Клетки-мишени - это клетки, которые специфически взаимодействуют с гормонами с помощью специальных белков-рецепторов. Эти белки-рецепторы располагаются на наружной мембране клетки, или в цитоплазме, или на ядерной мембране и на других органеллах клетки.
минеральные вещества – это один из важнейших компонентов нашего питания, без них невозможно правильное протекание жизненно важных процессов в организме, они обеспечивают правильное формирование химической структуры всех тканей человека и, разумеется, мышечной, в том числе.
Минеральные вещества представляют собой пластический материал и входят в состав опорных тканей. В построении костной ткани, где основными элементами являются кальций и фосфор, они играют важнейшую роль. Минеральные вещества входят в состав ферментов и гормонов, принимают участие в процессах обмена веществ, образования кровяных телец и свертывания крови. Минералы и минеральные вещества обеспечивают нормальную работу главных систем организма (мышечной – участвуют в процессе сокращения мышц, пищеварительной и сердечно-сосудистой). Минералы требуются организму в неодинаковом количестве. Их нехватка или полное отсутствие могут привести как к серьезным заболеваниям, так и к гибели организма.
Минеральные вещества подразделяются на макро- и микроэлементы.
К макроэлементам относятся: кальций, фосфор, магний, калий, хлор, железо и др. Потребность организма в минералах-макроэлементах велика.
Микроэлементы – это цинк, медь, йод, фтор и прочие. Их количество в организме измеряется в микрограммах.
Роль микроэлементов весьма значительна. В организме человека их насчитывается около 70 видов. Структурные микроэлементы (С, О, Н, N, Ca, Mg, Na, K, S, P, F, Cl) составляют 99% всех микроэлементов организма человека. Основные микроэлементы – кислород, азот, углерод, водород – являются строительным материалом и имеют самую большую долю. Остальные микроэлементы содержатся в небольших количествах, но их влияние на здоровье человека от этого ничуть не меньше.
4. РНК
РНК – это полинуклеотиды, но состоят только из одной цепи, их мол.масса меньше, чем у ДНК. Кроме этого, они отличаются следующим: 1) количество РНК в клетке зависит от возраста, физиологического состояния, органной принадлежности клетки; 2) в мононуклеотидах РНК содержатся рибоза, вместо тимина урацил; 3) для РНК не характерны правила Чаргаффа; 4) в РНК больше минорных оснований, чем в ДНК, при этом в т-РНК количество минорных оснований приближается к 50. Все РНК синтезируются на ДНК, этот процесс называется транскрипцией.
№31
Остаточный азот – это сумма азота всех небелковых азотсодержащих веществ крови. В норме 14-28 ммоль/л.
1. Метаболиты:
1.1. аминокислоты (25%);
1.2. креатин (5%);
1.3. полипептиды, нуклеотиды (до 3,5%).
2. Конечные азотистые продукты:
2.1. мочевина (50%);
2.2. мочевая кислота (4%);
2.3. креатинин (2,5%);
2.4. индикан, амм
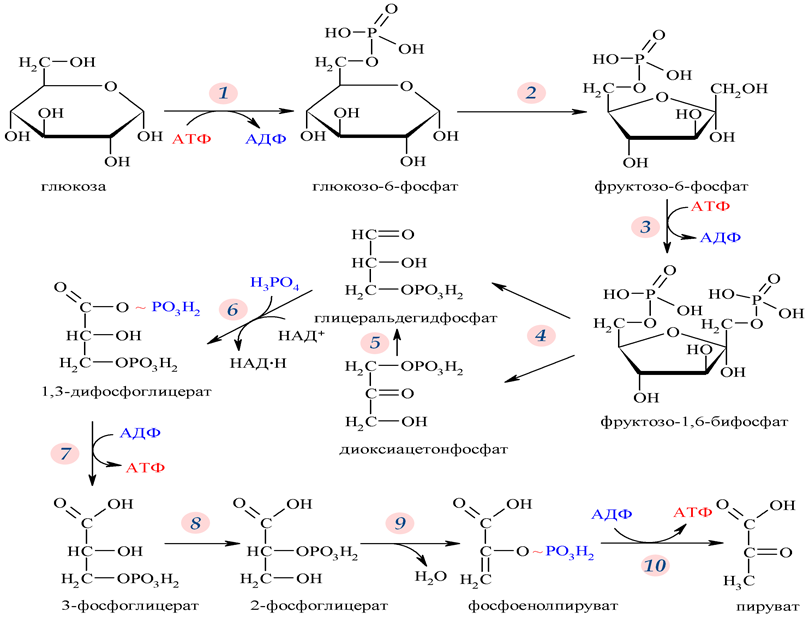
Глико́лиз— процесс окисленияглюкозы, при котором из одной молекулы глюкозы образуются две молекулы пировиноградной кислоты. Гликолиз является универсальным путём катаболизмаглюкозы и одним из трёх путей окисления глюкозы, встречающихся в живыхклетках. Реакция гликолиза в суммарном виде выглядит следующим образом:
Глюкоза + 2НАД+ + 2АДФ + 2Pi → 2 пируват + 2НАДH + 2Н+ + 2АТФ + 2Н2O[2].иак.

Авитамино́з — заболевание, являющееся следствием длительного неполноценного питания, в котором отсутствуют какие-либо витамины.
Признаки авитаминоза
Зависят от того витамина, которого не хватает организму.
Причины, вызывающие авитаминоз
• Нарушении поступления витаминов с пищей при неправильном питании, недостаточном или некачественном питании.
• Нарушение процессов пищеварения или нарушение работы органов, связанных непосредственно с пищеварением.
• Поступление в организм антивитаминов, например лекарственных препаратов синкумар, дикумарол, применяющихся при лечении повышенной свертываемости крови.
№32:
Липи́ды (от др.-греч. λίπος — жир) — обширная группа природных органических соединений, включающая жиры и жироподобные вещества. Молекулы простых липидов состоят из спирта и жирных кислот, сложных — из спирта, высокомолекулярных жирных кислот и других компонентов. Содержатся во всех живых клетках. Будучи одним из основных компонентов биологических мембран, липиды влияют на проницаемость клеток и активность многих ферментов, участвуют в передаче нервного импульса, в мышечном сокращении, создании межклеточных контактов, в иммунохимических процессах. Также липиды образуют энергетический резерв организма, участвуют в создании водоотталкивающих и термоизоляционных покровов, защищают различные органы от механических воздействий и др. К липидам относят некоторые жирорастворимые вещества, в молекулы которых не входят жирные кислоты, например, терпены, стерины. Многие липиды — продукты питания, используются в промышленности и медицине.
Согласно нестрогому определению, липид — это гидрофобное органическое вещество, растворимое в органических растворителях; согласно строгому химическому определению, это гидрофобная или амфифильная молекула, полученная путём конденсации тиоэфиров или изопренов
класиффикация липидов
Простые липиды — липиды, включающие в свою структуру углерод(С), водород(H) и кислород(O)
Жирные кислоты — алифатические одноосновные карбоновые кислоты с открытой цепью, содержащиеся в этерифицированной форме в жирах, маслах и восках растительного и животного происхождения.
• Жирные альдегиды — высокомолекулярные альдегиды, с числом атомов углерода в молекуле выше 12.
• Жирные спирты — высокомолекулярные спирты, содержащие 1-3 гидроксильные группы
• Предельные углеводороды с длинной алифатической цепочкой
• Сфингозиновые основания
• Воски — сложные эфиры высших жирных кислот и высших высокомолекулярных спиртов.
• Триглицериды (Жиры)
Сложные липиды
Сложные липиды — липиды, включающие в свою структуру помимо углерода(С), водорода(H) и кислорода(О) другие химические элементы. Чаще всего: фосфор(Р), серу(S), азот(N).
• Полярные
• Фосфолипиды — сложные эфиры многоатомных спиртов и высших жирных кислот, содержащие остаток фосфорной кислоты и соединённую с ней добавочную группу атомов различной химической природы.
• Гликолипиды — сложные липиды, образующиеся в результате соединения липидов с углеводами.
• Фосфогликолипиды
• Сфинголипиды — класс липидов, относящихся к производным алифатических аминоспиртов.
• Мышьяколипиды
• Нейтральные
• Ацилглицериды
• Диглицериды
• Моноглицериды
• Церамиды
• Эфиры стеринов
• N-ацетилэтаноламиды
Оксилипиды
• Оксилипиды циклооксигеназного пути
Гние́ние (аммонификация) — процесс разложения азотсодержащих органических соединений (белков, аминокислот), в результате их ферментативного гидролиза под действием аммонифицирующих микроорганизмов с образованием токсичных длячеловека конечных продуктов — аммиака, сероводорода, а также первичных и вторичных аминов при неполной минерализациипродуктов разложения:
• Трупных ядов (например путресцин и кадаверин)
• Ароматические соединения (например скатол, индол- образуются в результате дезаминирования и декарбоксилирования аминокислоты триптофана)
• Гниение серосодержащих аминокислот (цистеина, цистина и метионина) приводит к выделению сероводорода, тиолов,диметилсульфоксида
4.Витамин В1, характеристики, роль, липоевая кислота;
Витамины – это необходимые для нормальной жизнедеятельности низкомолекулярные органические соединения, синтез которых в организме ограничен или отсутствует.
Витамин В1
Тиамин, антиневритный витамин.

Тиамин устойчив в кислой среде (до 140ºС), а в щелочной среде быстро разрушается.
Роль витамина В1 в обмене веществ
1. из него образуется ТПФ (тиаминпирофосфат) – кофермента декарбоксилаз кетокислот (пируват-ДК-комплекс, альфа-КГ-ДК) и транскетолазы;
2. участвует в передаче нервного импульса;
3. является коферментом транскетолазы.Гиповитаминоз В1: накопление ПВК и альфа-КГ в крови из-за нарушения их
превращений, поражение нервной ткани из-за недостатка глюкозы.Авитаминоз В1 – болезнь бери-бери: полиневриты, отеки, сердечно-сосудистая недостаточность (иногда до некрозов), нарушения секреции и моторики ЖКТ (атония кишечника). Чаще развивается при хроническом алкоголизме, когда витамин В1 не всасывается.
Суточная потребность витамина В1 2-3 мг. Потребность возрастает при углеводной пище (0,5 мг витамина на каждые 1000 ккал).
Источники тиамина: дрожжи, хлеб грубого помола, каши, крупы (овсяная, гречневая, фасоль).
Липоевая
кислота![]()
Расслабление скелетной мышцы
Расслабление мышцы вызывается обратным переносом ионов Са++ посредством кальциевого насоса в каналы саркоплазматического ретикулума. По мере удаления Са++ из цитоплазмы открытых центров связывания становится все меньше и в конце концов актиновые и миозиновые филламенты полностью рассоединяются; наступает расслабление мышцы.
Контрактурой называют стойкое длительное сокращение мышцы, сохраняющееся после прекращения действия раздражителя. Кратковременная контрактура может развиваться после тетанического сокращения в результате накопления в саркоплазме большого количества Са++ ; длительная (иногда необратимая) контрактура может возникать в результате отравления ядами, нарушений метаболизма.
№33
1.Триацилглицериды,распад
и синтез


При гидролизе триацилглицеринов образуются глицерин и жирные кислоты:

2. вит В2
Рибофлавин

Устойчив в кислой среде, но разрушается в нейтральной и щелочной. Легко окисляется по двойной связи, что позволяет ему участвовать в о/в реакциях в виде коферментов (ФМН, ФАД):
- окисляет восстановленную форму НАД·Н (компонент НАД·Н-дегидрогеназы в дыхательной цепи),
- окисляет жирные к-ты, янтарную к-ту, аминокислоты.
Авитаминоз В2: поражение эпителия слизистых, кожи, глаз; сухость слизистых губ, полости рта, трещины губ; дерматиты, сухость конъюнктивы, переходящая в конъюнктивиты, кератиты, васкуляризация глазных яблок.
Суточная потребность 2-4 мг.
Источники: дрожжи, печень; хлеб грубого помола, соя, яйца, молоко.