Окисли́тельное декарбоксили́рование пирува́та — биохимический процесс, заключающийся в отщеплении одной молекулы углекислого газа (СО2) от молекулыпирувата и присоединения к декарбоксилированному пирувату кофермента А (СоА) с образованием ацетил-СоА; является промежуточным этапом между гликолизом ициклом трикарбоновых кислот. Декарбоксилирование пирувата осуществляет сложный пируватдегидрогеназный комплекс (PDH), включающий в себя 3 фермента и 2 вспомогательных белка, а для его функционирования необходимы 5 кофакторов (СоА, NAD+, тиаминпирофосфат (ТРР), FAD и липоевая кислота (липоат)). Суммарное уравнение окислительного декарбоксилирования пирувата таково[1]:

2. ДНК репликация РЕПЛИКАЦИЯ (от позднелат. replicatio - повторение) (редупликация), самовоспроизведение нуклеиновых к-т (обычноДНК, у нек-рых вирусов РНК), обеспечивающее точное копирование генетич. информации и передачу ее от поколения к поколению. При репликации ДНК нуклеотидная последовательность копируется (целиком или частично) в виде комплементарной последовательности (см. Комплементарность) дезоксирибонуклеотидов.
В процессе репликации двойная спираль ДНК, состоящая из двух комплементарных полинуклеотидных цепей, раскручивается на отдельные цепи и одновременно начинается синтез новых полинуклеотидных цепей; при этом исходные цепи ДНК играют роль матриц. Новая цепь, синтезирующаяся на каждой из исходных цепей, идентична др. исходной цепи. Когда процесс завершается, образуются две идентичные двойные спирали, каждая из к-рых состоит из одной старой (исходной) и одной новой цепи (рис. 1). Таким образом от одного поколения к другому передается только одна из двух цепей, составляющих исходную молекулу ДНК
Гонады - яйчники и семенники - железы смешанного типа. По химической природе их гормоны - стероиды. Андрогены (мужские) синтезируются в семенниках и коре надпочечников. Эстрогены (женские) - в яичниках и коре надпочечников. Синтезируются из холестерола, который образуется из Ац-КоА. Ац-КоА→ холестерол→ прегненолон →прогестерон →кортикостероиды. Из прогестерона также образуются андрогены (тестостерон) , а из них - эстрогены. Эстрогены: эстрадиол, эстрон (образуется из эстрадиола в плаценте), эстриол, прогестерон.

№25 1. ПЕНТОЗОФОСФАТНЫЙ ПУТЬ
Пентозофосфатный путь представляет собой прямое окисление глюкозы и протекает в цитоплазме клеток. Наибольшая активность ферментов пентозофосфатного пути обнаружена в клетках печени, жировой ткани, коры надпочечников, молочной железы в период лактации, зрелых эритроцитах. Низкий уровень этого процесса выявлен в скелетных и сердечной мышцах, мозге, щитовидной железе, легких
в пентозофосфатном пути можно выделить две фазы - окислительную и неокислительную.
Исходным субстратом окислительной фазы является глюкозо-6-фосфат

Неокислительная фаза пентозофосфатного пути начинается с реакций изомеризации


.
![]()
![]()

![]()
Таким образом, полное окисление 1 молекулы глюкозы в пентозофосфатном пути сопровождается восстановлением 12 молекул НАДФ.
Самовоспроизведение нуклеиновых к-т (обычно ДНК, у нек-рых вирусов РНК), обеспечивающее точное копирование генетич. информации и передачу ее от поколения к поколению. При репликации ДНК нуклеотидная последовательность копируется (целиком или частично) в виде комплементарной последовательности (см. Комплементарность) дезоксирибонуклеотидов.
В процессе репликации двойная спираль ДНК, состоящая из двух комплементарных полинуклеотидных цепей, раскручивается на отдельные цепи и одновременно начинается синтез новых полинуклеотидных цепей; при этом исходные цепи ДНК играют роль матриц. Новая цепь, синтезирующаяся на каждой из исходных цепей, идентична др. исходной цепи. Когда процесс завершается, образуются две идентичные
двойные спирали, каждая из к-рых состоит из одной старой (исходной) и одной новой цепи (рис. 1). Таким образом от одного поколения к другому передается только одна из двух цепей, составляющих исходную молекулу ДНК,-т. наз. полуконсервативный механизм репликации.

№26
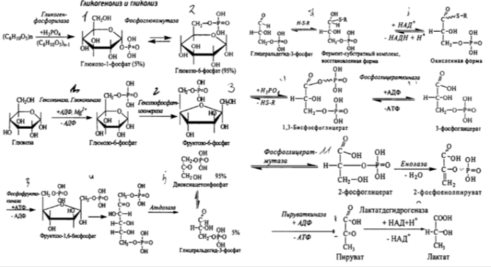
Распад и синтез гликогена
Биологический синтез гликогена
Установлено, что гликоген образуется почти во всех клетках организма, однако наибольшее содержание гликогена обнаружено в печени (2-6%) и в мышцах (0,5-2%). Т.к. общая мышечная масса организма человека велика, то большая часть всего гликогена содержится в мышцах.
Биосинтез гликогена. Иначе биосинтез гликогена называется гликогеногенезом.



Фосфоролиз является основным путем распада гликогена

Пуриновые азотистые основания разрушаются до мочевой к-ты, а пиримидиновые – до бета-аланина, аммиака NH3, углекислоты CO2.
Транспорт АК через цитолемму является активным и требует градиента Na+. Такой градиент создается ферментом Na+,K+-АТФ-азой, расположенным в цитолемме эпителиоцитов. Существует более пяти переносчиков АК:
для нейтральных алифатических АК (ЛЕЙ, ИЛЕ),
для ароматических АК,
для основных АК,
для кислых АК,
для АК пролина (ПРО).
А также имеется гамма-глутаминовый цикл (шунт), содержащий гамма-глутамилтранспептидазу (ГТТП, иначе гамма-глутамилтрансфераза – ГТТФ). Он имеет большое значение в определении функции печени, характеризуя степень усвоения АК гепатоцитами. ,
3 гормоны которые влияют на глюкозу,
Глюкоза - один из важнейших компонентов крови, который отражает состояние углеводного обмела

Инсулин - белковый гормон, синтезируется и секретируется в кровь р-клетками островков Лангерханса поджелудочной железы, β-клетки чувствительны к изменениям содержания глюкозы в крови и секретируют инсулин в ответ на повышение её содержания после приёма пищи. Транспортный белок (ГЛЮТ-2), обеспечивающий поступление глюкозы в β-клетки, отличается низким сродством к ней. Следовательно, этот белок транспортирует глюкозу в клетку поджелудочной железы лишь после того, как её содержание в крови будет выше нормального уровня (более 5,5 ммоль/л).
Глюкагон - "гормон голода", вырабатываемый α-клетками поджелудочной железы в ответ на снижение уровня глюкозы в крови. По химической природе глюкагон - пептид.
Адреналин выделяется из клеток мозгового вещества надпочечников в ответ на сишалы нервной системы, идущие из мозга при возникновении экстремальных ситуаций (например, бегство или борьба), требующих внезапной мышечной деятельности. Адреналин является сигналом "тревоги". Он должен мгновенно обеспечить мышцы и мозг источником энергии.
4 распад гема .
За сутки у человека распадается около 9 г гемопротеинов, в основном это гемоглобин эритроцитов. Эритроциты живут 90-120 дней, после чего лизируются в кровеносном русле или в селезенке.
При разрушении эритроцитов в кровяном русле высвобождаемый гемоглобин образует комплекс с белком-переносчиком гаптоглобином (фракция α2-глобулинов крови) и переносится в клетки ретикуло-эндотелиальной системы (РЭС) селезенки (главным образом), печени и костного мозга.

№27




Гормоны задней доли гипофиза (нейрогипофиза):
- вазопрессин (антидиуретический гормон);
- окситоцин.
Синтезируются в гипоталамусе, а выделяются из задней доли гипофиза.
Вазопрессин - по структуре пептид, состоящий из 9 АК.
Эти гормоны влияют на сокращения гладкой мышечной ткани, но клетки-мишени различны. Для вазопрессина это клетки сосудов и дистальных извитых канальцев и извитых трубочек почек. В связи с этим вазопрессин повышает обратное всасывание воды (реабсорбцию) в почках, т.е. диурез снижается и повышается сокращение гладкомышечных клеток сосудов. Он действует через вторичный посредник - цАМФ. При нарушении секреции вазопрессина может развиться несахарный диабет (несахарное мочеизнурение - нарушается реабсорбция и объем воды повышается - полиурия, но в моче нет глюкозы).
Окситоцин действует на гладкомышечную ткань матки и молочных желез. Посредник неизвестен. Используется для стимуляции родовой деятельности, оптимизирует секрецию молока.
Функции почек
I. Экскреторная функция – выделение мочевины, мочевой кислоты, креатинина, ксенобиотиков, лекарств, токсинов, избытка воды, микроэлементов, электролитов.
1. Ультрафильтрация – в клубочках за счет разницы гидростатических давлений образуется первичная моча (180 л/сут), которая по своему составу почти не отличается от плазмы крови, но практически не содержит белка (могут присутствовать микроколичества альбуминов). Т.е. образуется безбелковый фильтрат.
2. Канальцевая реабсорбция – обратно всасывается вода, ионы натрия, хлора, магния, фосфора, гидрокарбонаты, глюкоза, белок, т.е. те вещества, в которых нуждается организм. В результате моча становится более концентрированной. Способность концентрировать мочу – важный показатель функции почек. Он оценивается по плотности мочи.
3. Секреция ионов калия, аммония, водорода. При увеличении концентрации веществ секретируется вода. Образуется вторичная моча.
Вещества, находящиеся в моче, делятся на:
1) в норме не фильтруемые грубодисперсные высокомолекулярные соединения, которые в норме не могут преодолеть почечный барьер (глобулины). Их появление говорит о нарушении фильтрации.
2) в норме фильтруемые: присутствуют в первичной моче, но не все из них присутствуют во вторичной моче. Они делятся на пороговые и беспороговые.
№28
Простагландины, простациклины, тромбоксаны и лейкотриены
Это гормоноподобные вещества, которые в организме человека образуются из полиненасыщенных ВЖК. Главным предшественником этих соединений является арахидоновая кислота, которая в организме может образовываться из незаменимых ВЖК.
Биосинтез начинается с момента, когда под действием фосфолипазы А2 из ФЛ выделяется арахидоновая кислота, занимающая центральное место в метаболизме. В дальнейшем под влиянием фермента циклооксигеназы, а в лейкоцитах – липооксигеназы, в структуру арахидоновой кислоты включается молекула кислорода.
В случае образования простаноидов образуются циклические соединения, а лейкотриены являются ациклическими соединениями. простагландины и простациклины являются 5-членными циклическими соединениями, а тромбоксаны – 6-членными.