Вважатимемо,
що до невипрямних контактів a
і b
прикладено
пряму напругу
(рис. 1.10). Оскільки опір р-n переходу
значно перевищує опори нейтральних
областей, то зовнішня напруга повністю
спадає на цьому переході. Результуюча
напруга у
переході
зменшується, оскільки зовнішнє
електричне поле
має напрям, протилежний напряму
(рис. 1.10 а):
.
Унаслідок
цього зменшується потенціальний бар’єр
переходу до значення
(рис. 1.10 в, г), зменшується також
гальмівна дія поля переходу на дифузійний
рух основних носіїв, що приводить до
зростання дифузійного струму через
перехід. Дрейфовий струм при цьому не
зазнає зміни, бо його величина, як це
видно з формули (1.15), залежить від
концентрації неосновних носіїв у
нейтральних областях р-
та n-кристалів.
Ці концентрації, у свою чергу, залежать
виключно від концентрації домішок у
НП та від температури. Тому зменшення
поля
переходу,
яке є прискорюючим для неосновних
носіїв, приводить до зниження швидкості
дрейфу цих носіїв, а їх концентрація
залишається незмінною. Отже, умова
термодинамічної рівноваги (1.16)
порушується:
,
тобто виникає результуючий прямий
струм через перехід. Величина цього
струму визначається дифузійною складовою
.
Це струм основних носіїв. Унаслідок
переважання дифузії над екстракцією
біля меж
переходу
відбувається накопичення неосновних
носіїв, концентрація яких зростає до
величин
і
(рис.
1.10 б):
, (1.19)
, (1.20)
де
- контактна різниця потенціалів;
-
прикладена пряма напруга;
і
- концентрації неосновних нерівноважних
носіїв біля меж переходу.
Явище підвищення концентрації неосновних носіїв у р- та n-областях під дією зовнішньої прямої напруги називається інжекцією. Область, з якої інжектують носії, є емітером, а область, в якій інжекція здійснюється, називається базою. Унаслідок рекомбінації неосновних носіїв у р- та n-областях створюються градієнти їх концентрації (рис. 1.10 б).

Рисунок 1.10 – Пряме включення р-nпереходу
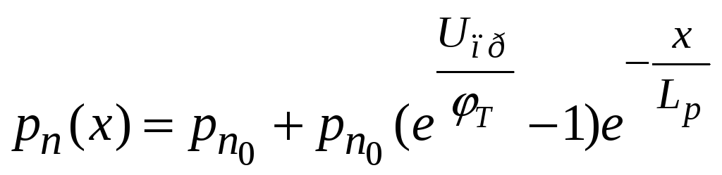
Концентрації неосновних нерівноважних носіїв змінюються, отже, вздовж координати х за законами
, (1.21)
. (1.22)
З
формул (1.21) і (1.22) можна одержати вирази
для
та
(1.19), (1.20) на межі між р-
та
n-
напівпровідниками
.
Інжекція
кількісно оцінюється рівнем інжекції
,
який визначається відношенням приросту
концентрації інжектованих носіїв
до рівноважної концентрації основних
носіїв:
.
При
<<1
рівень інжекції вважається низьким.
При середньому (
=1)
та високому (
>>1)
рівнях інжекції значна частина основних
носіїв з метою компенсації зарядів
інжектованих неосновних носіїв залишає
нейтральні області НП і підходить до
меж
переходу.
Внаслідок цього в цих областях виникає
створене іонами домішкових атомів
електричне поле. При низьких рівнях
інжекції, властивих малопотужним
напівпровідниковим приладам, які
розглядаються нижче, це явище майже
відсутнє.
Під дією градієнта концентрації неосновні нерівноважні носії дифундують углиб НП, порушуючи електронейтральність кристала. Відновлення нейтрального стану НП відбувається за рахунок надходження носіїв від зовнішнього джерела напруги. Це є причиною протікання струму в зовнішньому колі.
При
прикладенні до
переходу
зворотної напруги
(рис. 1.11) створюється електричне поле
,
яке збільшує результуюче поле переходу:
.
Потенціальний
бар’єр переходу збільшується до
величини
(рис. 1.11 в, г). Це приводить до
зменшення дифузійного струму через
перехід при незмінному дрейфовому.
Термодинамічна рівновага в цьому
випадку порушується на користь дрейфової
складової:
.
Тому
через перехід і в зовнішньому колі буде
протікати малий (порівняно з прямим
струмом) струм неосновних носіїв.
Оскільки процеси екстракції в цьому
режимі, викликаючи дрейф неосновних
носіїв, переважають над процесами
дифузії, то біля меж
переходу
відбувається зниження концентрації
неосновних носіїв до певних значень
та
(рис. 1.11 б). Ця концентрація збільшується
в міру віддалення від переходу згідно
із законами:
,
(1.23)
. (1.24)

Рисунок 1.11 – Зворотне включення р-nпереходу
p-nпереходу
Вольт-амперна
характеристика (ВАХ)
переходу
– це залежність струму в зовнішньому
колі переходу від величини і полярності
напруги, що прикладена до останнього.
Цю залежність одержують експериментально
або будують за рівнянням ВАХ.
Одержимо
рівняння ВАХ
переходу.
При прямому включенні переходу через
нього тече прямий дифузійний струм.
Густину цього струму можна знайти,
підставивши вирази для концентрацій
(1.21)
і
(1.22) у загальні вирази (1.11)
та (1.11). Діркова та електронна складові
густин дифузійного прямого струму
мають вигляд:
, (1.25)
. (1.26)
Густина
повного прямого струму через
перехід
(при
)
дорівнює
. (1.27)
При
зворотному включенні переходу струм
неосновних носіїв також можна розглядати
як наслідок градієнта концентрації
неосновних носіїв, що створюється
екстракцією (рис. 1.11 б). Тоді при
підстановці величин
(1.23)
і
(1.24) в загальні вирази (1.11)
і (1.11) можна одержати вираз для густини
зворотного струму
. (1.28)
Об’єднавши
вирази (1.27) та (1.28), одержимо загальний
вираз для густини струму через
перехід
, (1.29)
де
– прикладена до переходу напруга;
густина
струму насичення.
Якщо П – площа переходу, то шукане рівняння теоретичної ВАХ має вигляд
.
(1.30)
У
цьому рівнянні
при прямому включенні
переходу,
– при зворотному,
–
струм насичення.
Теоретична
ВАХ переходу за формулою (1.30) подана на
рис. 1.12. При збільшенні зворотної
напруги
струм через перехід прямує до граничного
значення
,
якого досягне при
В.
Вважаючи, що всі атоми домішок іонізовані,
,
і
,
,
а також враховуючи формулу (1.1), одержимо для струму насичення
. (1.31)

Рисунок 1.12 – Теоретична ВАХ p-nпереходу
З
формули (1.31) видно, що чим більші ширина
ЗЗ
і концентрація домішок донорів і
акцепторів, тим менший струм насичення.
Цей струм із зростанням температури
зростає.