Материал: Hydrogeodynamics101

Внимание! Если размещение файла нарушает Ваши авторские права, то обязательно сообщите нам

= 0

dx* (3.1)

Область фильтрации заключена в интервале (0, L), на ее границах заданы условия

Я(0)=Я2; H(L) = Я1 . (3.2)

Уравнение (3.1) и граничные условия (3.2) дают ма­тематическую постановку задачи. Требуется найти функ­цию Н(х).

Порядок решения:

<d£

dx

1

произ­

так как

dx

Л dH ~ ~

T0~dx = р гДе Ci

вольная постоянная, '

|~2~| интегрируем уравнение с разделяющимися пере­менными dH = Cj dxvL получаем / dH = С, J dx\ H{x) = = C,x 4- C2 общее решение исходного дифференциально­го уравнения;

используем граничные условия (3.2) для опреде­

ления Cj и С2:

я2 — Cj "0 + С2

Н{ = Cj L + С2

откуда

Рис. 3.1. Схемы напорной (а) и безнапорной (б) фильтрации между двумя бассейнами

я, -я2

Щх) х+Н2, (3 3)

т.е. пьезометрическая кривая является в данной задаче пря­мой линией с уклоном (градиентом) /= (Н1 - Н2) / L\

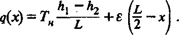
5 найдем удельный расход потока согласно закону Дарси и (3.3):

-Л 4K-U я. н2 тн1г 9 к dx L ~ L ’ (3.4)

т.е. расход потока во всех поперечных сечениях одинаков (не зависит от х).

Формулы (3.3) и (3.4) полностью решают задачу. Ими описывается также движение в слоистом напорном пласте при Т = 2 Tf, эти решения применимы и к расчет­ной схеме безнапорного двухслойного пласта (при отсут­ствии инфильтрации), когда вместо проводимости Т под­ставляется Т — проводимость нижнего пласта (см. раздел 2.5.2).

ВОПРОС. Можно ли было заранее, исходя из физических пред­посылок догадаться, что: 1) расход потока является постоянным; 2) пьезометрическая кривая окажется прямой линией?

ЗАДАЧА. Вкрест долины реки расположен створ из трех наблю­дательных скважин. Пользуясь формулой (3.4), выведите формулу для определения соотношения 22 3, ще Т{ 2 и Г- , — средние проводимости пласта на участках межд’у скважиками I’-z и 2-3.

  1. Задача о безнапорной фильтрации между двумя бассейнами (реками)

Считается, что водоупор горизонтален (см. рис. 3.1,6); имеет место инфильтрация с постоянной интенсив­ностью е.

Согласно (2.32), получаем исходное уравнение филь­трации в виде

d /, dh\ . е

dx (* dx) +k~°- (3.5)

s.

Граничные условия имеют вид

Л(0)=Л2; h(L)=hl.

Решение:

[Т] перепишем уравнение в виде интегрируем

1 d h е

dx~ кх 1

вновь разделяем переменные

£

h dh

-j^xdx + Cxdx\

интегрируем

  1. , p

  2. h fc'2 + C{ x +C2 общее решение; используем граничные условия и получаем

hi C2~Y;

С Eb 4

к 2 + 2L

Гб] находим искомое частное решение

h\x) — — ~х\

х + hi,

\~h2 e-L L + k~

2 ’ (3.7)

\ /

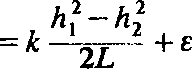
т.е. депрессионная кривая является параболой;

[~7~| находим удельный расход потока

2

/ 0 0 \ 2 £ eL

~~ТХ L ~к

\

т.е. расход меняется вдоль потока, причем максимальное его значение отмчается при х = 0 (на урезе левого бассей­на).

ВОПРОСЫ. Можно ли было заранее ожидать, что в этой задаче депрессионная поверхность не будет плоскостью? Почему расход вдоль потока изменяется? Дать физическое объяснение.

ЗЛДЛЧАВывести аналогичные формулы для безнапорного двухслойного пласта (см. рис. 2.16,в):

X + Л2 -

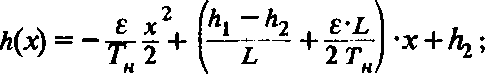
При отсутстви инфильтрации формулы (3.7) и (3.8) дают

(3.9)

(3.10)

Формула (3.10) известна как формула Дюпюи. Со­гласно ей расход вдоль потока не меняется.

ВОПРОС. Изменяется ли скорость вдоль потока?

Заметим, что формулы (3.9) и (3.10) можно было бы получить и без вывода — на основании формул (3.3) и

  1. для напорного пласта, путем подстановки (2.38а).

ЗАДАЧА. По данным замеров уровней в наблюдательной сква­жине, расположенной посередине между двумя бассейнами, извест-

на величина напора h(L/ 2). Найти формулу для определения сред-

£ тт

него по площади значения параметра ■£. Что можно сказать о надеж­ности такого метода определения этого параметра, имея в виду ре­альную плановую изменчивость величины Е и параметра к?

Сопоставлением найденных выражений (3.8) и (3.10) можно получить представление о роли инфильтрационного питания в общей величине расхода потока. Для этого с помощью формулы (3.7) пред­варительно следует найти параметр ^ по данным режимных наблю­дений (на период отсутствия заметных колебаний уровней в бассей­нах и в наблюдательных скважинах, т.е. для режима, близкого к стационарному). Показателем надежности такой оценки может слу­жить близость значений параметра ^ для различных наблюдатель­ных скважин, расположенных в пределах планово-однородного пла­ста.

  1. 0 Формуле Дюпюи и промежутке высачивания

Рассмотрим частный случай формулы (ЗЛО) при h2 = 0. Тогда h(x) = h2 V x/L и при х = 0, h = 0, т.е. поперечное

сечение фильтрационного потока равно нулю, а скорость фильтрации неограниченно растет — результат, физиче­ски явно абсурдный.

Не лучше дело обстоит и при более внимательном рассмотрении общего случая h2 Ф 0. На рис. 3.2 изображе­на линия равных напоров, выходящая из крайней точки А депрессионной кривой. Так как последняя, при отсутст­вии инфильтрации, является линией тока (см. раздел 2.4), то выбранная линия равных напоров АВ перпендикулярна к ней. Кроме того, эта линия должна пересекаться с водо- упором (линией тока) также под прямым углом. На рис.

з.2 отражен примерный характер линии АВ. В то же время через точку А проходит еще одна линия равных напоров — вдоль стенки бассейна ОА. Так как линии равных на­поров О А и 1ЗА имеют общую точку (что само по себе уже свидетельствует о какой-то погрешности в наших рассуж­дениях — см. раздел 2.1), то напоры вдоль них одинаковы

и, следовательно, в клине АОВ вода не движется (перепад напоров равен нулю). Мы, опять-таки, пришли к абсурд­ному результату. Подумайте, в чем причина этих алогиз­мов?

f

Рис. 3.2. Схема фильтрациооного потока вблизи промежутка вы­сачивай ия:

Кривые: 1 - рассчитанная по формуле Дютои; 2 - модельная

Вспомним, что мы имеем дело с моделью плановой фильтрации, которая дает заметные погрешности как раз вблизи границ области фильтрации (см. раздел 2.5). Что­бы выявить эти погрешности, построим депрессионную кривую на бумажной модели ЭГДА. Эта кривая находится на модели подбором: верхний край бумаги постепенно подрезается, пока на нем не будет выполняться условие (2.43). На рис. 3.2 видно, что действительная кривая 2 лежит выше расчетной 1, и на урезе бассейна имеется разрыв между уровнями подземных и поверхностных вод — промежуток высачивания he = АА\ вдоль которого гидростатическое давление равно атмосферному, а напор меняется линейно:

H(z) — z . (3.11)

Если теперь мы повторим наши рассуждения, то все алогизмы снимаются.

Из рисунка видно, что на расстоянии от бассейна х0 порядка h 0) кривые практически совпадают, т.е. форму­ла (3.9) для определения мощности потока h применяется здесь уже с высокой точностью (это, кстати, отвечает условию применимости плановой модели (2.50), упомя­нутому ранее). Однако мы должны теперь с сомнением воспринимать формулу Дюпюи для расхода, в которую входит h2 (а не h2 + he, что, казалось бы, правильнее), но тогда ставится под сомнение и надежность модели плано­вой фильтрации в целом. Между тем сравнение с модели­рованием показывает, что формула Дюпюи дает практи­чески точное значение расхода. Это обстоятельство вызы­вало в свое время большие недоразумения, пока И. А.Чар- ным не была доказана его полная теоретическая право­мерность [32]: оказалось, что формула Дюпюи (3.10) может быть найдена без предположения о плановом ха­рактере фильтрации.

  1. Безнапорная фильтрация в слоистом пласте между двумя бассейнами (реками) при отсутствии, инфильтрации

Расчетные формулы для схемы, изображенной на рис.

  1. получаем путем подстановки (2.63) в формулы на­порной фильтрации (3.3) и (3.4):

Фг\ *Рг2 .

L Х+<Рг2> (ЗЛ2)

_ <Рг\ ~(Рг2 Я L ’ (3.13)

где^>г1 и г2 —граничные значения потенциала Гирин-

ского, определяемые по общей формуле (2.58), которую для удобства вычислений можно представить приближенно в виде

п

г~^ (h -zi)-ki (zi — ордината средней плоскости

i — 1

i-то слоя, а суммирование ведется в интервале [0, h]).

г

ч5*

&ООоООС>с>

Г77

7*7“

& О О О с? С> О

—— -Z,-

Рис. 3.3. Схема фильтрации в безнапорном слоистом пласте

Порядок расчета:

[7~| задаваясь рядом значений h в интервале от h2 до hv находим по формуле (2.58) соответствующие значе­ния г и строим график связи г = ДЛ);

находим q по формуле (3.13); находим значение г (дсу) — qxj + г2 для ряда зна­чений х- (0< Xj < L);

И по значениям г(х]) с графика связи у>г -/ (Л) сни­маем соответствующие значения h (Xj) и строим по ним депрессионную кривую.

  1. Напорно-безнапорная фильтрация между двумя

бассейнами (реками) при отсутствии инфирьтрации

Эта задача является (рис. 3.4) частным случаем предыдущей 2 - 0). Получим для нее результирующие формулы. Потенциал Гирин- ского в напорной зоне

<р/ —f (h—x)k(z)dx—J (h-z)kdz +

Расход потока

Я =

г'{£) —(рг'\0) к\ т —кт^2 —кЬ%/2

L

~L

k(7hx -m)m-h£

2 L

(3.16)

т.е. для расчета расхода напорно-безнапорного потока можно ис­пользовать формулу Дюпюи (3.10) при подстановке

h^-* (2/tj m) /71.

(3.17)

Рис. 3.4. Схема напорно-безнапорной фильтрации между двумя бас­сейнами

Эту задачу можно решить и другим методом. Запишем выражение для расходов потока в напорной и безнапор­ной зонах через значение напора h — тш. границе двух зон (при х = 1).

По формуле (3.2) для напорного пласта

L -1

по формуле (3.10) для безнапорного пласта

к (m2Ну)

21

Так как в данной задаче q' q" то, находя отсюда значение /, вновь получаем формулу (3.16).

В данном варианте решения мы применяем ме­тод фрагментов: поток был разбит на два фрагмента, в каждом фрагменте записаны выражения для расхода, и неизвестная характеристика на стыке двух фрагментов найдена исходя из неизменности расхода потока. Сразу подчеркнем важность последнего момента: если расход вдоль потока меняется, то подобный подход непригоден.

Используем метод фрагментов и для решения следу­ющей задачи.

  1. Движение в планово-неоднородном напорном пласте

Рассмотрим движение потока к реке, долина которой сложена последовательно сменяющимися участками аллювиальных отложе­ний разного состава, т.е. разнойпроницаемости. Границы участков параллельны реке (рис. 3.5). Расход потока в пределах i-то участка

_Г,ДЯ,

в‘ h '

где АН. — разность напора на границах участка.

Из условия равенства расходов в пределах разных участков сле­дует:

По правилу пропорций

2 Л", я

Q

z=l _п\ 2

I = 1

£ (1/т,) 1 (1/т,)

i = 1

* • • *

— —

• • • *

• л • •