Саме тому температурні зміни вихідних характеристик БТ зі спільною базою невеликі (рис. 3.28).
Значно більшої температурної зміни зазнають вхідні характеристики.
Відомо,
що
,
де
-
зворотний струм емітера, залежність
якого від температури така сама, як і
струму
.

Рисунок 3.28 – Температурний дрейф вихідних характеристик БТ зі спільною базою
Унаслідок цього залежність емітерного струму від температури набирає вигляду
. (3.41)
Тому збільшення температури супроводжується зростанням струму емітера і зміщенням вхідних характеристик у бік більших струмів (рис. 3.29).

Рисунок 3.29 – Температурний дрейф вхідних характеристик БТ зі спільною базою
Як правило, вважають, що при зміні температури на один градус характеристики зміщуються вліво на 1 - 2 мВ.
Схема зі спільним емітером
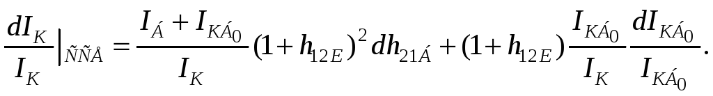
Для оцінки температурної зміни вихідних характеристик БТ у ССЕ визначимо повний диференціал від рівняння (3.20):
, (3.42)
,
оскільки у вихідних характеристиках
= const.
Оскільки
,
то
.
Отже,

Оскільки
і
,
то врешті отримуємо
,
![]()
(3.43)
З
цього виразу бачимо, що температурний
дрейф вихідних характеристик БТ зі
спільним емітером в
разів більший, ніж у ССБ. Це суттєвий
недолік схеми зі спільним емітером
(рис. 3.30).
При
кімнатній температурі іонізовані всі
атоми домішок і невелика частина атомів
основної речовини НП (чистого НП).
Завдяки цьому, в емітерній, колекторній
і базовій областях БТ забезпечуються
потрібні концентрації основних і
неосновних носіїв. З підвищенням
температури навколишнього середовища
або при нагріванні транзистора струмами
зростає число генерованих пар
електрон-дірка. Внаслідок зростання
концентрації носіїв електропровідність
областей приладу збільшується, і його
нормальна робота порушується. Практика
доводить, що максимальна робоча
температура германієвих БТ лежить у
межах від +70 до +100
С.
У кремнієвих транзисторів унаслідок
більшої ширини ЗЗ енергія, необхідна
для іонізації атомів основної речовини,
виявляється більшою, ніж у германієвих,
і тому максимальна робоча температура
кремнієвих приладів може становити
від +125 до +200
С.
Мінімальна
робоча температура БТ визначається
енергією іонізації домішкових атомів
та їх концентрацією. Як правило, ця
енергія невелика (0,05 - 0,1 еВ), і з
цієї точки зору БТ може працювати при
мінімальній температурі -200
С.
Але фактична нижня границя температури
обмежується термостійкістю корпуса і
допустимими змінами параметрів, тому
її величина становить, як правило, від
-60 до -70
С.
1 Тепловий пробій. При порушенні теплового балансу, коли внаслідок недостатнього тепловідведення приріст потужності, що підводиться до КП, не компенсується відповідним приростом потужності, яка відводиться, в БТ відбувається тепловий пробій. Він супроводжується необмеженим зростанням температури переходу, збільшенням колекторного струму і потужності, що підводиться, і, як наслідок, перегрівом приладу і його псуванням.
Величину напруги, яка не приводить до теплового пробою БТ, визначають за формулою:
, (3.44)
де
- максимально допустима температура
КП;
- температура
навколишнього середовища;
- тепловий опір
тепловідведення (корпусу, радіатора
тощо).
Таким
чином, допустима напруга
тим менша, чим більші струм
,
тепловий опір і температура навколишнього
середовища. При незадовільному
тепловідведенні і високій температурі
середовища напруга теплового пробою
може стати меншою за робочу напругу
транзистора. Особливо небезпечним є
тепловий пробій для потужних БТ, які
мають значний зворотний струм колектора
.
2 Електричний пробій. Оскільки переходи БТ взаємодіють між собою, то величина пробивної напруги залежить від схеми ввімкнення приладу та від режиму його використання. Зупинимося на прикладі схеми зі спільним емітером.

Рисунок 3.30 – Вплив температури на вихідні характеристики БТ зі спільним емітером
Вхідні
характеристики БТ у ССЕ також зазнають
змін при зміні температури (рис. 3.31).
Збільшення температури викликає
зростання струмів
та
,
які спрямовані у колі бази назустріч
один одному. Тому вхідні характеристики,
зняті при різних температурах,
перетинаються при малих струмах бази
(т.
на рисунку 3.31).

Рисунок 3.31 – Вплив температури на вхідні характеристики БТ зі спільним емітером

а) б) в)
Рисунок
3.32 – До пояснення впливу режиму роботи
БТ на величину пробивної напруги:
а)
;
б)
в)
![]()
Нехай
маємо БТ у ССЕ з розімкненим емітерним
колом (
)
(рис. 3.32 а).
Зауважимо,
що цей приклад цілком аналогічний до
схеми зі спільною базою при
.
Коефіцієнт множення колекторного
струму у БТ при
![]()
, (3.45)
де
(2 – 6)
залежно від матеріалу виготовлення БТ
та виду
-
переходу.
Лавинний
пробій КП відбувається при наближенні
напруги
до значення
.
При цьому різко зростають коефіцієнт
передачі струму емітера (
)
і колекторний струм, як показано на
рисунку 3.33 (крива
).

Рисунок 3.33 – Залежність пробивної напруги від режиму роботи БТ
Якщо
тепер розірвати лише базове коло
(рис. 3.32 б), тобто
,
то колекторний струм дорівнюватиме
. (3.46)
У випадку лавинного пробою формула (3.46) набирає вигляду
. (3.47)
При
цьому знаменник правої частини
,
струм колектора
(крива
на рисунку 3.33). Враховуючи цю умову і
вираз (3.45), можна одержати формулу для
визначення пробивної напруги колектор
– емітер при
:
. (3.48)
Отже,
.
Пробивна напруга в ССЕ при
в 2 - 3 рази менша, ніж пробивна напруга
в ССБ при
.
3 Вплив
опору у колі бази.
Пробивна напруга БТ залежить від
величини опору
,
увімкненого в базове коло. Цей опір
(рис. 3.32 б) зумовлює позитивний
зворотний зв’язок між виходом і входом
транзистора: зростання колекторного
струму в граничному режимі (при
)
приводить до збільшення прямої напруги
на ЕП, що, у свою чергу, приводить до
подальшого зростання
,
нового збільшення
і т.д. Внаслідок цього транзистор втрачає
стійкість і пробивається (крива
на рисунку 3.33).
Чим
більший
,
тим сильніший позитивний зворотний
зв’язок. Найгіршим є випадок розриву
кола бази (
),
коли пробивна напруга стає мінімальною
(рис. 3.33). Саме з цієї причини звичайно
забороняється застосовувати транзистори
у режимі розімкненого базового кола.
Особливо недопустимим є такий режим
для потужних БТ, які в цьому випадку
пробиваються при малих
.
Найбільш
стійким є режим при
.
Однак через вплив розподіленого опору
бази
навіть при
пробивна напруга залишається меншою,
ніж при вимкненому емітері (крива
на рисунку 3.33).