Проверка
![]()
![]()
- верно.
Для линий находящихся в кольце А-2-1-Г-А’ берём стандартное напряжение 110 кВ. Для линии Г-3 также выбираем напряжение 110 кВ.
Теперь
рассмотрим замкнутый контур А-2-1-Г-А’ (рис.2.2.2). В этой линии 3 нагрузки ![]()
, ![]()
, ![]()
(рис.3.2.2).
Рис.
3.2.2. Потоки мощности в линии с двухсторонним питанием
![]()
км
![]()
МВA
Проверка
![]()
![]()
- верно.
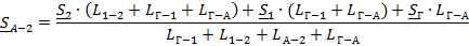
По
первому закону Кирхгофа найдем мощности передаваемые через оставшиеся линии.
![]()
, ![]()
МВA.
![]()
. ![]()
МВA.
Полученные
в этом расчете мощности надо будет учесть при определении послеаварийных токов,
так как мощности значительно отличаются от полеченных ранее.
Основным условием, которому должны удовлетворять выбираемые при проектировании провода, должна являться экономическая целесообразность варианта электрической сети, для сооружения которой эти провода предназначены. Количественной характеристикой этого условия служит минимальное значение приведенных народнохозяйственных затрат на сооружение и эксплуатацию линии сети, выполненной выбранными проводами. Провода различаются материалом токоведущей части, ее номинальным сечением, поэтому при проектировании выбираются сечения проводов, а также материал, из которого они должны быть выполнены, причем этот выбор осуществляется с учетом требования минимальных приведенных затрат. Как правило, для линий воздушной электрической с напряжением 35 кВ и выше принимаются сталеалюминевые провода марок АС, АСО или, реже, АСУ.
При выборе проводов по условию наивысшей экономической эффективности принимаются во внимание нормальные рабочие режимы электрических сетей. В этом случае передача энергии будет сопровождаться меньшими потерями и поэтому, выбирая сечение проводов рассматриваемой двухцепной линии, следует считать, что по каждой из ее цепей длительно передается половина ее суммарной мощности. Такой режим в данном случае будет нормальным рабочим режимом, его и следует принимать в качестве расчетного.
При выборе сечений приходится учитывать и ряд ограничений. Одно из них определяется условиями нагрева. Это ограничение должно учитываться при проектировании любых сетей. При проверке по нагреву рассматриваются режимы, в которых по проектируемой линии протекают наибольшие токи. Для двухцепной линии проверка по нагреву должна проводиться в предположении отключения одной из параллельных цепей в период максимальных нагрузок.
Рассмотрим зависимость полных затрат от сечения линии электропередачи.
Условно примем допущение о том, что сечение изменяется непрерывно. Зависимость
затрат от сечения складывается из двух составляющих: почти линейной
возрастающей зависимости капитальных вложений и издержек, не связанных с потерями
от сечения проводников, и нелинейной составляющей, определяемой потерями
мощности и энергии в проводнике:
где
![]()
- не
зависящая от сечения составляющая затрат; a и b - некоторые постоянные
коэффициенты.
С ростом сечения увеличиваются затраты на оборудование и сооружение
линии, но уменьшаются потери, которые прямо пропорциональны активному сечению
провода:
где - удельное сопротивление материала провода; l - длина провода; F -
сечение алюминиевой части провода.
Рис. 4.0.1. График затрат в функции сечения провода.
Зависимость З(F) имеет минимум, который дает значение оптимального сечения проводника F.
Вследствие того, что сечение на самом деле принимает дискретные значения,
каждому из этих значений отвечает множество оптимальных решений при различных
потерях в линии. Так как нагрузочные потери в линии вычисляются в режиме
наибольших нагрузок, т.е. по максимальному току нагрузки Imax, то одно и то же
сечение будет оптимально для целого интервала токовой нагрузки Imax. Это
приводит к появлению такого показателя, как экономические токовые интервалы.
Смысл экономических токовых интервалов можно проиллюстрировать на рис.7 , где
изображены три кривые зависимости потерь мощности от максимального тока линии.
Каждая кривая построена для одного конкретного значения сечения провода. Пусть
F1<F2<F3, тогда минимуму затрат на интервале до значения тока I1
соответствует сечение F1, на интервале от I1 до I2 - сечение F2 и, наконец, на
интервале свыше I3 - сечение F3.
Рис. 4.0.2. График затрат в функции наибольшего тока нагрузки.
Суммарное сечение проводов фазы:
где Iр - расчетный ток, А;н - нормированная плотность тока, А/мм2.
Для
заданного числа использования максимальной нагрузки 5000 ч ![]()
. Но с
учетом того, что проектируемые линии будут построены в Западной Сибири, где
среднегодовая температура равна -5, примем плотность тока равной ![]()
.
Значение
Iр определяется по выражению:
![]()
.
Коэффициент попадания нагрузок новых подстанций в
максимум энергосистемы Км. Коэффициент Км отражает участие нагрузки ВЛ в
максимуме энергосистемы (табл. 1.5). Расчет коэффициента для нагрузок новых
подстанций производится по данным, приведенным в табл. 4.0.1.
Таблица 4.0.1.
Коэффициенты попадания в максимум энергосистемы для различных потребителей электроэнергии
|
Потребители электроэнергии |
Коэффициент KМi |
|
Осветительно-бытовая нагрузка |
1,0 |
|
Промышленные предприятия: |
|
|
трехсменные |
0,85 |
|
двухсменные |
0,7 - 0,75 |
|
односменные |
0,1 - 0,15 |
|
Электрифицированный транспорт |
1,0 |
|
Сельскохозяйственное производство |
0,7 - 0.75 |
Подстанция 1.
Подстанция 2.
Подстанция 3.
Усредненные
значения коэффициента ![]()
.
Коэффициент, учитывающий число часов использования максимальной нагрузки ВЛ
(Tmax). Выбирается на основе таблицы 4.0.2.
Таблица 4.0.2.
Усредненные значения коэффициента αT
|
Напряжение ВЛ, кВ |
Коэффициент участия в максимуме энергосистемы, Kм |
Значение коэффициента при числе часов использования максимума нагрузки, Tmax, ч/год |
||
|
|
|
до 4000 |
4000-6000 |
более 6000 |
|
35…330 |
1,0 |
0,8 |
1,0 |
1,3 |
|
|
0,8 |
0,9 |
1,2 |
1,6 |
|
|
0,6 |
1,1 |
1,5 |
2,2 |
Подстанция 1.
Подстанция 2.
Подстанция 3.
αi - коэффициент, учитывающий изменение нагрузки по годам эксплуатации линии. Для линий 110-220 кВ значение αi может быть принято равным 1,05, что соответствует математическому ожиданию этого коэффициента в зоне наиболее часто встречающихся темпов роста нагрузки
Выбранное сечение провода линии подлежит обязательной проверке по нагреву
в послеаварийном режиме. Для этого рассчитываем различные аварийные ситуации в
электрической сети, которые могут повлечь увеличение тока в линии в режиме
наибольших нагрузок. Для двухцепных ЛЭП послеаварийным током является удвоенное
значение нормального тока в режиме максимальных нагрузок. Для варианта
замкнутой схемы послеаварийным током для крайних ЛЭП будет ток, вычисленные
через суммарную мощность нагрузок линии с двухсторонним питанием. Для средней
ЛЭП - ток большей из двух нагрузок линии Значения допустимых токов для каждого
сечения провода приведены в таблице 4.0.3.
Таблица 4.0.3.
Допустимые длительные токи для неизолированных проводов марок АС и АСК, применяемых на ВЛ 35…220 кВ (допустимая температура нагрева +70° С при температуре воздуха +25° С)
|
Сечение, (алюминий/сталь) мм2 |
35/6,2 |
50/8 |
70/11 |
95/16 |
120/19 |
150/24 |
185/29 |
240/39 |
300/48 |
|
Ток, А |
175 |
210 |
265 |
330 |
390 |
450 |
510 |
610 |
690 |
Продолжение таблицы 4.0.3.
|
Сечение, (алюминий/сталь) мм2 |
330/27 |
400/18 |
400/51 |
400/69 |
500/26 |
500/64 |
|
Ток, А |
730 |
830 |
825 |
860 |
930 |
945 |
Проверке по условиям короны подлежат ВЛ 110 кВ и выше, прокладываемые по
трассам с отметками выше 1500 м над уровнем моря. При более низких отметках
проверка не производится, если сечения проводов равны минимально допустимым по
условиям короны или превышает их, табл. 4.0.4.
Таблица 4.0.4
Минимальный диаметр проводов ВЛ по условиям короны и радиопомех, мм
|
Напряжение ВЛ, кВ |
Фаза с проводами |
|
|
|
одиночными |
два и более |
|
110 |
11,4 (АС 70/11) |
- |
|
150 |
15,2 (АС 120/19) |
- |
|
220 |
21,6 (АС 240/32) |
- |
|
|
24,0 (АС 300/39) |
|
|
330 |
33,2 (АС 600/72) |
2 ´ 21,6 (2 ´ AС 240/32) |
|
|
|
3 ´ 15,2 (3 ´ AC 120/19) |
|
|
|
3 ´ 17,1 (3 ´ AС 150/24) |
|
500 |
- |
2 ´ 36,2 (2 ´ AC 700/86) |
|
|
|
3 ´ 24,0 (3 ´ AС 300/39) |
|
|
|
4 ´ 18,8 (4 ´ AС 185/29) |
|
750 |
- |
4 ´ 29,1 (4 ´ AС 400/93) |
|
|
|
5 ´ 21,6 (5 ´ АС 240/32) |
Ограничение по минимально допустимому сечению проводов по механической
прочности приведено в таблице 4.0.5.
Таблица 4.0.5
Минимально допустимые сечения неизолированных проводов по условиям механической прочности для ВЛ свыше 1 кВ
|
Характеристика ВЛ |
Сечение проводов, мм2 |
|||
|
|
алюминиевых и из нетермообработанного алюминиевого сплава |
из термообработанного алюминиевого сплава |
сталеалю-миниевых |
стальных |
|
ВЛ без пересечений в районах по гололеду: |
|
|
|
|
|
до II |
70 |
50 |
35/6,2 |
35 |
|
в III-IV |
95 |
50 |
50/8 |
35 |
|
в V и более |
- |
- |
70/11 |
35 |
|
Пересечения ВЛ с судоходными реками и инженерными сооружениями в районах по гололеду: |
|
|
|
|
|
до II |
70 |
50 |
50/8 |
35 |
|
в III-IV |
95 |
70 |
50/8 |
50 |
|
в V и более |
- |
- |
70/11 |
50 |
|
ВЛ, сооружаемые на двухцепных или многоцепных опорах: |
|
|
|
|
|
до 20 кВ |
- |
- |
70/11 |
- |
|
35 кВ и выше |
- |
- |
120/19 |
- |