Коллаген - основной структурный белок межклеточного матрикса. Он составляет от 25 до 33% общего количества белка в организме, т.е. -6% массы тела.
Эластин - основной белок эластических волокон, которые в больших количествах содержатся в межклеточном веществе таких тканей, как кожа, стенки кровеносных сосудов, связки, лёгкие. Эти ткани обладают очень важными свойствами: они могут растягиваться в несколько раз по сравнению с исходной длиной, сохраняя при этом высокую прочность на разрыв, и возвращаться в первоначальное состояние после снятия нагрузки..
4. Обмен аспарагина; оксид азота Оксид азота(II) (мон(о)оксид азота, окись азота, нитрозил-радикал) NO — несолеобразующий оксидHYPERLINK "https://ru.wikipedia.org/wiki/Азот"азота. В нормальных условиях он представляет собой бесцветный газ, плохо растворимый в воде
обмен аспарагина

№34
Никоти́новая кислота́ (ниацин, витамин PP, витамин B5) — витамин, участвующий во многихокислительных реакциях живых клеток, лекарственное средство.
Содержится ржаном хлебе, ананасе, свёкле, гречке, фасоли, мясе, грибах, печени, почках.
Гиповитаминоз РР приводит к пеллагре — заболеванию, симптомами которого являются дерматит,диарея, деменция.
Гипо- и авитаминоз РР: пеллагра, неполноценное и несбалансированное питание, мальабсорбция, быстрое похудение, гастроэктомия, болезнь Хартнупа , заболевания ЖКТ , а также состояния повышенной потребности организма в витамине РР: длительная лихорадка, заболевания гепатобилиарной области , гипертиреоз, хронические инфекции, злокачественные опухоли, длительный стресс, беременность, период лактации.
Холестери́н— органическое соединение, природный жирный спирт, содержащийся в клеточных мембранах всех живых организмов. Нерастворим в воде, растворим в жирах и органических растворителях. Около 80% холестерина вырабатывается самим организмом (печенью, кишечником,почками, надпочечниками, половыми железами), остальные 20% поступают с пищей. 80% холестерина в организме свободные, а 20% — связанные. Холестерин обеспечивает стабильность клеточных мембран в широком интервале температур. Он необходим для выработки витамина D, выработки надпочечниками различных стероидных гормонов, включая кортизол, альдостерон, женских половых гормонов эстрогенов ипрогестерона, мужского полового гормона тестостерона, играет важную роль в деятельности нервной и иммунной системы.
Уровень холестерина в крови измеряется либо в ммоль/л (миллимоль на литр, стандарт действующий в РФ) либо в мг/дл (миллиграмм на децилитр, 1 ммоль/л равен 38,665 мг/дл). Идеально, когда уровень «плохих» низкомолекулярных липопротеинов ниже 100 мг/дл (для лиц с высоким риском сердечно-сосудистых заболеваний — ниже 70 мг/дл). Такой уровень, однако, у взрослых достигается редко. Если уровень низкомолекулярных липопротеинов выше 160 мг/дл, рекомендуется использовать диету для снижения его ниже 130 мг/дл. Если этот уровень выше 190 мг/дл или упорно держится выше 160 мг/дл, рекомендуется взвесить возможность лекарственной терапии. Для лиц с высоким риском сердечно-сосудистых заболеваний эти цифры могут снижаться. Доля «хороших» высокомолекулярных липопротеинов в общем уровне холестерин-связывающих липопротеинов чем выше, тем лучше. Хорошим показателем считается, если он гораздо выше 1/5 от общего уровня холестерин-связывающих липопротеинов.
Биохими́ческий ана́лиз кро́ви — лабораторный метод исследования, использующийся в медицине, по результатам которого можно судить о функциональном состоянии органов и систем организма человека. Он позволяет определить функцию печени, почек, активный воспалительный процесс, ревматический процесс, а также нарушение водно-солевого обмена и дисбаланс микроэлементов. Биохимический анализ помогает поставить диагноз, назначить и скорректировать лечение, а также определить стадию заболевания.
Показания к проведению
Контроль состояния здоровья (не реже 1 раза в год).
Перенесенные инфекционные или соматические заболевания.
Результаты анализа
Параметры
Глюкоза (Сахар) — норма 3,30-6,1 миллимолей на литр.
Мочевина — норма мочевины — 2,5-8,3 миллимолей на литр.
Остаточный азот крови В норме содержание остаточного азота в сыворотке крови колеблется от 14,3 до 28,6 ммоль/л.
Креатинин рассматривается в комплексе с мочевиной. Норма креатинина — 44-106 микромолей на литр.
Общие липиды — содержание в крови 4 — 8 г/л.
Общий холестерин.
Норма общего холестерина от 3,6 ммоль/л до 7,8 ммоль/л,
Холестерин-ЛПНП — Норма для мужчин — 2.02 — 4.79 ммоль/л, для женщин 1.92-4.51 ммоль/л.
Холестерин-ЛПВП — Норма для мужчин — 0.72 — 1.63 ммоль/л, для женщин 0.86-2.28 ммоль/л.
Триптофа́н — (β-(β-индолил)-α-аминопропионовая кислота, сокр.: Три, Трп, Trp, W) — ароматическаяальфа-аминокислота. Существует в двух оптически изомерных формах — L и D и в виде рацемата (DL).
L-триптофан является протеиногенной аминокислотой и входит в состав белков всех известных живых организмов. Относится к ряду гидрофобных аминокислот, поскольку содержит ароматическое ядро индола. Участвует в гидрофобных и стэкинг-взаимодействиях.

№35
Глицерофосфолипиды
являются производными
фосфатидной кислоты.
В
их состав входят глицерин, жирные
кислоты, фосфорная
кислота и
обычно азотсодержащие
соединения
Из всех липидов Глицерофосфолипиды обладают наиболее выраженными полярными свойствами. При помещении глицерофосфолипидов в воду в истинный раствор переходит лишь небольшая их часть, основная же масса липидов находится в виде мицелл.
, Глицерофосфолипиды подразделяют на фосфатидилхолины ( лецитины), фосфатидилэта-ноламины ( кефалины) и фосфатидилсерины.
Фосфолипиды являются важной частью клеточных мембран Фосфолипиды участвуют в транспорте жиров, жирных кислот и холестерина. Между плазмой и эритроцитами происходит обмен фосфолипидами, которые играют важнейшую роль, поддерживая в растворимом состоянии неполярные липиды.
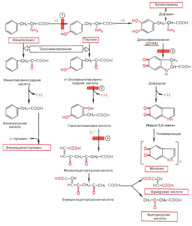
Основные метаболические превращения фенилаланина и тирозина
К факторам, повышающим уровень «плохого» холестерина, относятся:
курение;
избыточный вес или ожирение, переедание;
гиподинамия или недостаточная физическая активность;
неправильное питание с высоким содержанием транс-жиров

Тирози́н
Биосинтез
Фенилалани́н

Антидерматитный витамин.
Пиридоксин → пиридоксаль → пиридоксамин [нарисовать формулы]
![]()
(все три эти соединения обладают витаминным действием)
Роль витамина В6 в обмене веществ
1. он необходим для образования ПФ (пиридоксальфосфата) – кофермента амино-ТФ, декарбоксилаз АК, дезаминаз АК;
2. необходим для превращения триптофана в витамин РР;
3. нужен для превращения дельта-аминолевулиновой кислоты в гем.
{Т.е., вит.В6 нужен для обмена аминокислот}
Гиповитаминоз В6: анемия из-за нарушения обмена АК, плюс дерматиты, стоматиты, глосситы, конъюнктивиты.
Суточная потребность в витамине В6 2-3 мг.
Источники: печень, дрожжи, хлеб грубого помола, горох. Также он синтезируется микрофлорой кишечника.
Гиповитаминоз возможен при длительном употреблении антибиотиков, особенно, противотуберкулезных препаратов.
№36 1. Строение мембраны
Кле́точная мембра́на (также цитолемма, плазмолемма, или плазматическая мембрана) — эластическая молекулярная структура, состоящая из белков и липидов. Отделяет содержимое любой клетки от внешней среды, обеспечивая её целостность; регулирует обмен между клеткой и средой; внутриклеточные мембраны разделяют клетку на специализированные замкнутые отсеки — компартменты или органеллы, в которых поддерживаются определённые условия среды.
Мембраны состоят из липидов трёх классов: фосфолипиды, гликолипиды и холестерол. Фосфолипиды и гликолипиды (липиды с присоединёнными к ним углеводами) состоят из двух длинных гидрофобных углеводородных «хвостов», которые связаны с заряженной гидрофильной «головой». Холестерол придаёт мембране жёсткость, занимая свободное пространство между гидрофобными хвостами липидов и не позволяя им изгибаться. Поэтому мембраны с малым содержанием холестерола более гибкие, а с большим — более жёсткие и хрупкие. Также холестерол служит «стопором», препятствующим перемещению полярных молекул из клетки и в клетку.
Важную часть мембраны составляют белки, пронизывающие её и отвечающие за разнообразные свойства мембран. Их состав и ориентация в разных мембранах различаются. Рядом с белками находятся аннулярные липиды — они более упорядочены, менее подвижны, имеют в составе более насыщенные жирные кислоты и выделяются из мембраны вместе с белком. Без аннулярных липидов белки мембраны не работают.
Клеточные мембраны часто асимметричны, то есть слои отличаются по составу липидов, в наружном содержатся преимущественно фосфатидилинозитол,фосфатидилхолин, сфингомиелины и гликолипиды, во внутреннем — фосфатидилсерин, фосфатидилэтаноламин и фосфатидилинозитол. Переход отдельной молекулы из одного слоя в другой (так называемый флип-флоп) затруднён, но может происходить спонтанно, примерно раз в 6 месяцев или с помощью белков-флиппаз и скрамблазы плазматической мембраны. Если в наружном слое появляется фосфатидилсерин, это является сигналом для макрофагов о необходимости уничтожения клетки.
Аминокисло́ты (аминокарбо́новые кисло́ты) — органические соединения, в молекуле которых одновременно содержатся карбоксильные и аминные группы.
Аминокислоты могут рассматриваться как производные карбоновых кислот, в которых один или несколько атомовHYPERLINK "https://ru.wikipedia.org/wiki/Водород"водорода заменены на аминные группы.