Материал: Технико-экономическое обоснование варианта схемы развития электрической сети районной энергосистемы для электроснабжения новых узлов нагрузки

Внимание! Если размещение файла нарушает Ваши авторские права, то обязательно сообщите нам

4.1    Определение сечений проводов сооружаемых линий радиального варианта сети


Ток на одну цепь линии на пятый год ее эксплуатации.


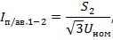
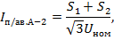
Линия А-2.


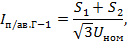
Линия Г-1.

Для данной линии необходимо взять сумму мощностей подстанций 1 и 3.


Линия 1-3.

Расчетный ток линии .

Линия А-2.

Линия 1-3.

Линия Г-1.

Сечение проводов в фазе.

Линия А-2.

Линия Г-1.

Линия 1-3.

Выбор стандартных сталеалюминевых проводов.

Ряд стандартных сечений сталеалюминевых проводов для напряжения 110 кВ: 70/11, 95/16, 120/19, 150/24, 185/29, 240/39.

Линия А-2.

Линия Г-1.

Линия 1-3.

При выборе стандартных сечений были учтены ограничения по механической прочности ВЛ свыше 1 кВ и условиям короны и радиопомех.

Для определения послеаварийных токов удвоим значения нормальных токов в режиме максимальных нагрузок.

Таблица 4.1.1.

Результаты расчетов при выборе проводов ВЛ для радиального варианта

ЛЭП

Iп/ав

Предварительное сечение

Iдоп*, предварительный расчет

Марка провода

Iдоп *, окончательный расчет

А-2

324

240

786.9

786.9

Г-1

248

120

503.1

503.1

1-3

106

120

503.1

503.1

доп домноженно на поправочный коэффициент на температуру воздуха для неизолированных проводов. В нашем случае коэффициент равен 1.29.

4.2    Определение сечений проводов сооружаемых линий кольцевого варианта сети


Расчет потокораспределения замкнутого контура А-2-1-Г был выполнен в пункте 3.2.

Ток на одну цепь линии на пятый год ее эксплуатации


Линия А-2

Линия Г-1

Линия 1-2

Линия Г-3

Расчетный ток линии .

Определим средневзвешенное значение коэффициента Kм для участка А-2-1-Г.


Тогда

Линия А-2.

Линия Г-1.

Линия 1-2.

Линия Г-3.

.

Сечение проводов в фазе.

Линия А-2.

Линия Г-1.

Линия 1-2.

Линия Г-3.

Выбор стандартных сталеалюминевых проводов.

Линия А-2.

Линия Г-1.

Линия 1-2.

Линия Г-3.

При выборе стандартных сечений были учтены ограничения по механической прочности ВЛ свыше 1 кВ и условиям короны и радиопомех.

Послеаварийные токи.


Результаты расчетов при выборе проводов ВЛ для кольцевого варианта

Таблица 4.2.1.

ЛЭП

Iп/ав

Iдоп*, предварительный расчет

Марка провода

Iдоп *, окончательный расчет

А-2

465

185

657.9

657.9

Г-1

465

120

503.1

503.1

1-2

323

120

503.1

503.1

Г-3

106

120

503.1

503.1

доп домноженно на поправочный коэффициент на температуру воздуха для неизолированных проводов. В нашем случае коэффициент равен 1.29.

5.      Выбор трансформаторов на понижающих подстанциях


Трансформаторы предназначены для преобразования посредством электромагнитной индукции одной или нескольких систем переменного тока в одну или несколько других систем переменного тока. Различают двух-, трех- и многообмоточные трансформаторы, имеющие соответственно две, три и более гальванически не связанные обмотки. Передача энергии из первичной цепи трансформатора во вторичную происходит посредством магнитного поля.

[2, 3] На новых подстанциях с ВН 35 кВ и выше применяют типовые схемы РУ, в которых предусмотрена установка, как правило, двух трансформаторов одинаковой мощности. Установка одного трансформатора является, обычно, первым этапом сооружения двухтрансформаторной подстанции. Установка более двух трансформаторов осуществляется при наличии технико-экономического обоснования или специальным требованием заказчика.

При выборе трансформаторов определяющим условием является их нагрузочная способность. Нагрузочной способностью трансформаторов называется совокупность нагрузок и перегрузок трансформатора. Исходным режимом для определения нагрузочной способности является номинальный режим работы трансформатора на основном ответвлении при номинальных условиях места установки и охлаждающей среды, определяемых соответствующим стандартом или техническими условиями.

Допустимым режимом нагрузки называется режим продолжительной нагрузки трансформатора, при котором расчетный износ изоляции обмоток от нагрева не превышает износа, соответствующему номинальному режиму работы. Перегрузочным считается такой режим, при котором расчетный износ изоляции превосходит износ, соответствующий номинальному режиму работы.

Основанием для ограниченных во времени перегрузок трансформатора является неполная нагрузка трансформатора в период, предшествующий допустимой нагрузке, и пониженная нагрузка охлаждающей среды (воздуха или воды).

ГОСТ 14209-97 «Руководство по нагрузке силовых масляных трансформаторов», а также «Инструкция по эксплуатации трансформаторов» позволяют осуществить рациональную загрузку силовых трансформаторов и обеспечить оптимальный выбор номинальной мощности трансформаторов при проектировании подстанций. В соответствии с рекомендациями выбор мощности трансформаторов в общем случае должен осуществляться следующим образом.

«Мощность трансформаторов выбирается так, чтобы при отключении наиболее мощного из них на время ремонта или замены оставшиеся в работе (с учетом их допустимой по техническим условиям на трансформаторы перегрузки и резерва по сетям СН и НН) обеспечивали питание нагрузки.

Трансформаторы с повышенной нагрузочной способностью (на основе применения форсированной системы охлаждения) мощностью до 100 МВ·А включительно класса напряжения 110, 150 и 220 кВ выбираются в соответствии с действующими нормативными документами и заводскими материалами».

Выбор трансформаторов на новых понижающих подстанциях выполняется исходя из аварийной перегрузки при отключении одного из двух трансформаторов на время ремонта или замены. При этом резервирование по сетям СН и НН отсутствует. Исходными данными для выбора трансформаторов являются суточные графики нагрузки новых подстанций для характерных дней зимнего и летнего периодов, сезонные эквивалентные температуры охлаждающего воздуха для населенных пунктов, в которых строятся новые подстанции, а также предполагаемый вид охлаждения трансформаторов.

Необходимо преобразовать суточный график нагрузки в упрощенный двухступенчатый в соответствии с рис. 5.0.1. К1 и К2 - ступени нагрузки, где К2 - максимум нагрузки. Продолжительность максимума нагрузки - t часов. Методы определения этой продолжительности для прямоугольного графика нагрузки зависят от конфигурации исходного суточного графика нагрузки. Ниже приведены рекомендуемые методы для различных видов реальных графиков нагрузки.

Рис. 5.0.1. Эквивалентный двухступенчатый график нагрузки

Если эквивалентность двухступенчатого графика нагрузки вызывает сомнение, следует сделать несколько допущений и принять график с наибольшим запасом.

а) График нагрузки с одним максимумом

В этом случае значение t следует определять, как показано на рис. 5.0.2.

Для участка графика нагрузки без максимума значение К1 определяют как среднее значение нагрузки без максимума.

Рис. 5.0.2 - График нагрузки с одним максимумом

б) График нагрузки с двумя максимумами равной амплитуды, но различной продолжительности

При двух максимумах примерно равной амплитуды, но различной продолжительности значение t определяют для максимума большей продолжительности, а значение К1 должно соответствовать среднему значению оставшейся нагрузки.

Пример графика нагрузки представлен на рис. 5.0.3.

Рис. 5.0.3. График нагрузки с двумя максимумами равной амплитуды и различной продолжительности

в) График нагрузки с последовательными максимумами

Если график нагрузки состоит из нескольких последовательных максимумов, значение t принимают достаточной продолжительности, чтобы охватить все максимумы, а значение К1 должно соответствовать среднему значению оставшейся нагрузки, как показано на рис. 5.0.4.

Рис. 5.0.4. График нагрузки с последовательными максимумами

Можно рекомендовать следующий алгоритм для приближенного построения эквивалентного графика нагрузки. Заданным является часовой ступенчатый график нагрузки (24 часа).

1.      На графике нагрузки проводится линия соответствующая средней нагрузке.

2.      Выделяется непрерывный интервал времени, на котором имеется максимум нагрузки и все нагрузки выше средней. Если таких интервалов два, то берется более длительный. Величина этого интервала является первым приближением длительности перегрузки. Как правило, оно получается с запасом.

.        Строится двухступенчатый график, у которого большая ступень равна максимальной нагрузке, а другая (меньшая) является среднеквадратичным значением ступеней графика, которые не принадлежат интервалу перегрузки.

.        Проверяется равенство площадок: a + b = c + d. Если погрешность выполнения равенства велика, то одно часовое значение большей ступени исключается из интервала перегрузки. Как правило, это меньшее из двух крайних значений.

.        Вновь строится двухступенчатый график нагрузки, у которого продолжительность большей ступени (продолжительность перегрузки) короче на один час, а меньшей - больше на час.

.        Снова проверяется равенство a + b = c + d и если погрешность его выполнения невелика, процесс построения заканчивается. В противном случае последние два пункта повторяются.

После определения времени перегрузки трансформатора необходимо сделать следующее:

1.      По продолжительности перегрузки, виду охлаждения трансформатора и эквивалентной температуре охлаждающей среды (табл. 15 методичка) находятся коэффициенты допустимой перегрузки трансформаторов для зимнего и летнего графиков нагрузки.

2.      Трансформаторы выбираются по условию:


где S5 - максимальная нагрузка подстанции в нормальном режиме для зимнего и летнего графиков нагрузки на пятый год эксплуатации;пер. - допустимый коэффициент перегрузки трансформаторов, соответственно для зимнего и летнего графиков;- число трансформаторов на подстанции. Выбирается номинальная мощность трансформатора по большей рассчитанной величине.

5.1    Выбор понижающих трансформаторов на подстанции 1


На данной подстанции необходимо установить два понижающих трансформатора 110/10 кВ. Максимальная мощность нагрузки на пятый год эксплуатации:  МВт,  МВА. При отключении одного из двух трансформаторов всю нагрузку должен нести оставшийся в работе трансформатор, при этом часть времени суток этот трансформатор будет работать с перегрузкой. Длительность перегрузки может быть определена из эквивалентного по потерям двухступенчатого графика нагрузки. Построим график нагрузки трансформатора в зимние (Рис. 5.1.1) и летние (Рис. 5.1.2) характерные дни. Графики активной и реактивной мощности характерных суток зимнего и летнего дней построим по данным таблицы 1.6, используя формулу: