, (1.41)
де
-
товщина
запірного шару.
З
формули (1.41) випливає, що відносна роль
генераційної складової зворотного
струму зі зменшенням власної концентрації
електронів
,
тобто
зі збільшенням ширини забороненої
зони, а також при зростанні концентрації
домішок
.
Наприклад,
при однакових значеннях
і
для германію
і
,
а
для кремнію
і
.
Отже,
якщо в германієвих
переходах
струмом генерації можна знехтувати,
то в кремнієвих він є основною складовою
зворотного струму. Тому на ВАХ кремнієвих
переходів немає ділянки насичення, яка
формується за рахунок струму
.
Струм
,
до того ж, зростає при збільшенні
,
тому
що товщина
переходу,
а отже, і опір переходу пропорційні до
величини
(див.
(1.32)).
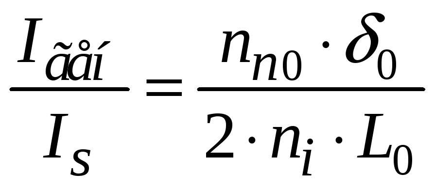
Складовою
зворотного струму є також незначний
струм поверхневого витоку
,
який викликається неідеальною обробкою
поверхні напівпровідника біля
переходу.
Таким
чином, зворотний струм
переходу
дорівнює
, (1.42)
де
– струм
насичення,
зростає при збільшенні зворотної
напруги (рис. 1.18). У цьому полягає
відмінність зворотної гілки реальної
ВАХ від теоретичної, на якій
.
При
деяких досить великих
на зворотній гілці реальної ВАХ
з’являється ділянка пробою
переходу.
Явище пробою полягає в різкому зростанні
зворотного струму. Існує 4 різновиди
пробою: лавинний, тунельний, тепловий
та поверхневий.
При
лавинному пробої (рис. 1.18, крива 1)
відбувається ударна іонізація нейтральних
атомів збідненого шару НП неосновними
носіями заряду, що розвивають під час
вільного пробігу достатню кінетичну
енергію. Іонізація приводить до лавинного
помноження вільних носіїв і до зростання
.
Оскільки умовою лавинного пробою є те,
що довжина вільного пробігу електрона
має бути значно меншою від товщини
переходу
(
),
то такі пробої найбільш імовірні для
широких переходів, коли НП леговано
невеликою кількістю домішок.
Тунельний
пробій (рис. 1.18, крива 1) виникає у
вузьких
переходах
(при великих концентраціях домішок у
НП), коли напруга зовнішнього електричного
поля в кремнію досягає 10 В/см, а в
германію
В/см.
Під дією сильного поля валентні
електрони вириваються з ковалентних
зв’язків, створюються пари “електрон-дірка”,
зростає
.
Для дуже вузьких переходів величини
напруг пробою можуть бути невеликими.
Тепловий
пробій (рис. 1.18, крива 2) спричиняється
явищем самоперегрівання НП. Воно полягає
у тому, що збільшення
приводить до зростання температури в
переході; це, у свою чергу, зумовлює
додаткову термогенерацію носіїв,
зростає струм і, нарешті, перехід
перегрівається, кристалічна ґратка
руйнується. Тому пробій такого виду є
незворотним і стає можливим при порушенні
режиму охолодження. Ділянка АВ
з негативним диференціальним опором
зумовлена тим, що збільшення кількості
носіїв заряду приводить до зменшення
опору
переходу
і падіння напруги на ньому.
Поверхневий
пробій може виникнути в місцях виходу
переходу
на поверхню НП, в яких створюється
додатковий електричний поверхневий
заряд, що значно спотворює картину поля
в переході. Якщо товщина переходу біля
поверхні менша від товщини переходу в
глибині НП, то поверхневий пробій
відбувається при менших напругах, ніж
звичайно. Цю особливість необхідно
враховувати при виборі захисних
покриттів напівпровідникових приладів.
Крім
переходів,
у напівпровідникових приладах
використовують й інші переходи та
контакти. Розглянемо деякі з них.
Гетероперехід
створюється двома НП, які відрізняються
шириною забороненої зони. До таких
переходів належать переходи германій
– арсенід галію, арсенід галію –
миш’якоподібний індій, германій –
кремній. Розрізняють
та
гетеропереходи
(на першому місці ставиться буква, що
означає тип електропровідності НП з
більш вузькою ЗЗ).
Енергетична
діаграма
гетеропереходу
германій n-типу
(
)
- арсенід галію р-типу
(
)
наведена на рисунку 1.19.

Рисунок 1.19 – Енергетична діаграма n-ргетеропереходу
в стані рівноваги (а) і при прямому включенні (б)
За
відсутності зовнішньої напруги (
)
і з’єднанні напівпровідників відбувається
перерозподіл носіїв заряду, внаслідок
чого вирівнюються рівні Фермі р-
та n-областей
і виникають потенціальні бар’єри: для
електронів n-області
–
,
для дірок р-області
–
,
причому
(рис. 1.7 а). Оскільки бар’єри для
електронів і дірок відрізняються, то
під дією зовнішньої прямої напруги
гетероперехід забезпечує односторонню
ефективну інжекцію дірок із матеріалу,
що має більшу ширину ЗЗ (рис. 1.19 б).
Ця особливість називається явищем
надінжекції і робить гетероперехід
ефективним інжектором.
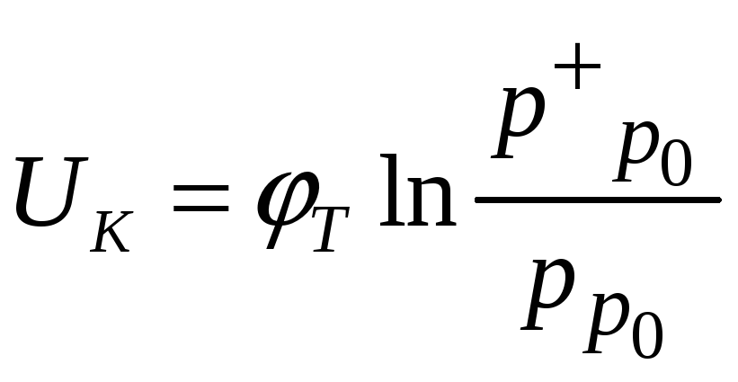
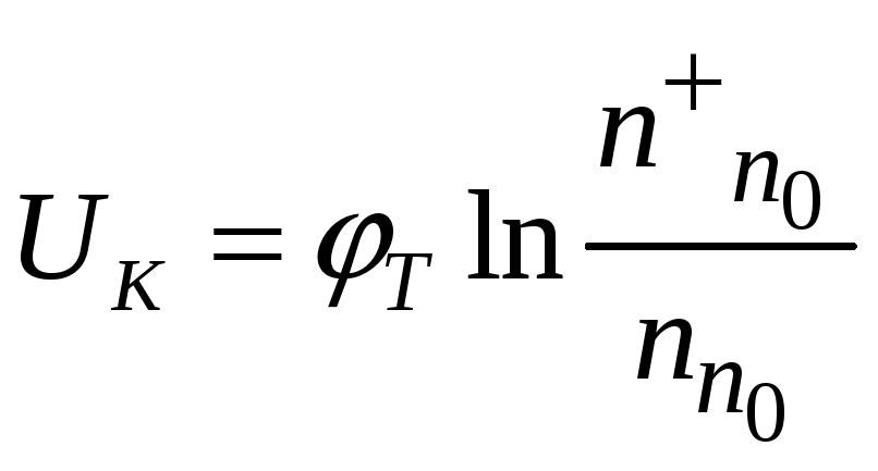
1.3.2 P+- p та n+- n переходи
-
переходи
(
-
переходи)
- це контакти двох НП одного типу
електропровідності, але з різною
концентрацією домішок. Знаком “+”
позначається НП з більшою концентрацією
акцепторів чи донорів.
У таких переходах носії з області більшої концентрації переходять до області з меншою концентрацією. Внаслідок цього в області з більшою концентрацією домішок створюється деяка кількість іонізованих атомів домішок, а з протилежного боку переходу зростає надлишок основних носіїв. Виникають дифузійне електричне поле і контактна різниця потенціалів:
для
-
переходу
,
для
-
переходу
.
Оскільки
в таких переходах не створюється шар
з малою концентрацією носіїв заряду й
опір переходів істотно не відрізняється
від опорів нейтральних областей,
залишаючись низькоомним, то такі
переходи не мають випрямних властивостей.
У
-
та
-
переходах
відсутня інжекція неосновних носіїв
заряду з низькоомної області до
високоомної. Якщо, наприклад, до
-
переходу
підключити джерело зовнішньої
напруги плюсом до
-області,
а мінусом – до
-області,
то з
-області
в
-область
будуть переходити електрони, які
залишаються основними носіями. При
зміні полярності зовнішньої напруги
з
-області
до
-області
повинні інжектувати дірки. Проте їх
концентрація настільки мала, що це
явище не відбувається. Невипрямні та
неінжектуючі переходи використовують
в омічних контактах напівпровідникових
приладів.
1.3.3 P- i та n - i переходи
Ці
переходи займають проміжне положення
між звичайними
переходами
та описаними в попередньому пункті
контактами. Створюються
-
та
-
переходи
між двома пластинами, одна з яких має
домішкову (електронну або діркову)
електропровідність, а інша – власну.
У
-
контактах
внаслідок різниці концентрацій носіїв
у областях відбувається інжекція дірок
з
-області
до
-області,
а електронів
з
-області
до
-області.
Внаслідок малої величини електронної
інжекційної складової потенціальний
бар’єр на межі переходу створюється
нерухомими негативними іонами акцепторів
-області,
надлишковими дірками
-області,
які дифундують до неї через перехід.
Оскільки
,
то запірний шар в
-області
значно товщий, ніж у
-області.