середня
швидкість електронів.
Густина діркового струму за аналогією
. (1.8)
Загальна густина струму через НП під дією електричного поля
. (1.9)
Враховуючи вираз (1.7), одержуємо
– (1.10)
закон Ома у диференціальній формі.
–
загальна питома провідність напівпровідника.
У
донорному НП
,
отже, загальна питома провідність
цілком визначена електронною провідністю
.
В
акцепторному НП
,
і, отже,
.
Незважаючи
на те, що з підвищенням температури
рухомість носіїв
зменшується, зростання концентрації
вільних носіїв унаслідок розриву
ковалентних зв’язків відбувається
швидше, і це приводить до зростання
електропровідності НП.
Причиною
дифузійного струму у НП є нерівномірний
розподіл концентрації носіїв уздовж
кристала. Якщо
і
,
тобто концентрації носіїв є функціями
координати х,
то носії рухатимуться з області, де
концентрація носіїв вища, до області,
де концентрація їх нижча.
Густина дифузійного струму у НП:
- для електронної складової
, (1.11)
- для діркової складової
, (1.11)
де
,
– градієнти концентрації відповідно
електронів та дірок;
,
– коефіцієнти дифузій відповідно
електронів та дірок.
Градієнт концентрації носіїв уздовж осі х показує ступінь нерівномірності розподілу носіїв у цьому напрямі.
1.2.1 P-n переходи та способи їх виготовлення
Електронно-дірковий
перехід представляє більш широкий клас
електронних переходів. Електричний
перехід у напівпровіднику – це тонкий
граничний шар між областями єдиного
монокристала з різними фізичними
характеристиками. Переходи створюються
між областями напівпровідника з різними
типами провідності (
переходи або електронно-діркові
переходи), між областями напівпровідника
з електропровідністю одного типу, але
з різною концентрацією домішок (
-
та
-
переходи), між областями легованого та
чистого напівпровідників (p-i переходи),
між областями напівпровідника з різною
шириною забороненої зони (гетеропереходи),
між напівпровідником і металом тощо.
Електричні переходи створюються різними способами. Найбільш поширеними серед них є точково-контактний, сплавний, мікросплавний, дифузійний, дифузійно-сплавний, епітаксіальний способи.
Точково-контактний спосіб полягає у формуванні контакту металевої голки з поверхнею НП з подальшим сплавленням за допомогою пропускання через них коротких імпульсів струму (рис. 1.8 а).
Спосіб сплавлення здійснюється за допомогою вплавлення домішок у пластинку чистого НП, після чого матеріал домішок обпалюється. Переходи, що виготовляють цим способом, мають відносно велику площу контакту, велику ємність, а тому здатні пропускати великі струми і можуть застосовуватися в потужних напівпровідникових приладах (рис. 1.8 б).

а) б) в)
Рисунок 1.8 – Способи виготовлення р-n – переходів:
а – точково-контактний; б – сплавний; в-мікросплавний
Мікросплавний спосіб зумовлює створення переходу навколо контакту металевої голки з плоским кінцем з поверхнею НП. У цьому випадку площа переходу в 2-3 рази більша, ніж площа точково-контактних переходів, але у сотні разів менша за площу сплавних переходів. Ємність мікросплавних переходів невелика, допустимий прямий струм через перехід у кілька разів перевищує струм точкових переходів (рис. 1.8 в).
Дифузійний спосіб полягає у введенні в НП домішок завдяки їх дифузії з газового або рідинного середовища при температурі, що приблизно дорівнює температурі плавлення НП. Дифузія здійснюється вздовж усієї поверхні напівпровідникової пластини або на певних її ділянках через спеціальні маски.
Дифузійно-сплавний спосіб є комбінацією сплавного та дифузійного способів. Спочатку здійснюється вплавлення домішок, а потім їх дифузія, яка забезпечує створення потрібного градієнта концентрації носіїв заряду.
Епітаксіальний спосіб створення переходів полягає в нарощуванні монокристалічного шару НП з розплаву на напівпровідникову пластину, яка має таку саму кристалічну будову, як і нарощуваний шар.
Розрізняють
несиметричні
переходи
- між напівпровідниками з концентраціями
основних носіїв заряду (концентраціями
домішок), що відрізняються між собою в
10
- 10
разів (
або
),
і симетричні – між напівпровідниками
з приблизно однаковими концентраціями
основних носіїв (
).
Частіше на практиці застосовуються
несиметричні
–
переходи.
Розрізняють
також різкі та плавні
– переходи.
Різким називають перехід, уздовж якого
концентрація носіїв змінюється на
відстані, меншій за дифузійну довжину
цих носіїв.
Дифузійна довжина дірок
. (1.12)
Дифузійна довжина електронів
. (1.12)
У
формулах (1.12) та (1.12)
,
коефіцієнти дифузій відповідно
дірок та електронів;
,
середні тривалості життя носіїв. Інакше
кажучи, дифузійною довжиною носіїв
можна вважати відстань, яку вони
проходять за час, що дорівнює середній
тривалості їх життя.
Плавним називають перехід, уздовж якого концентрація носіїв (або домішок) змінюється на відстані, що перевищує дифузійну довжину.
Надалі розглядатимемо різкий перехід, оскільки саме він має односторонню провідність.
1.2.2 P - n перехід за відсутності зовнішньої напруги
Нехай
зовнішня напруга на різкому переході
(рис. 1.9).
Оскільки
або
,
як це випливає з визначення напівпровідників
р-
та
n- типу,
то різниця концентрацій носіїв
однойменних зарядів викликає дифузію
дірок з р-області
до n-області,
а електронів – з n-області
до р-області.
Густину загального дифузійного струму
через перехід визначають за формулою
. (1.13)
У
приконтактному шарі напівпровідника
р-типу
внаслідок залишення його дірками
створюється нескомпенсований заряд
негативних іонів акцепторних домішок.
У приконтактному шарі напівпровідника
n-типу
створюється нескомпенсований заряд
позитивних іонів донорних домішок
(рис. 1.9 а). Ці заряди є нерухомими,
концентрація рухомих вільних носіїв
біля контакту зменшується, отже, опір
переходу зростає, внаслідок чого
перехід
ще називають областю об’ємного заряду,
або запірним шаром.

Рисунок
1.9 –
перехід у рівноважному стані
Накопичення
об’ємних нерухомих зарядів у
переході
приводить до виникнення в ньому
дифузійного електричного поля
(рис. 1.9 а), яке має напрям, протилежний
напряму дифузійного пересування дірок
з р-області
до n-області.
За межами області об’ємного заряду
напівпровідникові області р-
та n-
типів залишаються електрично нейтральними.
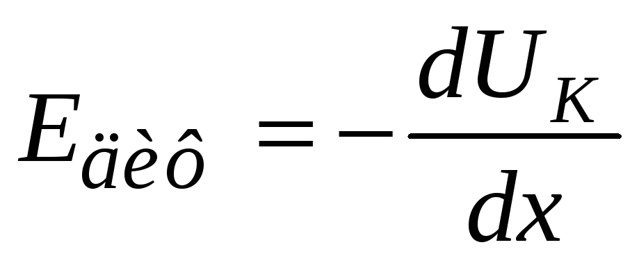
Електричне
поле
,
як це видно з рисунка 1.9, гальмує рух
основних носіїв через
перехід,
але викликає рух через нього неосновних
носіїв (дірок з n-області,
електронів з р-області).
Інакше кажучи, дифузійне поле переходу
приводить до виникнення дрейфового
струму неосновних носіїв, протилежного
дифузійному струмові основних носіїв.
Явище виведення носіїв заряду з області,
де вони є неосновними, через
перехід
під дією прискорюючого електричного
поля називають екстракцією.
З
появою дифузійного поля переходу
між n
-
та р-областями
виникає різниця потенціалів, яку
називають контактною. Враховуючи, що
, (1.14)
де
– контактна різниця потенціалів.
Використовуючи формулу (1.10), визначимо загальну густину дрейфового струму через межу поділу р- та n-областей:
. (1.15)
У
стані теплової рівноваги при
(відсутності зовнішнього електричного
поля або зовнішньої напруги) чим більша
кількість основних носіїв залишатиме
власні області, тим більша кількість
неосновних носіїв буде екстрагувати
через перехід під дією дифузійного
поля до областей, де вони стають
основними.
Отже,
у відповідних областях системи двох
напівпровідників створюватимуться
постійні рівноважні концентрації:
дірок
та електронів
у р-області,
електронів
та дірок
у n-області.
Дифузійний та дрейфовий струми в
означеному режимі завжди компенсуватимуть
один одного, тобто
. (1.16)
Це
означає, що при зовнішній напрузі
струм через
перехід
не протікає.
У момент установлення режиму рівноваги контактна різниця потенціалів може бути обчислена за однією з нижче наведених формул:
, (1.17)
, (1.17)
де
- температурний потенціал. При кімнатній
температурі (
)
В.
На
енергетичній діаграмі (рис. 1.9 в)
вищезгадані процеси інтерпретуються
таким чином. Оскільки потенціальна
енергія електрона і потенціал зв’язані
співвідношенням
,
то утворення нескомпенсованих об’ємних
зарядів викликає опускання енергетичних
рівнів n-області
і підіймання енергетичних рівнів
р-області.
Зміщення енергетичних діаграм
областей закінчується, коли рівні Фермі
та
збігаються. При цьому на межі поділу
рівні Фермі областей проходять через
середину забороненої зони, тобто у т.
.
Як відомо, ця обставина характерна
для НП з власною електропровідністю,
опір яких порівняно з домішковими НП
більший. Отже, опір на межі між двома
НП, як і опір усього збідненого на носії
заряду шару
переходу,
зростає порівняно з опорами нейтральних
областей р-
та n-
кристалів.
Утворення
потенціального бар’єра
у переході внаслідок зміщення енергетичних
діаграм областей на величину
обмежує дифузійне переміщення основних
носіїв.
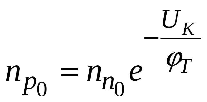
Рівняння (1.17) та (1.17) дозволяють визначити рівноважні концентрації неосновних носіїв р- та n-областей:
,
. (1.18)
1.2.3 P-n перехід під дією зовнішньої напруги
Під
дією зовнішньої напруги на різкий
перехід
через нього проходить струм, величина
якого залежить від полярності підключення
зовнішнього джерела напруги. Якщо плюс
джерела підключено до р-
області, а мінус
до n -
області, то таке включення називають
прямим. У протилежному разі йдеться
про зворотне включення
переходу.