№1 Биосинтез белка
Трансляция - перевод генетического текста иРНК в последовательность АК в белке.
Необходимый комплекс факторов:
Этапы трансляции:
1. рекогниция – «распознавание»;
2. инициация – «начало»;
3. эллонгация – «продолжение, удлинение»;
4. терминация - «прекращение»;
5. процессинг – «созревание».
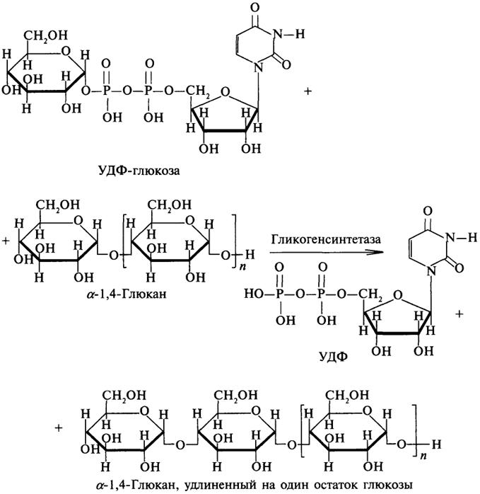
Распад и синтез гликогена
Б
иологический
синтез гликогена
Установлено, что гликоген образуется почти во всех клетках организма, однако наибольшее содержание гликогена обнаружено в печени (2-6%) и в мышцах (0,5-2%). Т.к. общая мышечная масса организма человека велика, то большая часть всего гликогена содержится в мышцах.
Биосинтез гликогена. Иначе биосинтез гликогена называется гликогеногенезом.

83
Фосфоролиз является основным путем распада гликогена
Механизм
образования мочи
Механизм образования мочи – это жизненно важный процесс, реализуемый почками, включает три составляющих: фильтрацию, реабсорбцию и секрецию.
1. Ультрафильтрация – в клубочках за счет разницы гидростатических давлений образуется первичная моча (180 л/сут), которая по своему составу почти не отличается от плазмы крови, но практически не содержит белка (могут присутствовать микроколичества альбуминов). Т.е. образуется безбелковый фильтрат.
2. Канальцевая реабсорбция – обратно всасывается вода, ионы натрия, хлора, магния, фосфора, гидрокарбонаты, глюкоза, белок, т.е. те вещества, в которых нуждается организм. В результате моча становится более концентрированной. Способность концентрировать мочу – важный показатель функции почек. Он оценивается по плотности мочи.
Практически не реабсорбируется креатинин, в небольшом количестве реабсорбируется мочевина, мочевая кислота, т.е. имеет место избирательная реабсорбция.
3. Секреция ионов калия, аммония, водорода. При увеличении концентрации веществ секретируется вода. Образуется торичная моча. Свободный и связанный билирубин. Этиология желтух
Билирубин – токсичное, жирорастворимое вещество, способное нарушать окислительное фосфорилирование в клетках. Особенно чувствительны к нему клетки нервной ткани.

Строение билирубина
Билирубин в комплексе с альбумином называется свободный (неконъюгированный) или непрямой билирубин.
Билирубин-глюкуронид получил название связанный (конъюгированный) или прямой билирубин.
К
ак
правило, связана с нарушением процессов
катаболизма гема и выражается
гипербилирубинемией и проявляется в
желтушечности кожи и видимых слизистых
оболочек. Накапливаясь в ЦНС, билирубин
вызывает интоксикацию. При гипербилирубинхмиях
меняется соотношение НБ и КБ.
Выделяют следующие желтухи:
1. Механическая (обтурационная),
2. Паренхиматозная (острые гепатиты).
3. Гемолитическая
4. Физиологическая желтуха новорожденных.
5. Наследственная желтуха.
№2
Фенилаланин - незаменимая аминокислота, так как в клетках животных не синтезируется её бензольное кольцо. Тирозин - условно заменимая аминокислота, поскольку образуется из фенилаланина.
Основное количество фенилаланина расходуется по 2 путям:
включается в белки;
превращается в тирозин.
Обмен тирозина значительно сложнее, чем обмен фенилаланина. Кроме использования в синтезе белков, тирозин в разных тканях выступает предшественником таких соединений, как катехоламины, тироксин, меланины, и ка-таболизируется до СО2 и Н2О.

Синтез катехоламинов происходит в цитоплазме и гранулах клеток мозгового слоя надпочечников

холестерин – это липид (жир), который в основном образуется в печени и имеет ключевое значение для нормального функционирования организма
Холестерин в норме 3-5,2 ммоль/л. В плазме находится в составе ЛПНП, ЛПОНП и ЛПВП. В норме у взрослого коэффициент атерогенности не более 3,0. У новорожденного – не более 1,0.\
Атеросклероз и ожирение более 6 ммоль/л
Гиперхолестеринемия может свидетельствовать об:
атеросклерозе (избыток ЛПНП и ЛПОНП);
сахарном диабете (избыток ацетил-Ко А);
ожирении;
гипотиреозе;
обтурационной (подпеченочной) желтухе.
Гипохолестеринемия:
голодание;
нарушение функции печени;
гипертиреоз (за счет катаболизма).
Ферменты – это биологические катализаторы белковой природы
Строение ферментов. В пространственной структуре фермента условно выделяют ряд участков, которые выполняют соответствующие им функции. Активный центр (АЦ) – участок в молекуле фермента, где происходит связывание и химическое превращение субстрата (S). Субстрат – вещество, подвергающееся химическому превращению (например, для фермента лактатдегидрогеназы (ЛДГ) субстратом будет молочная кислота). В активном центре выделяется контактный участок и каталитический участок. Контактный участок – это место активного центра, в котором происходит связывание фермента с субстратом по принципу комплементарности, т.е. именно контактный участок обеспечивает специфическое сродство субстрата ферменту. Образовавшийся комплекс носит название фермент-субстратный комплекс. Каталитический участок (центр) – это место в активном центре фермента, где происходит химическое превращение субстрата
Ряд ферментов могут содержать аллостерический центр.
Глюкоза - один из важнейших компонентов крови, который отражает состояние углеводного обмена

Первичным сигналом для синтеза и секреции инсулина и глюкагона является изменение уровня глюкозы в крови. В норме концентрация глюкозы в крови соответствует 3,3-5,5 ммоль/л (60- 100 мг/дл).
Инсулин - белковый гормон, синтезируется и секретируется в кровь р-клетками островков Лангерханса поджелудочной железы, β-клетки чувствительны к изменениям содержания глюкозы в крови и секретируют инсулин в ответ на повышение её содержания после приёма пищи. Транспортный белок (ГЛЮТ-2), обеспечивающий поступление глюкозы в β-клетки, отличается низким сродством к ней. Следовательно, этот белок транспортирует глюкозу в клетку поджелудочной железы лишь после того, как её содержание в крови будет выше нормального уровня (более 5,5 ммоль/л).
Глюкагон - "гормон голода", вырабатываемый α-клетками поджелудочной железы в ответ на снижение уровня глюкозы в крови. По химической природе глюкагон - пептид.
Адреналин выделяется из клеток мозгового вещества надпочечников в ответ на сишалы нервной системы, идущие из мозга при возникновении экстремальных ситуаций (например, бегство или борьба), требующих внезапной мышечной деятельности. Адреналин является сигналом "тревоги". Он должен мгновенно обеспечить мышцы и мозг источником энергии.

№3 билет 1.энергетический баланс.катаболизм.анаболизм.метаболизм
Обмен
веществ и энергии — это совокупность
физических, химических и физиологических
процессов усвоения питательных веществ
в организме с высвобождением энергии.
В обмене веществ выделяют два
взаимосвязанных, но разнонаправленных
процесса — анаболизм и катаболизм.
Анаболизм — это совокупность процессов
биосинтеза органических соединений,
компонентов клеток, органов и тканей
из поглощенных питательных веществ.
Катаболизм — это процессы расщепления
сложных компонентов до простых веществ,
обеспечивающих энергетические и
пластические потребности организма.
Жизнедеятельность организма обеспечивается
энергией за счет анаэробного и аэробного
катаболизма поступающих с пищей белков,
жиров и углеводов.
2.цАМФ.цГМФ

Циклический аденозинмонофосфат производное АТФ, выполняющее в организме роль вторичного посредника, использующегося для внутриклеточного распространения сигналов некоторых гормонов (например, глюкагона или адреналина), которые не могут проходить через клеточную мембрану.
Циклический гуанозинмонофосфат это циклическая форма нуклеотида, образующаяся из гуанозинтрифосфата (GTP) ферментом гуанилатциклазой. цГМФ действует как вторичный посредник и его действие подобно цАМФ, в основном активируя внутриклеточные протеинкиназы в ответ на связывание с клеточной мембранойпептидных гормонов (для которых мембрана непроницаема) с внешней стороны клетки 3. Авитаминозыгипо и гипер
Витамины – это низкомолекулярные биологически активные вещества органической природы, без которых невозможно протекание важнейших биохимических и физиологических процессов в живых организмах.
При полном отсутствии в организме какого-либо витамина развивается авитаминоз – тяжелейшее заболевания, которое может стать причиной других болезней, таких как рахит, цинга, пеллагра, бери-бери, куриная слепота.
Также, кроме недостатка витаминов, существует другая крайность, приносящая вред организму — их избыток. При избыточном употреблении витаминов происходит отравление организма (интоксикация), которое называется гипервитаминоз. Чаще всего оно наблюдается у молодых людей, занимающихся бодибилдингом и неумеренно употребляющих пищевые добавки и витаминные препараты. 4.все про воду1. Участие в ферментативных реакциях гидролиза. Поэтому
катаболизм в клетке любых полимерных молекул (триацилглицеролов, гликогена) и получение из них энергии не может происходить без воды,
переваривание пищевых веществ ухудшается в состоянии недостаточности воды.
2. Формирование клеточных мембран основано на амфифильности фосфолипидов, т.е. на способности фосфолипидов автоматически формировать полярную поверхность мембраны и гидрофобную внутреннюю фазу. Как следствие, при снижении объема внутри- и внеклеточной воды часть фосфолипидов оказывается "лишней" и происходит деформация мембран клеток.
3. Вода формирует гидратную оболочку вокруг молекул. Это обеспечивает
растворимость веществ, в частности белков-ферментов, и должное взаимодействие их поверхностных гидрофильных аминокислот с окружающей водной средой. При уменьшении доли воды в среде взаимодействие ухудшается, изменяется конформация фермента и, значит, варьирует скорость ферментативных реакций,
транспорт веществ в крови и в клетке.
4. Вода создает активный объем клетки и межклеточного пространства. Связывание воды с органическими структурами межклеточного матрикса – коллагеном, гиалуроновой кислотой, хондроитин-сульфатами и другими соединениями обеспечивает тургор и упругость тканей. Наглядно это проявляется при крайнем обезвоживании организма, когда наблюдается спадение глазных яблок и неэластичность кожи.
В качестве примера проявления скрытого дефицита воды можно указать дегенерацию суставов при артрозах. В доклинической стадии сухость и шероховатость хрящевых поверхностей приводят к повышению трения и сцепления в суставе, что проявляется как слышимый при движении скрип и хруст. В дальнейшем развиваются истончение и истирание суставного хряща, снижение его аммортизационных свойств, появление болей и начало клинических стадий остеоартроза.
5. Состояние жидких сред организма (кровь, лимфа, пот, моча, желчь) напрямую зависит от количества в них воды. Сгущение и концентрирование этих жидкостей приводит к снижению растворимости их компонентов – солей, органических веществ, и усилению кристаллообразования в моче и желчи.
6. Достаточное количество воды поддерживает стабильность артериального давления.
№4 : ) Тканевое дыхание, окисление, ЦТК;
Тканевое дыхание – процесс поглощения кислорода (О2) тканями при окислении орга- нического субстрата с выделением углекислого газа (СО2) и воды (Н2О).

Оксалоацетат - конечный продукт ЦТК может вступить во взаимодействие с новыми молекулами ацетил-КоА.
Значение ЦТК.
1.Интегративное – цикл Кребса объединяет пути катаболизма углево- дов, белков и жиров, т.к. в нем утилизируется молекулы ацетил-КоА, образующиеся при расщеплении этих веществ.
2.Энергетическое. При расщеплении 1 молекулы ацетил-КоА до конечных продуктов (СО2 и Н2О) генерируется 12 молекул АТФ.
3.Амфиболическое (двойственное). В ЦТК происходит не только катаболические про- цессы – окисление ацетил-КоА. Субстраты ЦТК используются и для реакций синтеза (анабо- лические процессы).