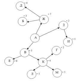
– В. Затем опять рассматриваем все звенья, которые связаны с вершиной ломаной линии Д – Ж – А – В, и из них выбираем наименьшее. Рассматривать звенья таким образом нужно до тех пор, пока не будут выбраны все вершины сетки. Кратчайшая связывающая сеть рассматриваемого примера с указанием потребности пунктов в грузе
представлена на рис. 2. Си
Рис. 2. КратчайшаябАсвязывающая сеть и потребность пунктов в грузе (+)
Этап 2 заключается в на оре пунктов в маршрут. Пункты группируют в маршруты по каждой ветви сетиД, начиная с той, которая имеет наибольшее число звеньев. Пункты группируются в маршруты с учетом количества груза, который необходимо привезти, и вместимости подвижного состава. «Если все пункты данной ветви не могут быть включены в один маршрут, то ближайшие к другой ветви пункты
группируются вместе с пунктами этой ветви» [3].И В рассматриваемом примере по условиям задачи установлено, что вместимость одного автомобиля составляет 30 тонн груза. Учитывая это условие, пункты, представленные на рис. 2, группируют, таким образом,
как представлено в табл. 1.
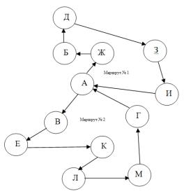
Этап 3 сводится к определению последовательности объезда пунктов маршрута [1, 5]. На данном этапе все пункты маршрута, начиная с пункта А, необходимо связать замкнутой линией, которая соответствует кратчайшему пути объезда этих пунктов.
Для определения кратчайшего пути объезда заданных пунктов маршрута строится таблица, «называемая симметричнойматрицей»[1,3,5].