9. Для чего служат фильтры? Что такое полосы прозрачности и затухания? 10. Как классифицируются фильтры в зависимости от диапазона пропус-

каемых частот?

11.В каком режиме работают фильтры в полосе пропускания частот? 12. Как можно улучшить характеристики фильтра?

13.Определить границы полосы прозрачности фильтров на рис. 2.4,а и 2.6,а, если L=10 мГн, а С =10 мкФ.

Ответ: С1 4472 рад/c, С2 2236 рад/c.

55