Міністерство освіти і науки України
Сумський державний університет
До друку та в світ
дозволяю на підставі
"Єдиних правил",
п.2.6.14
Заступник першого проректора –
начальник організаційно-
методичного управління В. Б. Юскаєв
Навчальний посібник
Усі цитати, цифровий та
фактичний матеріал,
бібліографічні
відомості перевірені,
запис одиниць
відповідає стандартам
Укладачі О. А. Борисенко
О. М. Кобяков
А. І. Новгородцев
І. А. Кулик
Є. Л. Онанченко
Б. К. Лопатченко
Відповідальний за випуск А. С. Опанасюк
Декан факультету електроніки
та інформаційних технологій С. І. Проценко
Суми
Сумський державний університет
2013
О. А. Борисенко, О. М. Кобяков, А. І. Новгородцев,
І. А. Кулик, Є. Л. Онанченко, Б. К. Лопатченко
Твердотільна
електроніка
Міністерство освіти і науки України
Сумський державний університет
Твердотільна електронікА
Навчальний посібник
Рекомендовано Міністерством освіти і науки, молоді та спорту України
Суми
Сумський державний університет
2013
УДК 621.382(075.8)
Б
БК
32.844.1
Т 26
Авторський колектив:
О. А. Борисенко, доктор технічних наук, професор кафедри електроніки і комп'ютерної техніки Сумського державного університету;
О. М. Кобяков, кандидат технічних наук, доцент кафедри електроніки і комп'ютерної техніки Сумського державного університету;
А. І. Новгородцев, кандидат технічних наук, доцент кафедри електроніки і комп'ютерної техніки Сумського державного університету;
І. А. Кулик, кандидат технічних наук, доцент кафедри електроніки і комп'ютерної техніки Сумського державного університету;
Є. Л. Онанченко, кандидат технічних наук, доцент кафедри електроніки і комп'ютерної техніки Сумського державного університету;
Б. К. Лопатченко, кандидат технічних наук, доцент кафедри електроніки і комп'ютерної техніки Сумського державного університету
Рецензенти:
В. І. Мирошніченко доктор фізико-математичних наук, старший науковий співробітник Інституту прикладної фізики НАН України;
А. Я. Білецький – доктор технічних наук, професор Національного авіаційного університету;
В. М. Гусятін кандидат технічних наук, доцент, професор Національного університету радіоелектроніки
Рекомендовано Міністерством освіти і науки, молоді та спорту України як навчальний посібник для студентів вищих навчальних закладів галузі знань «Електроніка»
(лист 1/11-5204 від 12.03.13 р.)
Борисенко О. А.
Т 26 Твердотільна електроніка : навчальний посібник / О. А. Борисенко, О. М. Кобяков, А. І. Новгородцев, І. А. Кулик, Є. Л. Онанченко, Б. К. Лопатченко. Суми : Сумський державний університет, 2013. – 271 с.
ISBN
У посібнику послідовно розглянуті питання з будови, принципу дії, характеристик, параметрів і схемотехнічного застосування напівпровідникових діодів, біполярних та польових транзисторів, тиристорів, оптоелектронних приладів у дискретному та інтегральному варіантах.
Посібник призначений для студентів вищих навчальних закладів, які навчаються за напрямом «Електронні пристрої та системи». Може бути корисний аспірантам і науковим співробітникам.
УДК 621.382(075.8)
ББК 32.844.1
Борисенко О. А., Кобяков О. М., Новгородцев А. І., Кулик І. А., Онанченко Є. Л., Лопатченко Б. К., 2013
ISBN Сумський державний університет, 2013
Посібник написаний на основі досвіду викладання дисципліни «Твердотільна електроніка» для студентів спеціальностей «Електронні системи», «Електронні прилади і пристрої», «Фізична та біомедична електроніка».
Детальний і ґрунтовний розгляд фізичних процесів у дискретних та інтегральних елементах електронної техніки і принципів їх описання сприяє розвитку у студентів уміння вибирати ці елементи й режим їх роботи, грамотно експлуатувати електронну техніку. Ця навчальна дисципліна є базою для вивчення аналогової схемотехніки, цифрової схемотехніки, електронних систем, мікросхемотехніки, енергетичної електроніки та цілого ряду інших предметів, причому вона забезпечує всебічне засвоєння першого рівня підготовки фахівця з електроніки у рамках циклу «прилади-пристрої-системи».
Навчальний посібник складається із семи розділів. Перший розділ присвячений елементам фізики напівпровідників та електронно-діркових переходів, другий – будові, характеристикам і параметрам напівпровідникових діодів, третій – будові, принципу дії, характеристикам та параметрам біполярних транзисторів. Четвертий розділ містить виклад теорії і характеристик польових напівпровідникових приладів, у п'ятому розділі розглядаються тиристори та сучасні потужні напівпровідникові уніполярно-біполярні комутатори, шостий - ознайомлює слухачів з основами оптоелектроніки. І, нарешті, у сьомому розділі послідовно і ґрунтовно розглядаються основи мікроелектроніки, яка була і є вчора, сьогодні і завтра твердотілої електроніки.
Навчальний посібник ураховує переважну більшість здобутків сучасної електроніки і призначений насамперед для студентів та аспірантів відповідних спеціальностей, а також для усіх бажаючих самостійно опанувати таємниці захоплюючого світу електроніки.
Напівпровідники
(НП) – це речовини, що за своїми
електричними властивостями займають
проміжне місце між провідниками та
діелектриками. Питома електропровідність
напівпровідників змінюється в межах
См/м,
тоді як у металах вона дорівнює
См/м,
а у діелектриках не перевищує
См/м.
Основна
властивість, що відрізняє напівпровідники
від інших матеріалів у електричному
відношенні, – це суттєва залежність
питомої електропровідності
від температури, концентрації домішок,
світлового та іонізуючого випромінювань.
У провідників електрони на зовнішніх оболонках атомів кристалічної ґратки (валентні електрони) слабо зв’язані з ядрами, і вони внаслідок щільного перекриття зовнішніх оболонок сусідніх атомів мають змогу вільно переходити від одного атома до іншого. Це зумовлює високу електропровідність провідників. У напівпровідниках, на відміну від провідників, валентні електрони беруть участь у ковалентному зв’язку між сусідніми атомами ґратки, який здійснюється парою електронів (рис. 1.1). Кількість ковалентних зв’язків атома із сусідніми атомами дорівнює валентності.
Чистими (бездомішковими) напівпровідниками є чотиривалентні германій Ge та кремній Si, елементи 4-ї групи періодичної таблиці. Тому кількість ковалентних пар електронів у атомах цих речовин – 4, як це показано на рисунку 1.1 для германію.
Енергетична
діаграма бездомішкового НП показана
на рисунку 1.2 для випадку
.
Вона ілюструє той факт, що в ході
утворення кристалічної ґратки між
атомами виникає сильна взаємодія, яка
приводить до розщеплення енергетичних
рівнів електронів у атомі. Кожній орбіті
відповідає своє дискретне значення
енергії електрона. Сукупність енергетичних
рівнів, що виникають під час зближення
атомів, називають енергетичною зоною.
Кожна зона містить у собі
підрівнів (
– кількість взаємодіючих атомів у
одиниці об’єму). На рисунку 1.2 такі зони
(дозволені зони) мають назву: ВЗ –
валентна зона – це зона, в якій при
всі енергетичні рівні заповнені; ЗП –
зона провідності – зона, в якій при
електрони відсутні. Дозволені зони
відокремлені одна від одної забороненою
зоною (ЗЗ) – зоною, що утворена
енергетичними рівнями, які не можуть
бути заповнені електронами атомів
даної речовини.
|
Рисунок 1.1 – Схема кристалічної ґратки з ковалентними зв’язками при абсолютній температурі Т=0 |
Рисунок 1.2 – Енергетична діаграма бездомішкового напівпровідника при Т=0 |
Ширина
ЗЗ – це важливий параметр, що визначає
електричні властивості твердого тіла.
У металів ширина ЗЗ
,
у напівпровідників –
,
у діелектриків –
.
Отже,
при абсолютній температурі
в бездомішковому НП усі без винятку
електрони беруть участь у ковалентних
зв’язках між атомами, вільні носії
заряду відсутні (ЗП не заповнена).
При
збільшенні температури (
)
деякі валентні електрони отримують
енергію, якої вистачає, щоб розірвати
ковалентний зв’язок (рис. 1.3 а).
Внаслідок цього у міжатомному зв’язку
виникає одиничний заряд – дірка. На
енергетичній діаграмі НП це явище
супроводжується виникненням вільного
енергетичного рівня (рис. 1.3 б).

Рисунок 1.3 – Механізм власної провідності НП:
а – кристалічна ґратки при Т>0; б – енергетична діаграма
На місце утвореного розриву ковалентного зв’язку (вільний рівень у ВЗ) може перейти електрон із сусідньої ковалентної пари, і тоді відбудеться “заповнення” місця попереднього розриву й утворення дірки у новому місці. Це рівносильне переміщенню дірки. Таким чином, у чистому бездомішковому НП утворюються вільні носії заряду – електрони і дірки, тобто відбувається генерація вільних носіїв.
Крім
збільшення температури, причиною
генерації носіїв може бути освітлення
напівпровідника. Генерація супроводжується
зворотним процесом – рекомбінацією.
Рекомбінація – це відновлення
ковалентного зв’язку, утворення при
зіткненні пари електрон-дірка нейтрального
атома. На енергетичній діаграмі процес
рекомбінації відповідає поверненню
електрона із ЗП назад до ВЗ. При
встановленні теплової рівноваги процеси
генерації та рекомбінації компенсують
один одного, і при даній температурі у
НП утворюється певна концентрація
вільних електронів
(
заповнених
рівнів у ЗП) і вільних дірок
(стільки ж незаповнених рівнів у ВЗ).
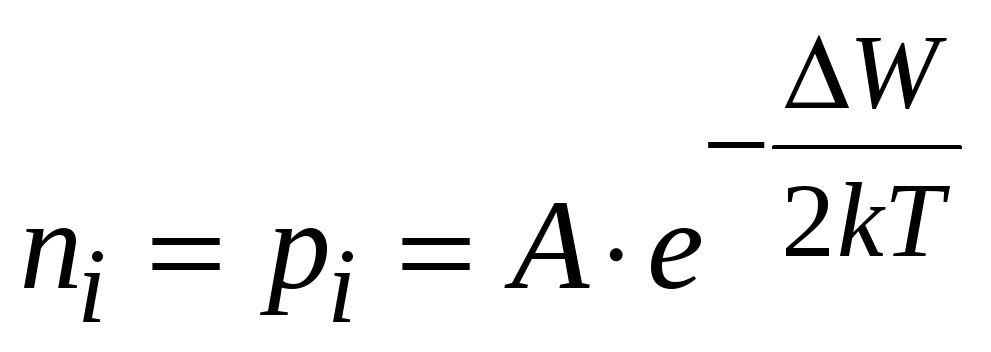
Ці концентрації можна визначити за
формулою
, (1.1)
де W – ширина забороненої зони (тобто енергія, яку треба віддати валентному електрону, щоб він став вільним носієм заряду);
k =1,38·10-23Дж/К – стала Больцмана;
А – коефіцієнт пропорційності, що залежить від матеріалу напівпровідника (А=5·1019см-3 – для германію; А=2·1020см-3 – для кремнію).
Індекс
у позначеннях власних концентрацій
носіїв
та
походить від англійського слова
intrinsic
–
притаманний.
Із
формули (1.1) випливає, що концентрація
носіїв заряду, а отже, і власна
електропровідність напівпровідника
будуть тим більші, чим більша температура
і чим вужча заборонена зона. Для найбільш
поширених напівпровід-ників
ширина ЗЗ дорівнює: для германію
еВ;
для кремнію
еВ;
для арсеніду галію (GaAs)
еВ.