
Рисунок 3.19 – Розподіл концентрації дірок у базі при знятті характеристик зворотного зв’язку БТ зі спільною базою
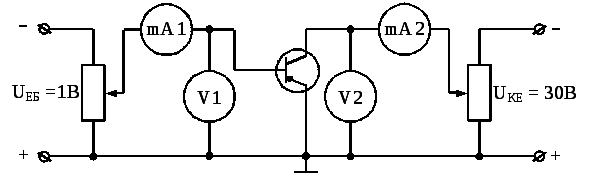
Схему для зняття характеристик БТ у ССЕ показано на рисунку 3.20.

Рисунок 3.20 – Схема для експериментального зняття характеристик БТ зі спільним емітером
Це
залежність
(рис. 3.21).

Рисунок 3.21 – Статичні вхідні характеристики БТ зі спільним емітером
При
обидва
переходи
транзистора ввімкнено в прямому напрямі
(рис. 3.22),
і вхідна характеристика є прямою гілкою
ВАХ двох паралельно ввімкнених переходів.
При
КП вмикається у зворотному напрямі, і
в колі бази протікає струм
. (3.36)
При
струм бази має тільки одну складову –
зворотний струм КП
.

Рисунок
3.22 – БТ зі спільним емітером при
![]()
При
збільшенні напруги
починає зростати струм
,
а разом з ним – рекомбінаційна складова
струму бази
.
Струм
зменшується за модулем, оскільки
спрямований у колі бази назустріч
.
При деякій напрузі
струм бази дорівнює нулю. Подальше
зростання струму бази зумовлене
зростанням рекомбінаційної складової
,
яка починає перевищувати зворотний
струм колектора
.
Унаслідок
того, що струм
невеликий, на більшості характеристик
БТ зі спільним емітером у довіднику
області негативних струмів бази не
зображають.
Це
залежності
(рис. 3.23).
Межею
між РВ та АР є характеристика, що знята
при струмі бази
.
Це обумовлено особливостями вхідних
характеристик схеми зі спільним
емітером, тобто тим, що
лише при позитивних напругах
(у режимі відсічки).
Вихідна
характеристика при
відповідає випадку, коли
. (3.37)

Рисунок 3.23 – Статичні вихідні характеристики БТ зі спільним емітером
При
цьому зростання негативної напруги
приводить до збільшення напруги
,
при якій зберігається умова (3.37), як це
випливає з сім’ї вхідних характеристик
(рис. 3.21). Остання обставина викликає
зростання емітерного
і, як наслідок, колекторного
струмів.
При
подальшому збільшенні струму
вихідні характеристики змінюються за
законом
(3.38)
Нееквідистантність
зміщення характеристик у бік більших
струмів колектора зумовлена характером
залежності
(рис. 3.24).
Характер
проходження вихідної характеристики
БТ при фіксованому струмі бази
пояснюється наступним чином.
При
за рахунок того, що потенціал бази
нижчий, ніж однакові потенціали емітера
і колектора, ЕП і КП увімкнено в прямому
напрямі, і БТ перебуває у РН.

Рисунок
3.24 – Залежність
![]()
Тепер,
якщо збільшувати негативний потенціал
на колекторі (
),
потенціальний бар’єр КП збільшується,
інжекційна складова колекторного
струму спадає, а керований струм
колектора за рахунок зростаючої
екстракції дірок з бази до колектора
збільшується. При збільшенні напруги
до настання рівності
струм
різко зростає за рахунок розсмоктування
дірок, що нагромадились у базі в РН.
При виконанні рівності
транзистор переходить до АР, зростання
колекторного струму сповільнюється,
що на характеристиках рисунка 3.23
відповідає початку пологої ділянки.
Важливим є те, що нахил вихідних
характеристик БТ зі спільним емітером
на пологій ділянці більший за нахил
відповідних характеристик БТ зі
спільною базою, тобто у ССЕ струм
зростає при збільшенні колекторної
напруги швидше, ніж у ССБ. Це зумовлено
двома причинами.
1 Напруга
,
на відміну від вихідної напруги
у ССБ, розподіляється між ЕП та КП, а не
прикладена лише до КП. Тому при збільшенні
дещо зростає й напруга
,
що приводить до збільшення емітерного
,
а отже, і колекторного
струмів.
2 Зростання
негативної напруги
приводить до збільшення товщини КП і
зменшення активної ширини бази
.
Це приводить до зменшення рекомбінаційного
струму бази, бо зменшується ймовірність
рекомбінації дірок з електронами. Однак
при одержанні вихідних характеристик
БТ зі спільним емітером потрібно
підтримувати струм бази
саме постійним. Тому зменшення струму
бази можна компенсувати збільшенням
струму емітера
(за рахунок збільшення напруги
).
А ця обставина викликає додаткове
зростання колекторного струму
.
Характеристиками
прямої передачі є залежності
(рис. 3.25).

Рисунок 3.25 – Характеристики прямої передачі БТ зі спільним емітером
Реальні
характеристики відрізняються від
лінійних, і їх нахил деякою мірою
залежить від напруги
.
Швидкість зростання
із зростанням струму бази зменшується.
Це зумовлено залежністю
(рис. 3.24). Знаходження характеристики
прямої передачі при
у від’ємному квадранті пояснюється
тим, що в РН колекторний струм БТ має
напрям, протилежний напряму
в АР.
Залежності
показано на рисунку 3.26. Збільшення
напруги
приводить до зменшення активної ширини
бази
,
зменшення струму бази. Для підтримання
постійного значення
потрібно збільшувати емітерний струм
,
підвищуючи напругу
.

Рисунок 3.26 – Характеристики зворотного зв’язку БТ зі спільним емітером
Вхідні
характеристики БТ у ССК
показано на рисунку 3.27.
При
ЕП включено у зворотному напрямі і
через базу протікає лише зворотний
струм колектора
.
При
ЕП відкривається, струм бази змінює
свій напрям і збільшується при зменшенні
напруги
.
Це відбувається тому, що при зменшенні
зростає напруга
,
оскільки вихідна напруга
підтримується постійно. Але це приводить
до зростання струму емітера
і зв’язаного з ним струму бази
.

Рисунок 3.27 – Статичні вхідні характеристики БТ зі спільним колектором
Вихідні
характеристики транзистора зі спільним
колектором
при
майже нічим не відрізняються від
вихідних характеристик схеми зі спільним
емітером, тому що
,
а
.
Температурна залежність вихідних або вхідних характеристик зумовлена зміною відповідно колекторного або емітерного струму при зміні температури.
Схема зі спільною базою
У ССБ, згідно з рівнянням (3.10), зміна колекторного струму при постійному струмі емітера
![]()
Відносна зміна струму колектора
=
. (3.39)
Коефіцієнт
передачі струму емітера
від температури майже не залежить,
тому температурна зміна
не впливає на дрейф характеристик.
Другий доданок у формулі (3.39) визначає
температурний дрейф характеристик,
викликаний температурною зміною
зворотного струму колектора
:
, (3.40)
де
- зворотний струм при температурі
;
- зворотний струм
при температурі
;
- для германію;
- для кремнію.
У
практичних розрахунках вважається, що
величина
подвоюється при зростанні температури
на 10
С
для германієвих БТ і на 8
С
- для кремнієвих БТ. Але вплив другого
доданка формули (3.39) на температурний
дрейф вихідних характеристик є незначним,
оскільки для більшості транзисторів
.