3.Йодотиронины,синтез, строение,влияние на обмен веществ

Синтез

Фермент тириопероксидаза МИТ+ДИТ->актив.трийодтиронин

4.Физические и химические свойства мочи

Состав
На 97 % моча человека состоит из воды. Содержит азотистые продукты распада белковых веществ: мочевину, мочевую и гиппуровую кислоты, креатинин, ксантин,
У человека в норме моча прозрачна, светло-желтого цвета. Жёлтую окраску ей придаёт уробилин. Окраска меняется при приёме лекарственных препаратов, некоторых продуктов.
Полиурия — моча более светлая.
Олигурия — моча более насыщенная.
ФИЗИЧЕСКИЕ СВОЙСТВА МОЧИ И ИХ ИЗМЕНЕНИЕ ПРИ ПАТОЛОГИИ
Физические свойства мочи здорового человека, их изменения при патологии
I. Количество мочи в норме 1,2-1,5 л.
► Полиурия – увеличение количества мочи из-за:
1) увеличения фильтрации (под действием адреналина увеличивается фильтрационное давление в капиллярах почек);
2) увеличения онкотического давления при снижении концентрации белков в плазме;
3) снижения реабсорбции воды и натрия при недостатке вазопрессина (несахарный диабет);
4) снижения активности натрий-сберегающих процессов (ацидогенез и аммониогенез);
5) повышения концентрации осмотически активных веществ (глюкоза, белки, мочевина и др.);
6) угнетения систем реабсорбции при повреждении почечных канальцев.
► Олигоурия – снижение количества мочи из-за:
1) снижения фильтрации (снижение АД и давление в капиллярах почечных клубочков);
2) снижения онкотического и коллоидно-осмотического давления крови (парапротеины);
3) снижения обратного всасывания натрия и воды (гиперсекреция альдостерона и вазопрессина);
4) угнетения всех фаз образования мочи (резкое снижение количества функционирующих нефронов).
► Анурия – полное отсутствие мочи при выраженной почечной недостаточности.
II. Цвет в норме от светло-желтого до темно-желтого.
При патологии моча может быть:
бесцветна за счет полиурии;
насыщенно-желтого цвета при обезвоживании;
цвета пива (коричневато-зеленовато-бурый) за счет желчных пигментов при подпочечной и печеночной желтухах из-за появления конъюгированого билирубина;
розового цвета при эритроцитурии (в умеренном количестве) или при патологии почечного фильтра;
ярко-красного цвета при наличии в моче свежей крови (травма мочевыводящей системы или гематурия, которая может быть почечной и внепочечной).
III. Запах в норме специфический. При патологиях может быть:
резко-аммиачный при повышенном распаде белков в организме;
фруктовый или ацетона – при наличии кетоновых тел (сахарный диабет, голодание);
гнилостный – процессы распада в мочевом пузыре (гангрена);
каловый – при наличии пузырно-ректальных свищей.
IV. Реакция среды в норме слабо-кислая (рН=5,0-7,0).
Увеличение рН (щелочная реакция) – угнетение функции почек, алкалоз.
Понижение рН (кислая реакция) – ацидоз за счет удаления избытка протонов и за счет выделения кетоновых тел.
При употреблении значительного количества белковой пищи происходит закисление, а растительной – защелачивание.
V. Суточные колебания плотности в норме 1,005-1,030 г/мл.
VI. Прозрачность мочи в норме полная. Может быть:
мутная из-за присутствие нерастворимых солей (уратов, оксалатов), слизи, гноя, белка.
№46
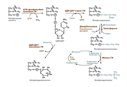
1. Биосинтез фосфолипидов. интеннсивно происходит в печени, стенке кишечника,семенниках, яичниках, молочной железе и других тканях. Наиболее важныефосфолипиды синтезируются главным образом в эндоплазма-тической сетиклетки.
Центральную роль в биосинтезе фосфолипидов играют 1,2-диглицериды (в синтезе фосфатидилхолинов и фосфатидилэтаноламинов), фосфатиднаякислота (в синтезе фосфатидилинозитов) и сфингозин (в синтезе сфин-гомиелинов). Цитидинтрифосфат (ЦТФ) участвует в синтезе практически всехфосфолипидов. В качестве примера рассмотрим синтез отдельных представителей фосфолипидов.

2. Переваривание белков в желудке: роль соляной к-ты,
желудочного сока, протеолитических ферментов.
Переваривание белков в желудке
Желудочный сок - продукт нескольких типов клеток. Обкладочные (париетальные) клетки стенок желудка образуют соляную кислоту, главные клетки секретируют пепсиноген.
1. Образование и роль соляной кислоты
Основная пищеварительная функция желудка заключается в том, что в нём начинается переваривание белка. Существенную роль в этом процессе играет соляная кислота. Белки, поступающие в желудок, стимулируют выделение гистамина и группы белковых гормонов -гастринов (см. раздел 11), которые, в свою очередь, вызывают секрецию НСI и профермента - пепсиногена. НСI образуется в обкладочных клетках желудочных желёз в ходе реакций, представленных на рис. 9-2.

Под действием НСl происходит денатурация белков пищи, не подвергшихся термической обработке, что увеличивает доступность пептидных связей для протеаз. НСl обладает бактерицидным действием и препятствует попаданию патогенных бактерий в кишечник. Кроме того, соляная кислота активирует пепсиноген и создаёт оптимум рН для действия пепсина.
Протеолитические ферменты (синоним: протеазы) — белки, пептид-гидролазы, ферменты класса гидролаз, расщепляющие пептидные связи между аминокислотами в белках и пептидах.
3. Паратгормон, кальцитонин, витамин D3.
Паратиреоидный гормон
Синтез Идет в паращитовидных железах. Реакции синтеза гормона высоко активны.
Гипофункция
Возникает при случайном удалении железы при операциях на щитовидной железе, аутоиммунной деструкции ткани желез. Возникающая гипокальциемия и гиперфосфатемия проявляется в виде высокой нервно-мышечной возбудимости, судорог, тетании. При резком снижении кальция возникает дыхательный паралич, ларингоспазм.
Гиперфункция
Первичный гиперпаратиреоз возникает при аденоме желез. Нарастающая гиперкальциемия вызывает повреждение почек, мочекаменную болезнь.
Вторичный гиперпаратиреоз является результатом почечной недостаточности
Кальцитонин Синтез Осуществляется в парафолликулярных клетках щитовидной железы.
Витамин D
Антирахитический витамин. Существуют два витамера:
D2 – эргокальциферол и D3 – холекальциферол.
Витамин D2 содержится в грибах. Витамин D3 синтезируется в организме под действием УФО (ультрафиолетового облучения):
7-дегидрохолестерол → холекальциферол (D3)

Роль витамина D в обмене веществ:
Витамин D3 (холекальциферол) подвергается в организме превращению. Он поступает в печень, где под действием 25-гидроксилазы превращается в 25-гидроксихолекальциферол, затем в почках под действием ПТГ и 1-гидроксилазы – в 1,25-дигидроксихолекальциферол (гормон кальцитриол)
Гиповитаминоз D приводит к снижению уровня кальция в крови, снижению кальция и фосфора в межклеточном пространстве, нарушению минерализации костной ткани.
Авитаминоз D – рахит.
Суточная потребность вит. D 0,012-0,025 мг.
Источники витамина D: яичный желток, рыбий жир, сливочное масло (лучше летнее), печень, молоко.
глюкозурия — это редкое врожденное заболевание, при котором глюкоза (сахар) выводится с мочой, несмотря на ее нормальное содержание в крови. Это связано с нарушением обратного всасывания глюкозы в кровь после фильтрации ее почками.
При данном заболевании, как правило, нет ярких клинических признаков. Врач ставит диагноз, когда в моче обнаруживается высокий уровень сахара.
Определение ацетона в моче (ацетонурия) – нередко диабет осложняется нарушением обмена веществ с развитие кетоацидоза (накопление в крови органических кислот промежуточных продуктов метаболизма жиров). Определение в моче кетоновых тел служит признаком тяжести состояния пациента с кетоацидозом.
Сахарный диабет – это одно из самых распространенных эндокринных заболеваний человека. Основной клинической характеристикой сахарного диабета является длительное повышение концентрации глюкозы крови, как следствие нарушения метаболизма глюкозы в организме.
Основными симптомами диабета являются: Полиурия (избыточное выделение мочи) Полидипсия (сильная жажда) – является следствием усиленной потери воды с мочой. Потеря веса.
Билет 47





![]()


секретируется островковым аппаратом поджелудочной железы –Б клетками

Регуляция секреции инсулина. Концентрация инсулина в крови увеличивается при увеличении содержания глюкозы и наоборот, а также Са:+, некоторых аминокислот и ц-АМФ. При хроническом влиянии избыточных количеств гормонов роста, кортизола, плацентарного лактогена секреция инсулина повышается (поздние сроки беременности). Производные сульфонилмочевины стимулируют секрецию инсулина. Период полужизни инсулина - 3-5 минут. Метаболизм инсулина происходит в печени, почках, плаценте с помощью инсулин-специфической протеиназы (инсулиназы) и глутатион-инсулин-транс-гидрогеназы.
При недостаточном синтезе инсулина, нарушении его структуры,
переходе проинсулина в инсулин, усилении активности инсулиназы в крови, уменьшении количества рецепторов на плазматических мембранах клеток или нарушении действия клеточных трансмиттеров развивается сахарный диабет. Клинически это проявляется гипергликемией, глюкозурией, полиурией, полиидипсией.
Белки в норме не выделяются, а их появление в моче (протеинурия) происходит или вследствие нарушения фильтрационной функции почек(почечная протеинурия), или вследствие поражения мочевыводящих путей воспалительного, деструктивного характера (внепочечная протеинурия). Определение активности ферментов в моче используется для диагностики преимущественно заболеваний почек, поскольку основным источником ферментурии являются клетки нефроэпителия, в то время как влияние других причин минимально. По отделам нефрона ферменты распределены неравномерно; в зависимости от глубины и уровня поражения почек в мочу выделяются ферменты, имеющие различную субклеточную локализацию. Ферментурия применяется для диагностики уровня поражения при ИМС (пиелонефрит или цистит)
№ 48