Тропные гормоны действуют на периферические эндокринные железы, а те, в свою очередь, на ткани-мишени, в которых формируется физиологический или биохимический ответ. [можно оформить в виде вертикальной схемы со стрелочками] Также существует обратная связь между периферическими железами и тропными гормонами.
За обмен кальция и фосфатов в организме отвечают три гормона – кальцитриол, кальцитонин и паратиреоидный гормон.
Образующийся в коже под действием ультрафиолета и поступающие с пищей холекальциферол (витамин D3) и эргокальциферол (витамин D2) гидроксилируются в печени по С25 и в почках по С1. В результате формируется 1,25-диоксикальциферол (кальцитриол).
Идет в паращитовидных железах. Реакции синтеза гормона высоко активны.
Осуществляется в парафолликулярных клетках щитовидной железы.
№21
Эпителиальные клетки кишечника способны всасывать только моносахариды. Поэтому процесс переваривания заключается в ферментативном гидролизе гликозидных связей в углеводах, имеющих олиго- или полисахаридное строение
Гидролиз
гликозидной связи

Трансляция (биосинтез белка)
Трансляция - перевод генетического текста иРНК в последовательность АК в белке.
Необходимый комплекс факторов:
Этапы трансляции:
1. рекогниция – «распознавание»;
2. инициация – «начало»;
3. эллонгация – «продолжение, удлинение»;
4. терминация - «прекращение»;
5. процессинг – «созревание».
Биосинтез белка, хотя непосредственно и регулируется рибонуклеиновыми кислотами, опосредованно связан с контролирующим влиянием ДНК ядра и что РНК сначала синтезируется в ядре, затем поступает в цитоплазму, где выполняет роль матрицы в синтезе белка. Полученные значительно позже экспериментальные данные подтвердили гипотезу о том, что основной функцией нуклеиновых кислот является не только хранение генетической информации, но и реализация этой информации путем программированного синтеза специфических белков.
Инсулин – единственный гормон, обеспечивающий транспорт глюкозы в клетки органов и тканей. В случае недостаточной его выработки или отсутствия вообще происходит нарушение биоэнергетики клеток, органов и тканей. В этом случае интенсивному окислению подвергаются белки и липиды, что сопровождается избыточной продукцией аммиака и Ац-КоА.
Строение: Молекула инсулина образована двумя полипептидными цепями, содержащими 51 аминокислотный остаток: A-цепь состоит из 21 аминокислотного остатка, B-цепь образована 30 аминокислотными остатками. Полипептидные цепи соединяются двумя дисульфидными мостиками через остатки цистеина, третья дисульфидная связь расположена в A-цепи.
Синтез: В процессе созревания из молекулы проинсулина с помощью специфических эндопептидаз вырезается C-пептид — фрагмент из 31 аминокислоты, соединяющий B-цепь и A-цепь. То есть молекула проинсулина разделяется на инсулин и биологически инертный пептидный остаток.
В секреторных гранулах инсулин, соединяясь с ионами цинка, образует кристаллические гексамерные агрегаты.
Свёртывание крови – это важнейший этап работы системы гемостаза, отвечающий за остановку кровотечения при повреждении сосудистой системы организма. Совокупность взаимодействующих между собой весьма сложным образом различных факторов свёртывания крови образуют систему свёртывания крови.
Противосвертываюшая система принимает участие в регуляции системы свертывания крови, способствует сохранению жидкостного состояния крови при циркуляции и предупреждает переход локального тромбообразования в слишком распространенное или диффузное свертывание.
№22
Глюкагон - "гормон голода", вырабатываемый α-клетками поджелудочной железы в ответ на снижение уровня глюкозы в крови. По химической природе глюкагон - пептид.
Адреналин выделяется из клеток мозгового вещества надпочечников в ответ на сишалы нервной системы, идущие из мозга при возникновении экстремальных ситуаций (например, бегство или борьба), требующих внезапной мышечной деятельности. Адреналин является сигналом "тревоги". Он должен мгновенно обеспечить мышцы и мозг источником энергии.

4. Физико-химический состав мочи. Мочекаменная болезнь. Количество мочи, выделяемой за сутки взрослым здоровым человеком {диурез), колеблется от 1000 до 2000 мл — это примерно 50—80% от принятой за это время жидкости Относительная плотность мочи (удельный вес) определяется концентрацией находящейся в ней элементов (белка, глюкозы, мочевины, солей натрия и т.д.). Показатели плотности утренней мочи, равные или превышающие 1,018, говорят о нормальной концентрационной активности Реакция мочи (рН) определяется с использованием индикаторных тест-полосок. У здоровых людей она составляет 5,00—7,Белок в моче Обнаруживается у больных с поражениями почек и (или) мочевыводящих путей. концентрация белка в моче возрастает (это называется протеинурией) и может дойти до 100 г/л. У здорового человека концентрация белка в моче не превышает 0,002 г/л Глюкоза в моче концентрация глюкозы в крови превышает так называемый почечный порог (9,99 моль/л). Кетоновые тела чаще всего присутствуют в моче при тяжело протекающем сахарном диабете,

Мочекаменная болезнь (уролитиаз) — это хроническое заболевание, характеризующееся образованием в почках мочевых камней (конкрементов) в результате нарушения обмена веществ и местных, воспалительных изменений со стороны мочевыводящих путей, из веществ входящих в состав мочи.
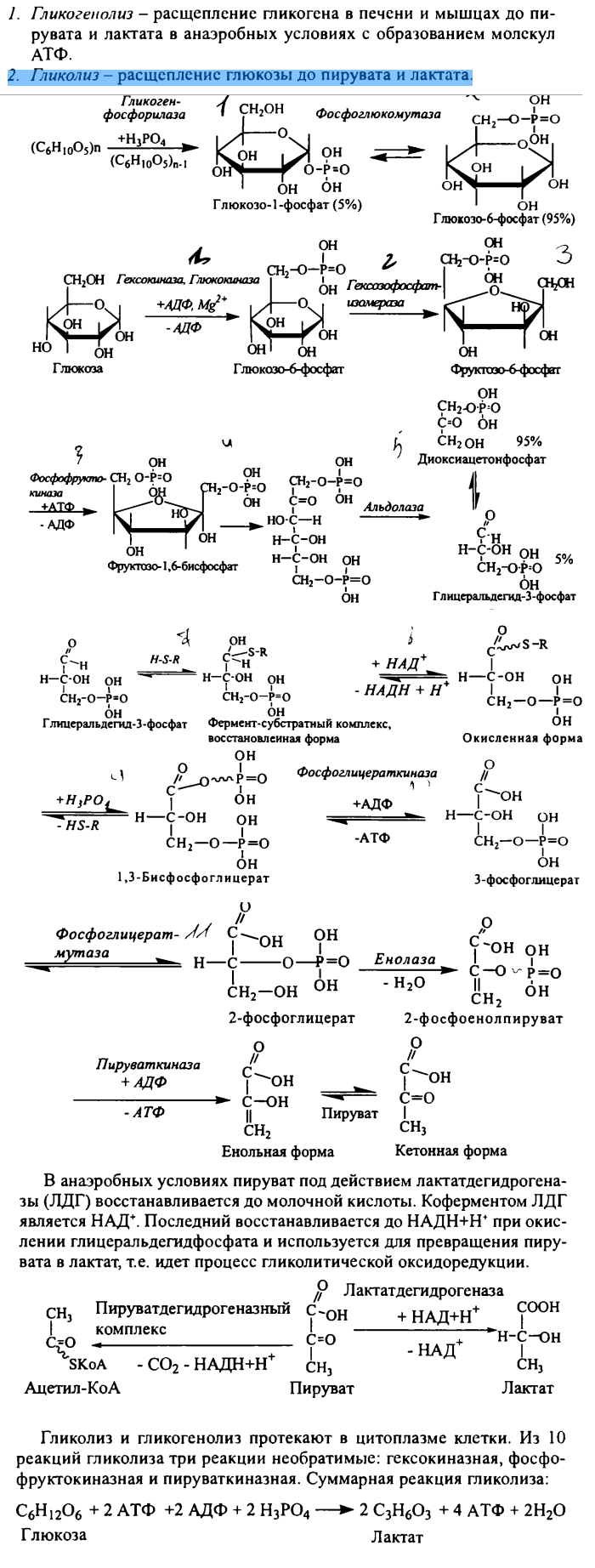
1гликолиз.гликогенолиз.
Билет №23 1)Глюкозурия,азотурия...причины
глюкозурия — это редкое врожденное заболевание, при котором глюкоза (сахар) выводится с мочой, несмотря на ее нормальное содержание в крови. Это связано с нарушением обратного всасывания глюкозы в кровь после фильтрации ее почками. При данном заболевании, как правило, нет ярких клинических признаков. Врач ставит диагноз, когда в моче обнаруживается высокий уровень сахара. Однако в некоторых случаях данное заболевание начинает прогрессировать. С мочой теряется много глюкозы, в крови, следовательно, падает ее уровень. Вслед за глюкозой с мочой организм начинает терять воду и минеральные электролиты (калий), необходимые для нормальной жизнедеятельности клеток.
Азотемия Повышенное содержание в крови человека азотистых продуктов обмена, преимущественно белкового происхождения, к которому приводит нарушение выделительной функции почек, называют азотемией.
Различают три типа азотемии – преренальную, ренальную и постренальную, обладающих схожими характеристиками, а именно: Увеличение азота мочевины в крови; Снижение скорости клубочковой фильтрации почек; Увеличение концентрации креатинина в сыворотке.
Причины азотемии преренальная азотемия является следствием нарушения кровоснабжения почек из-за: Развития сердечной недостаточности; Кровоизлияния; Шока; Снижения объема циркулирующей крови. Основными причинами азотемии ренальной являются: Острая почечная недостаточность; Паренхима почек (гломерулонефрит); Острый тубулярный некроз.
Основными причинами азотемии постренальной выступают любые механические препятствия оттока мочи – камни в мочеточнике, опухоли мочевого пузыря или простаты, сдавление мочеточника увеличенной в размере маткой (при беременности). 2)Рнк(типы,функция,расположение)...Транскрипция
В каждом живом организме присутствуют 2 типа нуклеиновых кислот: рибонуклеиновая кислота (РНК) и дезоксирибонуклеиновая кислота (ДНК)
Существуют три типа РНК, каждый из которых выполняет свою особую роль в синтезе белка.
1. Матричная РНК переносит генетический код из ядра в цитоплазму, определяя таким образом синтез разнообразных белков.
2. Транспортная РНК переносит активированные аминокислоты к рибосомам для синтеза полипептидных молекул. 3. Рибосомная РНК в комплексе примерно с 75 разными белками формирует рибосомы — клеточные органеллы, на которых происходит сборка полипептидных молекул.
Матричная РНК представляет собой длинную одноцепочечную молекулу, присутствующую в цитоплазме. Эта молекула РНК содержит от нескольких сотен до нескольких тысяч нуклео-тидов РНК, образующих кодоны, строго комплементарные триплетам ДНК. Еще один тип РНК, играющий важнейшую роль в синтезе белка, называют транспортной РНК, поскольку он транспортирует аминокислоты к строящейся молекуле белка. Каждая транспортная РНК специфически связывается только с одной из 20 аминокислот, составляющих белковые молекулы. Транспортные РНК действуют как переносчики специфических аминокислот, доставляя их к рибосомам, на которых происходит сборка полипептидных молекул.
Третий тип РНК — это рибосомная РНК, из которой примерно на 60% состоит рибосома. Оставшуюся часть рибосомы составляют около 75 структурных белков и ферментов, необходимых для синтеза белка.
ранскрипция - первая стадия реализации генетической информации в клетке. В ходе процесса образуются молекулы мРНК, служащие матрицей для синтеза белков, а также транспортные, рибосомальные и другие виды молекул РНК, выполняющие структурные, адапторные и каталитические функции (рис. 4-26).

Транскрипция у эукариотов происходит в ядре. В основе механизма транскрипции лежит тот же структурный .принцип комплементарного спаривания оснований в молекуле РНК 3)Гидролитическая окидоредукция
В условиях интенсивной мышечной работы бывают ситуации, когда в клетку не успевает поступать кислород. При этом распад углеводов временно протекает в анаэробных условиях. Молекулам НАДН2 некуда отдавать свой водород, так как не работают дыхательные цепи в митохондриях и челночные механизмы. Это не мешает протеканию первых пяти реакций 1-го этапа ГБФ-пути. Но НАД - это кофермент, запасы которого в цитоплазме невелики. После того, как весь этот НАД превратится в НАДН2 в 6-й реакции, новые молекулы ФГА не могут окисляться до фосфоглицериновой кислоты, и тогда все последующие реакции 1-го этапа ГБФ-пути должны прекратиться. Но этого не происходит. В цитоплазме хорошим акцептором водорода является ПВК - конечный продукт 1-го этапа. Возникает сопряжение между двумя реакциями, которое называется ГЛИКОЛИТИЧЕСКАЯ ОКСИДОРЕДУКЦИЯ 4)Кортикостероиды,все о них Гормоны коркового вещества надпочечников (кортикостероиды).Известно более 30 гормонов-стероидов, т.е. производные циклопентанпергидрофенантрена:
1. глюкокортикоиды - оказывают влияние на углеводный обмен;
2. минералокортикоиды - на минеральный обмен;
3. половые гормоны.
Глюкокортикоиды: кортикостерон, кортизол (самый активный в организме человека), кортизон.
Клетки-мишени для глюкокортикоидов - печень, почки, лимфоидная ткань, соединительная ткань, мышцы.
Рецепторы находятся в цитозоле, проходят через мембрану и действуют на ген. Гормон ген белок.
Минералокортикоиды:
- диоксикортикостерон;
- альдостерон.

№24