Коефіцієнт
пропорційності
,
який установлює зв’язок між керованою
складовою
і струмом бази, називають статичним
коефіцієнтом передачі базового струму.
При значеннях
значення
становлять відповідно 19-99.
Переваги ССЕ:
високий
статичний коефіцієнт передачі вхідного
струму
- гарні підсилювальні властивості БТ
у схемі зі спільним емітером;
значно
більший вхідний опір ССЕ порівняно з
ССБ, оскільки при однакових вхідних
напругах
струм бази
значно менший, ніж струм емітера
(див.(3.14)).
Недоліком
схеми зі спільним емітером є те, що
некерована складова її колекторного
струму в
разів більша, ніж у ССБ, оскільки струм
як одна зі складових вхідного струму
підсилюється транзистором.
Схема зі спільним колектором
БТ
у схемі ввімкнення зі спільним колектором
показано на рисунку 3.9. Режим роботи
транзистора –
активний
режим, вхідна
напруга схеми
,
вихідна
,
вхідний струм
,
вихідний
.

Рисунок 3.9 – Струми БТ у схемі зі спільним колектором
За формулами (3.10) та (3.13) одержуємо
.
(3.21)
Позначаючи
, (3.22)
вираз (3.21) можна перетворити до вигляду
(3.23)
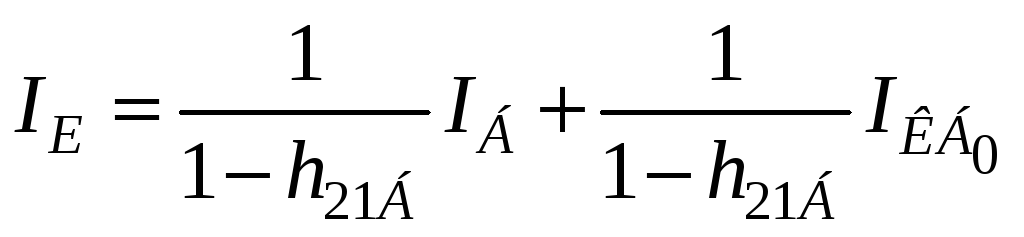
Отже,
вихідний струм ССК має керовану складову
і некеровану
.
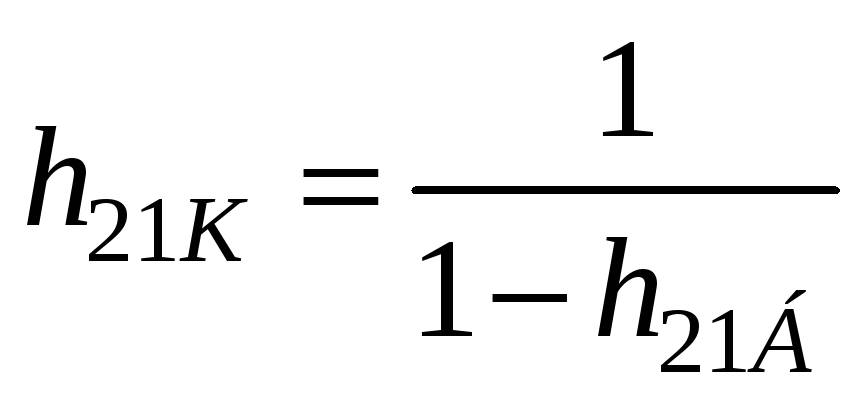
Параметр
називається статичним коефіцієнтом
передачі струму бази у схемі зі спільним
колектором. Порівнюючи вирази (3.19) та
(3.22), можна дійти висновку, що
.
Тому ССК також добре підсилює вхідний
струм.
Оскільки
в схемі (рис. 3.9)
(тому що
мала як напруга на прямо увімкненому
переході), а
(тому що
),
то ССК має таку важливу властивість:
великий вхідний і малий вихідний опори.
Ця обставина обумовлює використання
схеми зі спільним колектором при
побудові емітерних повторювачів.
Недолік
ССК той самий, що і в ССЕ: оскільки
як складова базового струму підсилюється
транзистором і
,
то схема має велику некеровану складову
вихідного струму.
З
метою аналізу властивостей БТ або
електронних схем з транзисторами
потрібно використовувати співвідношення,
які встановлюють зв'язок між струмами
БТ і напругами на його електродах. Ці
співвідношення можна одержати з моделі
транзистора (рис. 3.10), яка має назву
моделі Еберса-Молла. У цій моделі не
враховуються об’ємні (розподілені)
опори областей емітера, колектора та
бази, переходи зображені як діоди.
Джерело струму
описує явище керування колекторним
струмом за допомогою струму
.
Джерело
враховує можливість керування
транзистором в інверсному режимі.

Рисунок 3.10 – Модель Еберса - Молла БТ
Струми
та
-
це струми інжекції переходів, що
визначаються за формулами:
для
ЕП
,
(3.24)
для
КП
,
(3.25)
де
,
- струми насичення ЕП та КП (зворотні
струми переходів). Формула (3.24) одержана
для випадку короткого замикання
колектора з базою, формула (3.25) – для
випадку короткого замикання емітера
з базою.
Зі схеми моделі Еберса-Молла (рис. 3.10) випливає, що
, (3.26)
. (3.27)
Реальними
параметрами БТ є зворотні струми
та
,
а не струми
та
.
Тому потрібно виразити
через
,
а
через
.
При
і
,
,
і з (3.25) та (3.26) одержуємо
,
.
Отже, з (3.27) одержуємо
.
Звідси
. (3.28)
Аналогічно одержимо
. (3.29)
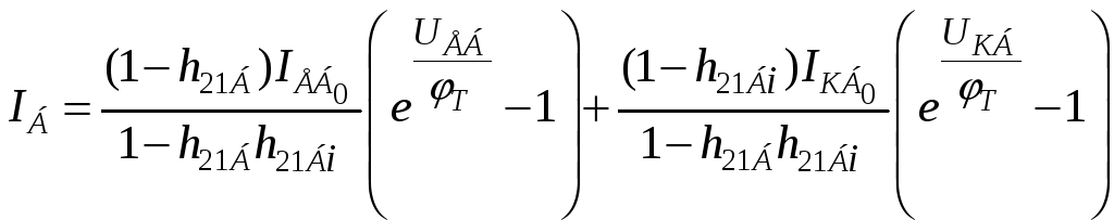
Тоді вирази (3.26), (3.27) з урахуванням формул (3.24), (3.25), (3.28) і (3.29) можна перетворити до вигляду:
, (3.30)
. (3.31)
Вирази
(3.30) та (3.31) називаються рівняннями
Еберса-Молла.
Оскільки
,
то
. (3.32)
Одержані рівняння Еберса-Молла описують нелінійну модель ідеалізованого транзистора. Вони застосовуються при комп’ютерному аналізі електронних схем.
Статичним режимом напівпровідникового приладу називають режим, у якому всі параметри (напруги, струми електродів) постійні. Статичні характеристики виражають залежність між струмом електрода і постійними напругами на електродах приладу.
При
аналізі БТ у статичному режимі важливо
встановити зв’язок між його струмами
і напругами. З цією метою БТ можна подати
як чотириполюсник, на вході якого діють
комплексні вхідні напруги
і струм
,
а на виході – комплексні
і
(рис. 3.11). Якщо чотириполюсник у загальному
випадку нелінійний, тобто вхідні напруги
і струм змінюються в широких межах, то
функціональна залежність
,
від
,
описується в формі статичних характеристик.

Рисунок 3.13 – БТ як чотириполюсник
Параметри
чотириполюсника, які також описують
зв’язок між вхідними та вихідними
величинами чотириполюсника в статичному
режимі, на відміну від характеристик
визначаються при малих змінах
та
,
і тому чотириполюсник у цьому разі
вважається лінійним, а параметри
називаються малосигнальними.
Характеристики і параметри БТ як чотириполюсника розподіляються між системами залежно від того, які напруги і струми беруться за аргументи, а які – за значення функцій. Найбільш поширеними є три системи характеристик і параметрів: Y-, Z- та Н- системи (таблиця 3.3).
Таблиця 3.3
|
Система |
Y |
Z |
H |
|
Аргумент |
|
|
|
|
Функція |
|
|
|
Оскільки найбільше прикладне значення має Н-система характеристик і параметрів (так звана гібридна система) і саме їй приділяється максимальна увага в інженерній практиці, в довідниках та іншій спеціальній літературі, то надалі розглядатимемо саме її, тобто вивчатимемо систему статичних гібридних характеристик і малосигнальних h-параметрів.