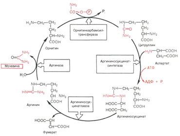
Синтез мочевины происходит в печени в цикле Кребса-Гензелейта (другое название - орнитиновый цикл мочевинообразования Кребса) в несколько этапов с участием ряда ферментных систем. Синтез сопровождается поглощением энергии, источником которой является АТФ.


№ 41.


Окисление
1)Фосфорилирование глицерола в цитозоле клеток до глицерол-3- фосфата. Глицерол-З-фосфат, который образовался, проникает в митохондрии.

2) Окисление глицерол-3-фосфата в митохондриях клетки до диоксиацетонфосфата.

Диоксиацетонфосфат диффундирует из митохондрий в цитозоль
3)Изомеризация диоксиацетонфосфата в цитозоле клетки в гли-церальдегидфосфат и превращение его в пировиноградную кислоту,ацетил-КоА.

Жирорастваримый
антистерильный витамин, антиоксидантный энзим.
В химическом плане это альфа-, бета-, гамма- и дельта-токоферолы, но преобладающим является альфа-токоферол.
Витамин Е устойчив к нагреванию.
Роль витамина Е в обмене веществ
1. регулирует интенсивность свободно-радикальных реакций. Препятствует перекисному окислению липидов биомембран;
2. повышает активность витамина А.
Суточная потребность витамина Е 20-25 мг.
Источники витамина Е: растительные масла (!), а также печень, желток яиц, проросшие зерна; масло обліпихи
В тканях человека и высших животных аминокислоты подвергаются преимущественно окислительному дезаминированию. Окислительное дезаминирование протекает в два этапа:
1)отщепление 2 атомов водорода от аминокислоты и образование неустойчивой иминокислоты;
2)присоединение воды с отщеплением аммиака и образование а-кетокислоты.
Печень играет центральную роль в обмене белков: синтез специфических белков плазмы; образование мочевины и мочевой кислоты; синтез холина и креатина; трансаминирование и дезаминирование аминокислот.
Гликогенолиз - расщепление гликогена в печени и мышцах до пирувата и лактата в анаэробных условиях с образованием молекул АТФ.
В анаэробных условиях пируват под действием лактатдегидрогеназы (ЛДГ) восстанавливается до молочной кислоты. Коферментом ЛДГ является НАД+. Последний восстанавливается до НАДН+Н* при окислении глицеральдегидфосфата и используется для превращения пирувата в лактат, т.е. идет процесс гликолитической оксидоредукции.
Кальций в норме 2,2-2,6 ммоль/л.
Гиперкальцийемия:
массивный распад костной ткани; повышение секреции ПТГ (парат-гормон); гиповитаминоз D; снижение выработки кальциотонина.Гипокальцийемия: недостаточность паращитовидных желез; гиперсекреция кальцитонина;
гиповитаминоз D.
Фосфор в норме 1-2 ммоль/л.
Гиперфосфоемия: гипопаратиреоз; гиповитаминоз D;
распад костной ткани.Гипофосфоемия: гиперпаратиреоз;
рахит; нарушение всасывания фосфатов в ЖКТ.
За обмен кальция и фосфатов в организме отвечают три гормона – кальцитриол, кальцитонин и паратиреоидный гормон.
Образующийся в коже под действием ультрафиолета и поступающие с пищей холекальциферол (витамин D3) и эргокальциферол (витамин D2) гидроксилируются в печени по С25 и в почках по С1. В результате формируется 1,25-диоксикальциферол (кальцитриол).
Идет в паращитовидных железах. Реакции синтеза гормона высоко активны.
Осуществляется в парафолликулярных клетках щитовидной железы.
№40
Липопротеи́ны (липопротеиды) — класс сложных белков, простетическая группа которых представлена каким-либо липидом. Так, в составе липопротеинов могут быть свободные жирные кислоты, нейтральные жиры, фосфолипиды, холестериды.
Липопротеины представляют собой комплексы, состоящие из белков (аполипопротеинов; сокращенно — апо-ЛП) и липидов, связь между которыми осуществляется посредством гидрофобных и электростатических взаимодействий.
Липопротеины плазмы подразделяются на две группы: белки, связанные с липидами ковалентно, и белки, связанные с липидами нековалентными связями. Липид, ковалентно связанный с липопротеином, служит якорем, с помощью которого белки прикрепляются к мембране . Липопротеины второй группы не имеют строго определенного состава. Они скорее представляют собой агрегаты липидов с белками. Эти липопротеиновые комплексы имеют переменные размеры и состав. В плазме крови они обеспечивают транспорт водонерастворимых липидов
Пантотеновая кислота, пантотенат (лекарственная форма — пантотенат кальция, витамин B3, неверное обозначение — витамин B5). Пантотеновая кислота по химической природе является дипептидом и состоит из остатков аминокислоты β-аланина и пантоевой кислоты.
Пантотеновая кислота требуется для обмена жиров, углеводов, аминокислот, синтеза жизненно важных жирных кислот, холестерина, гистамина, ацетилхолина, гемоглобина.
билирубин – токсичное, жирорастворимое вещество, способное нарушать окислительное фосфорилирование в клетках. Особенно чувствительны к нему клетки нервной ткани.

Большинство молекул билирубина образуется в результате катаболизма гемоглобина в стареющих эритроцитах. В норме при этом образуется около 80—85% билирубина в сутки. Когда циркулирующий в крови эритроцит достигает окончания нормального срока своего существования, составляющего приблизительно 120 сут, он разрушается в ретикулоэндотелиальной системе.
Авитаминоз D – рахит. Различают рахит I типа (при недостатке витамина D) и рахит II типа (при недостатке рецепторов). Проявляется рахит деформациями скелета ("рахитические четки", Х-образные или О-образные голени, килевидная грудная клетка).
Недостаток витамина D у взрослых сопровождается остеомаляцией, а в крови увеличивается активность щелочной фосфатазы.
Причины гиповитаминозов D:
- недостаток витамина D в пище
- недостаток УФ (солнечного) облучения
- недостаток парат-гормона
Суточная потребность вит. D 0,012-0,025 мг.
Источники витамина D: яичный желток, рыбий жир, сливочное масло (лучше летнее), печень, молоко.

№ 42
Процесс собственно β-окисления состоит из 4-х реакций,последовательно происходит окисление (ацил-SКоА-дегидрогеназа), гидратирование (еноил-SКоА-гидратаза) и вновь окисление 3-го атома углерода (гидроксиацил-SКоА-дегидрогеназа). В последней, трансферазной, реакции от жирной кислоты отщепляется ацетил-SКоА. К оставшейся (укороченной на два углерода) жирной кислоте присоединяется HS-КоА, и она возвращается к первой реакции. Все повторяется до тех пор, пока в последнем цикле не образуются два ацетил-SКоА.

Аммиак (NН3) – продукт обмена большинства соединений, содержащих амино- и амидогруппы. Главным путём образования аммиака служит окислительное дезаминирование.Аммиак – очень токсичное вещество, особенно для нервной системы. в организме существует ряд механизмов связывания (обезвреживания) аммиака
Аммиак, образующийся в тканях, сначала превращается в нетоксичное соединение и в таком виде переносится кровью к печени или почкам. Такими транспортными формами являются аминокислоты глутамин, аспарагин и аланин.


Глутамин - нейтральное нетоксичное соединение, способное легко проходить через клеточные мембраны. В виде этой аминокислоты аммиак транспортируется в крови. Участия в синтезе белка, источник азота в биосинтезе гистидина, глюкозамина, пуриновых и пиримидиновых нуклеотидов. С кровью поступает в печень и почки,где под действием фермента глутаминазы превращается в глутамат и аммиак. При участии аспарагиназы также происходит образование аммиака из аспарагина.
Клетки почек поглощают из циркулирующей крови глутамин. Фермент глутаминаза в почках катализирует гидролиз глутамина с образованием глутамата и аммиака.

Образующийся глутамат может в дальнейшем подвергаться дезаминированию при участии глутаматдегидрогеназы. Таким образом, из одной молекулы глутамина всего может образоваться две молекулы аммиака.
Аспарагин аналогичным образом подвергается гидролизу при участии аспарагиназы, присутствующей в клетках канальцев почек.
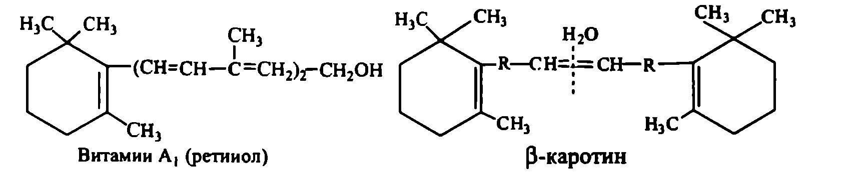
3.Витамин А (каротиноиды, антиксерофтальмический фактор).
Химическая структура. Витамин А, (ретинол) и витамин А2 (дегидроретинол) - производные (3-ионона. В моркови содержится провитамин Р-каротин, который гидролизуется в слизистой кишечника на 2 молекулы витамина А,.

Витамин А регулирует процессы:а)рост и дифференцировка клеток развивающегося организма;
б)деление и дифференцировка быстро тканей хряща и костной ткани, эпителия кожи и слизистых;в)фотохимический акт зрения;г)препятствие ороговению однослойного плоского эпителия и стимуляция биосинтеза гликопротеинов, которые входят в состав муцинов, д)Р-каротин является антиоксидантом, ловушкой для пероксидных радикалов в тканях при низком парциальном давлении кислорода (витамин Е эффективен при высоких концентрациях кислорода)
гиповитаминоз - куриная слепота.
Гипервитаминоз может развиться у детей в результате приема больших количеств рыбьего жира и препаратов витамина А. Проявления гипервитаминоза А - воспаление глаз, гиперкератоз, выпадание волос, общее истощение организма. Витамин А находится в животных продуктах (печень, сливочное масло, рыбий жир, яичный желток) и продуктах растительного происхождения (морковь). Суточная потребность - 2,5 мг.
4.Остаточный азот
Остаточный азот крови - это сумма всех азотсодержащих веществ в крови, после удаления из неё белков. Белки крови являются наибольшими азотсодержащими веществами. К веществам входящим в состав остаточного азота входят мочевина, аминокислоты, мочевая кислота, креатин, креатинин, аммиак, индикан, а также некоторые другие.
Нормальный уровень остаточного азота в крови: 14,3—28,6 ммоль/л
Повышение остаточного азота:острая почечная недостаточность,хроническая почечная недостаточность, нарушение функции почек - при сердечной недостаточности, дегидратации, стрессе, ожогах,хронические заболевания почек (хронический пиелонефрит, хронический гломерулонефрит),обтурация мочевых путей, кровотечение из верхних отделов пищеварительного тракта,тяжелые бактериальные инфекции,сниженная функция надпочечников (болезнь Аддисона)