Простациклины и простагландины обладают широким спектром действия. В эндокринных железах они стимулируют образование гормонов. В жировой ткани они тормозят липолиз. Действуя на одни и те же ткани, они порой оказывают противоположный эффект:
- регулируют сокращение гладких мышц бронхов, кишечника, матки;
- оказывают влияние на сокращение миокарда;
- регулируют кровоток в почках, контролируют выведение с мочой воды и электролитов;
- регулируют проницаемость капилляров, процессы тромбообразования.
В ЦНС простагландины раздражают центры терморегуляции, вызывая повышение температуры, лихорадку. Повышают чувствительность нервных окончаний к раздражающему действию гистамина.
Простациклин образуется главным образом в сердце и сосудах, препятствует образованию тромбов, способствует расширению сосудов, уменьшает артериальное давление.
Вода и растворенные в ней вещества, числе минеральные соли, создают внутреннюю среду организма, свойства к-й сохраняются постоянными или изменяются закономерным образом при изменении функционального состояния органов и клеток.
Вода тканей является не просто растворителем или инертным компонентом: она выполняет структурную и функциональную роль.
Вода служит средством транспорта веществ как в пределах клетки и окружающего ее межклеточного вещества, так и между органами (кровеносная и лимфатическая системы). Подавляющая часть химических реакций в организме происходит с веществами, растворенными в воде.
Почти 2/ 3 массы тела человека приходится на воду. Суточное потребление воды составляет около 2 л, к этому добавляется 0,3-0,4 л метаболической воды, образующейся при тканевом дыхании.
Примерно 6 % всей воды организма находится в крови, 25 % — в межклеточном матриксе (интерстициальная вода). Воду этих двух бассейнов называют внеклеточной водой. Около 70 % воды организма — внутриклеточная вода.
Важнейшие параметры вводно-солевого гомеостаза - осмотическое давление, рН и объём внутриклеточной и внеклеточной жидкости.
МОНОНУКЛЕОТИДЫ - органические соединения, состоящие из пуринового или пиримидинового основания, углевода рибозы или дезоксирибозы и остатка фосфорной кислоты. Во всех живых организмах образуют полимерные цепи нуклеиновых кислот.


Биологическая роль нуклеиновых кислот и функции мононуклеотидов.
1. ДНК: хранение генетической информации.
2. РНК:
- хранение генетической информации (информосомы, некоторые РНК-вирусы);
- реализация генетической информации: и-РНК (м-РНК) — информационная (матричная), т-РНК (транспортная), р-РНК (рибосомальная). Участвуют в процессе синтеза белка;
- каталитическая функция: некоторые молекулы РНК катализируют реакции гидролиза 3′,5′-фосфодиэфирной связи в самой молекуле РНК-«самосплайсинг».
Функции мононуклеотидов:
1) структурная — построение нуклеиновых кислот, некоторых коферментов и простетических групп ферментов;
2) энергетическая — аккумуляторы энергии за счет имеющихся макроэргических связей. АТ Ф — универсальный аккумулятор энергии, энергия УТ Ф используется для синтеза гликогена, ЦТ Ф — для синтеза липидов, ГТФ — для движения рибосом в ходе трансляции (биосинтез белка) и передачи гормонального сигнала (G-белок);
3) регуляторная: мононуклеотиды — аллостерические эффекторы многих ключевых ферментов, цАМФ и цГМФ — посредники в передаче гормонального сигнала при действии многих гормонов на клетку (аденилатциклазная система), активируют протеинкиназы.
№ 29
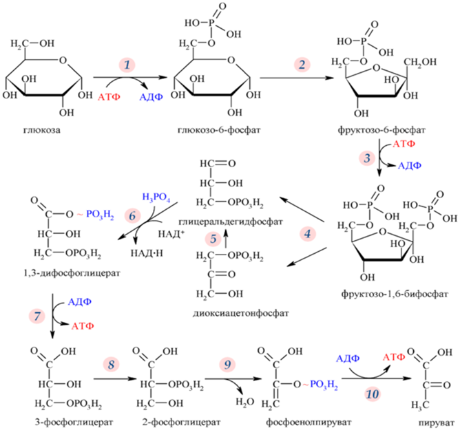
Глико́лиз — процесс окисления глюкозы, при котором из одной молекулы глюкозы образуются две молекулы пировиноградной кислоты. Гликолиз состоит из цепи последовательных ферментативных реакций и сопровождающийся запасанием энергии в форме АТФ и НАДH. Гликолиз является универсальным путём катаболизма глюкозы и одним из трёх (наряду спентозофосфатным путём и путём Энтнера — Дудорова) путей окисления глюкозы, встречающихся в живых клетках. Реакция гликолиза в суммарном виде выглядит следующим образом:
Глюкоза + 2НАД+ + 2АДФ + 2Pi → 2 пируват + 2НАДH + 2Н+ + 2АТФ + 2Н2O[2].
Схема гликолиза

2)ДНК и РНК
Рибонуклеи́новая кислота́ (РНК) — одна из трёх основных макромолекул (две другие — ДНК и белки), которые содержатся в клетках всех живых организмов.
Так же, как ДНК (дезоксирибонуклеиновая кислота), РНК состоит из длинной цепи, в которой каждое звено называется нуклеотидом. Каждый нуклеотид состоит из азотистого основания, сахара рибозы и фосфатной группы. Последовательность нуклеотидов позволяет РНК кодировать генетическую информацию. Все клеточные организмы используют РНК (мРНК) для программирования синтеза белков.
Клеточные РНК образуются в ходе процесса, называемого транскрипцией, то есть синтеза РНК на матрице ДНК, осуществляемого специальными ферментами — РНК-полимеразами. Затем матричные РНК (мРНК) принимают участие в процессе, называемомтрансляцией
Азотистые основания в составе РНК могут образовывать водородные связи между цитозином и гуанином, аденином и урацилом, а также между гуанином и урацилом[15]. Однако возможны и другие взаимодействия, например, несколько аденинов могут образовывать петлю, или петля, состоящая из четырёх нуклеотидов, в которой есть пара оснований аденин — гуанин.
Дезоксирибонуклеи́новая кислота́ (ДНК) — макромолекула (одна из трёх основных, две другие — РНК и белки), обеспечивающаяхранение, передачу из поколения в поколение и реализацию генетической программы развития и функционирования живых организмов. ДНК содержит информацию о структуре различных видов РНК и белков .ДНК — это длинная полимерная молекула, состоящая из повторяющихся блоков — нуклеотидов. Каждый нуклеотид состоит из азотистого основания, сахара (дезоксирибозы) и фосфатной группы.
Дезоксирибонуклеиновая кислота (ДНК) представляет собойбиополимер (полианион), мономером которого является нуклеотид
Ренин-ангиотензиновая система (РАС) или ренин-ангиотензин-альдостероновая система (РААС) — это гормональная система человека имлекопитающих, которая регулирует кровяное давление и объём крови в организме.
Ренин-ангиотензин альдестероновый каскад начинается с биосинтеза препрорениновой из рениновой мРНК в юкстагломерулярных клетках и превращается впроренин путём отщепления 23 аминокислот. В эндоплазматическом ретикулуме проренин подвергается гликозилированию и приобретает 3-D структуру, которая характерна для аспартатных протеаз.
Механизм действия ренин-ангиотензиновой системы
Ренин регулирует начальный, ограничивающий скорость, этап РААС путём отщепления N-концевого сегмента ангиотензиногена для формирования биологически инертного декапептида ангиотензина 1 или Ang-(1-10). Первичный источник ангиотензиногена — печень. Долговременный подъём уровня ангиотензиногена в крови, который происходит во время беременности, при синдроме Иценко-Кушинга или при лечении глюкокортикоидами, может вызвать гипертензию, хотя и существуют данные о том, что хроническое повышение концентрации ангиотензина в плазме частично компенсируется снижением секреции ренина. Неактивный декапептид Ang 1 гидролизуется ангиотензинпревращающим ферментом (АПФ), который отщепляет С-концевой дипептид и, таким образом, формируется октапептид Ang 2 [Ang-(1-8)], биологически активный, мощный вазоконстриктор. АПФ представляет собой экзопептидазу и секретируется главным образом лёгочным и почечным эндотелием, нейроэпителиальными клетками. Ферментативная активность АПФ заключается в повышении вазоконстрикции и снижении вазодилятации.
Коферменты, или коэнзимы — малые молекулы небелковой природы, специфически соединяющиеся с соответствующими белками, называемыми апоферментами, и играющие роль активного центра или простетической группы молекулы фермента.
Классификация коферментов
Можно предложить следующую классификацию коферментов:
Коферменты, участвующие в переносе любых групп, кроме атомов водорода: Сахарофосфаты, CoA.SH, тиаминпирофосфат, пиридоксальфосфат, фолиатные коферменты, биотин, кобамидные (В12) коферменты,липоевая кислота.
Коферменты, участвующие в переносе атомов водорода: NAD+, NADP+, FMN, FAD, липоевая кислота,кофермент Q.
Коферменты – производные витаминов группы В и АМР
Витамины группы В входят как составная часть во многие коферменты. Например, ферменты, участвующие в метаболизме аминокислот, нуждаются в коферментах – производных витамина В6. Витамины группы В –никотинамид, тиамин, рибофлавин и пантотеновая кислота – являются компонентами коферментов, участвующих в процессах биологического окисления и восстановления, а коферментные формы фолиевой кислотыи кобамида участвуют в переносе одноуглеродных фрагментов.
№30

Моносахариды – это простейшие углеводы. Они не подвергаются гидролизу – не расщепляются водой на более простые углеводы.
Важнейшими из моносахаридов являются глюкоза и фруктоза. Так же хорошо известен другой моносахарид – галактоза, являющаяся частью молочного сахара.
Моносахариды – твёрдые вещества, легко растворимые в воде, плохо – в спирте и совсем не растворимы в эфире.
Фруктоза
Фруктоза или плодовый сахар С6Н12О6 – моносахарид, спутник глюкозы во многих плодовых и ягодных соках.
Фруктроза в качестве моносахаридного звена входит в состав сахарозы и лактулозы.
Фруктоза значительно слаще глюкозы. Смеси с ней входят в состав мёда.
По строению фруктоза представляет собой шестиатомный кетоноспирт:

В отличие от глюкозы и других альдоз, фруктоза неустойчива как в щелочных, так и кислых растворах; разлагается в условиях кислотного гидролиза полисахаридов или гликозидов.
Галактоза
Галактоза - моносахарид, один из наиболее часто встречающихся в природе шестиатомных спиртов — гексоз.
Галактоза cуществует в ациклической и циклической формах.
Отличается от глюкозы пространственным расположением групп у 4-го атома углерода.

Галактоза хорошо растворима в воде, плохо в спирте.
В тканях растений галактоза входит в состав рафинозы, мелибиозы, стахиозы, а также в полисахариды — галактаны,
пектиновые вещества, сапонины, различные камеди и слизи, гуммиарабик и др.
В организме животных и человека галактоза — составная часть лактозы (молочного сахара), галактогена, группоспецифических полисахаридов, цереброзидов и мукопротеидов.
Галактоза входит во многие бактериальные полисахариды и может сбраживаться так называемыми лактозными дрожжами. В животных и растительных тканях галактозалегко превращается в глюкозу, которая лучше усваивается, может превращаться в аскорбиновую и галактуроновую кислоты.