До
параметрів
переходу
належать його товщина та ємності.
Розглянемо
перехід
з товщиною
(рис. 1.13). Ця величина складається з
товщини переходу в р-області
та товщини переходу в n-області
і визначається за формулою
,
(1.32)
де
Ф/м
- електрична стала;
-
відносна електрична проникність (
для кремнію,
для германію);
-
контактна різниця потенціалів;
-
прикладена зовнішня напруга.

Рисунок
1.13 – P-n
перехід при
![]()
З формули (1.32) випливає, що товщина переходу залежить від ступеня легування областей НП (від концентрацій домішок) і від прикладеної напруги.
Чим
вища концентрація домішок областей
і
,
тим вужчий перехід. Для величин
та
існує закономірність
, (1.33)
тобто
товщини
переходу
в області р
і області n
обернено пропорційні концентраціям
домішок цих областей. Якщо
>>
,
тоді з (1.32) маємо
. (1.34)
Аналогічно
при
<<
![]()
. (1.35)
З
формули (1.32) випливає, що збільшення
прямої зовнішньої напруги
на переході
приводить до зменшення його товщини.
Фізично це зумовлено тим, що при прямому
включенні основні носії заряду змушені
рухатися в напрямку від невипрямних
контактів до збідненого шару переходу,
збагачуючи його. Опір переходу
зменшується, сам перехід звужується
(рис. 1.14 а).
![]()
а) б)
Рисунок
1.14 – Вплив напруги
на
товщину переходу
Збільшення
зворотної напруги на переході
приводить до збільшення його товщини.
У цьому випадку основні носії заряду
зміщуються в різні сторони від
переходу,
і збіднений шар ще більше збіднюється
на рухомі носії, його опір збільшується,
а перехід розширюється (рис. 1.14 б).
Залежно від фізичної природи заряду, що змінюється в переході, розрізняють бар’єрну та дифузійну ємності.
Бар’єрна
(зарядова) ємність визначається зміною
нескомпенсованого заряду іонів при
зміні товщини запірного шару під дією
зовнішньої напруги. Ідеальний
перехід
нагадує плоский конденсатор, пластинами
якого є нейтральні низькоомні області
НП. Отже, при використанні формули
(1.32) бар’єрна ємність дорівнює
. (1.36)
З
(1.36) випливає, що бар’єрна ємність
збільшується при зростанні
і
,
а також при зростанні прямої напруги.
При зростанні зворотної напруги бар’єрна
ємність зменшується. Характер залежності
показано на рисунку 1.15.

Рисунок 1.15 – Вольт-фарадна характеристика р-nпереходу
Дифузійна ємність зумовлена здебільшого процесами інжекції. Зміну заряду неосновних носіїв відносно рівноважного рівня біля переходу при зміні прямої напруги можна розглядати як прояв деякої ємності:
, (1.37)
де
- величина інжектованого заряду.
Величина цієї ємності може бути розрахована за формулою
. (1.38)
Як
правило, при прямому ввімкненні
переходу
враховується лише дифузійна ємність,
тому що бар’єрна ємність становить
одиниці пікофарад, а дифузійна – десятки
нанофарад.
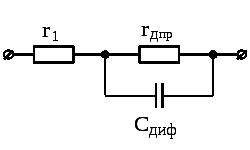
Ємності
переходу враховуються при складанні
його еквівалентної схеми (рис. 1.16). На
схемі
-
розподілений опір р-
та
n-областей;
-
поверхневий опір (для струмів поверхневого
витоку);
-
диференціальний опір переходу.

Рисунок 1.16 – Еквівалентна схема р-n переходу
Для
кімнатної температури (
)
справедлива формула Шоклі
, (1.39)
де
подають у міліамперах.
При
прямому вмиканні
переходу
,
тому еквівалентна схема набирає вигляду
рис. 1.17 а. При зворотному
,
і спрощена еквівалентна схема переходу
має вигляд рис. 1.17 б.

а) б)
Рисунок 1.17 – Еквівалентна схема р-n переходу:
а) при прямому вмиканні; б) при зворотному вмиканні
Під
час розгляду теоретичної ВАХ
переходу
не враховувалися термогенерація носіїв
у запірному шарі, поверхневі струми
витоку, падіння напруги на опорах
нейтральних областей НП, а також явище
пробою при певних зворотних напругах.
Тому реальна ВАХ переходу істотно
відрізняється від теоретичної (рис.
1.18).

Рисунок 1.18 - Різниця між реальною та
теоретичною ВАХ p-n переходу
При
малих прямих струмах реальна і теоретична
ВАХ збігаються. При збільшенні
внаслідок падіння напруги на розподіленому
опорі
нейтральних p-
та n-
областей напруга на переході зменшується
порівняно із зовнішньою, прикладеною
до омічних контактів, напругою:
.
Отже, пряма гілка реальної ВАХ переходу проходить нижче від теоретичної (рис. 1.18):
, (1.40)
де
-
падіння напруги на розподіленому опорі
.
При
запірний шар практично зникає (див.
формулу (1.32)), і ВАХ при подальшому
збільшенні
має
лінійний характер, як на активному
опорі.
На
величину струму, шо протікає через
перехід,
включений у зворотному напрямі, впливає
явище генерації носіїв. При зовнішній
напрузі
між процесами генерації та рекомбінації
у переході встановлюється рівновага.
При
генеровані в переході дірки та електрони
виштовхуються з нього зростаючим полем
.
Це
приводить до виникнення додаткового
струму генерації
,
який
за напрямом збігається зі зворотним
струмом. При
,
і
справедливе відношення