Материал: Разработка производственной программы нового продукта на предприятии

Внимание! Если размещение файла нарушает Ваши авторские права, то обязательно сообщите нам

Качество важнейших для предприятия видов продукции должно отвечать по своим технико-экономическим показателям высшим достижениям отечественной и зарубежной техники на всех стадиях проектирования и изготовления продукции. Соответственно, с этими требованиями предусматривается замена и снятие с производства устаревшей продукции или модернизация устаревших изделий, улучшение основных технических характеристик выпускаемой продукции, соблюдение требований стандартов, технических условий и другой технической документации.

В планах выпуска продукции предприятий предусматриваются задания по снятию с производства устаревших видов изделий, т.е. продукции, не соответствующей современным требованиям национальной экономики и населения страны, морально устаревшей; указываются конкретные сроки замены устаревших изделий, а также новые виды изделий (типы, модели), их заменяющие.

План по реализации продукции включает в себя показатели объемов реализации продукции предприятия конкретным покупателям, выявленным в процессе маркетингового исследования рынка.

Реализованная продукция - это отгруженная заказчику, принятая им и оплаченная продукция предприятия, денежные средства за которую поступили на расчетный счет поставщика.

По объему реализуемой продукции оценивается: производственно-хозяйственная деятельность отраслей, объединений и предприятий. Объем реализуемой продукции в плане определяется как стоимость предназначенных к поставке и подлежащих оплате в плановом периоде:

·   готовых изделий; полуфабрикатов собственного производства;

·   работ промышленного характера, предназначаемых к реализации на сторону (включая капитальный ремонт своего оборудования и транспортных средств, выполняемый силами промышленно-производственного персонала);

·   реализация продукции и выполнение работ для своего капитального строительства и других непромышленных хозяйств, находящихся на балансе предприятия.

Объем реализуемой продукции по плану РП, можно определить по следующей формуле:

РП = ТП + ОН.П.1 - ОН.П.2

Где ТП - объем товарной продукции по плану;

·   ОН.П.1, ОН.П.2 - остатки нереализованной продукции на начало и конец планового периода.

При расчете реализуемой продукции, учитывается изменение остатков нереализованной продукции на начало и конец планируемого периода. Остаток нереализованной продукции к началу планируемого периода состоит из:

·   остатка готовой продукции на складе и в неоформленных отгрузках;

·   товаров отгруженных, по которым не наступил срок оплаты;

·   товаров отгруженных, не оплаченных в срок покупателями;

·   товаров на ответственном хранении у покупателей.

Таким образом, целью расчета производственной программы является максимально полное удовлетворение ранжированного спроса путем выбора из альтернативных вариантов производства, технологий при ресурсных ограничениях с учетом переходящих планов за пределами горизонта планирования и существующих обязательств.

2.2 Алгоритм разработки производственной программы создания и освоения новых товаров

Одним из главных факторов успеха деятельности предприятия в условиях рынка является: непрерывное обновление товаров и технологии производства, иными словами - создание, разработка, испытания в рыночных условиях и освоение производства новой продукции как услуги или идеи, которые воспринимаются некоторыми потенциальными потребителями как новые.

Разработка нового продукта - это разработка оригинальных продуктов, улучшение продуктов и их модернизация; создание новых марок продуктов путем проведения организацией своих собственных НИОКР. Процесс разработки нового продукта состоит из восьми этапов: генерация идей, отбор идей, разработка концепции и ее проверка, разработка маркетинговой стратегии, анализ бизнеса, разработка непосредственно продукта, пробный маркетинг, коммерческое производство.

Генерация идей - систематический поиск идей о новых продуктах. Поиск новых идей осуществляется главным образом на основе:

·   внутренних источников организации (в отделе новой техники, в службе НИОКР, в отделе маркетинга и сбыта и т. п.),

·   изучения мнений потребителей, конкурентов, поставщиков и дистрибьюторов, консультационных организаций, работы выставок и различных печатных изданий,

·   путем использования специальных методов генерации идей.

Отбор идей - анализ всех выдвинутых идей о новом продукте с целью отсеивания неперспективных на наиболее ранней стадии разработки. В результате, отбираются идеи о возможном продукте, который организация может предложить рынку. Число идей, принятых и доведенных до реального товара, уменьшается во времени, а затраты на их поиск и отбор растут. Разработка концепции и ее проверка - идея о новом продукте трансформируется в концепцию продукта, которая испытывается на группе целевых потребителей, с целью определения степени ее привлекательности. Концепция может быть представлена потребителям словесно или в виде иллюстраций.

Разработка маркетинговой стратегии - определение маркетинговой стратегии выхода на рынок с новым продуктом. Здесь рассматриваются следующие вопросы:

·   описываются размер, структура и характер целевого рынка;

·   осуществляется позиционирование нового продукта;

·   даются оценки объему продаж, рыночной доле, цене, прибыли;

·   осуществляется выбор каналов сбыта.

В большинстве случаев такие прогнозные оценки носят ориентировочный характер. Однако, использование даже ориентировочных оценок - лучше, чем их полное отсутствие. Для получения информации прогнозного характера о новом продукте, проводят опросы. Информация прогнозного характера о возможной рыночной судьбе нового продукта, также может быть получена на основе анализа:

·   объема продаж подобных продуктов;

·   ситуации в области конкурентной борьбы.

Анализ бизнеса - оценка для нового продукта предполагаемых величин объема продаж, издержек и прибыли на предмет их соответствия целям организации. Другими словами, речь идет об оценке привлекательности для компании данного нового продукта.

Новая продукция, создаваемая на базе новых идей, исследований и технических достижений, обеспечивает конкретный успех на рынках сбыта. Понятие цикл «НИР - производство» - подразумевает тесную взаимосвязь научных исследований с их промышленным освоением.

Место научно-технической подготовки производства в жизненном цикле товаров показано на рис.2.1.

Рис.2.1 - Жизненный цикл товара и место в нем научно-технической подготовки производства

Все работы, входящие в систему подготовки производства (СПП), немыслимы без информационного обеспечения и экономической отработки. Экономическая отработка должна производиться на каждой стадии СПП. Это тем более важно, что при результатах, значительно превышающих первоначальные оценки и требующих увеличения предварительно запланированных издержек, можно отказаться от идеи создания нового товара и предотвратить убытки фирмы.

Экономическая отработка и анализ, в большей степени, важны на ранних стадиях создания изделия (НИОКР). Именно на этих стадиях закладываются основы экономичности и эффективности нового товара. Успешная реализация такой сложной проблемы, как создание и освоение нового товара, невозможна без использования системного подхода, который основан на комплексном решении, входящих в проблему работ и задач, предусматривает постановку цели, требует выявления содержания входных и выходных потоков информации, установления критериев оптимизации, прогнозирования, моделирования.

Критерии оптимизации системы создания и освоения нового товара устанавливаются, в зависимости от целей и задач фирмы. Ими, в частности, могут быть: технический уровень изделия, сроки создания и освоения, увеличение объемов производства, увеличение товарной номенклатуры, снижение издержек при подготовке производства и в производстве, снижение издержек при эксплуатации изделия. Структуризация проблемы создания и освоения новых товаров показана на рис. 2.2.

Рис. 2.2 - Структуризация проблемы создания и освоения новых товаров

Процесс создания и освоения новых товаров, как и любой другой сложный процесс, состоящий из многих стадий и этапов, выполняемых различными подразделениями фирмы, должен быть тщательно скоординирован и увязан во времени.

График подготовки производства, как элемент системы планирования и управления и, в то же время, как модель цикла создания и освоения новых товаров, должен отражать существенные, в отношении достижения конечных целей работы (этапы, фазы и т.д.). Он должен также учитывать возможные состояния комплекса соответствующих работ, сроки их выполнения, возможные нарушения этих сроков и последствия нарушений.

Простейшие методы планирования предполагают использование моделей типа ленточных графиков. Линейные графики применяются и в настоящее время для относительно простых объектов планирования подготовки производства. Однако, они имеют целый ряд существенных недостатков:

·   не показывают взаимосвязь отдельных работ, из-за чего трудно оценить значимость каждой отдельной работы для выполнения промежуточных и конечных целей;

·   не отражают динамичность разработок;

·   не позволяют периодически производить корректировки графика в связи с изменением сроков выполнения работ;

·   не дают четких точек совмещения и сопряжения смежных этапов;

·   не позволяют применить математически обоснованный расчет выполнения планируемого комплекса работ;

·   не дают возможность оптимизировать использование имеющихся ресурсов и сроки выполнения разработки в целом.

Планирование и управление комплексом работ представляет собой сложную и, как правило, противоречивую задачу. Оценка временных и стоимостных параметров функционирования системы, осуществляемая в рамках этой задачи, может быть произведена разными методами. Среди существующих, хорошо зарекомендовал себя метод сетевого планирования и управления (СПУ). Основным плановым документом в системе СПУ является сетевой график (сетевая модель или сеть), представляющий собой информационно-динамическую модель, в которой отражаются взаимосвязи и результаты всех работ, необходимых для достижения конечной цели разработки.

Сетевая модель изображается в виде сетевого графика (сети), состоящего из стрелок и кружков.Стрелками в сети изображаются отдельные работы, а кружками - события. Над стрелками указывается, ожидаемое время выполнения работ. Этапы разработки и управления ходом работ с помощью сетевого графика имеют следующую последовательность основных операций:

·   составление перечня всех действий и промежуточных результатов (событий) при выполнении комплекса работ и графическое их отражение;

·   оценка времени выполнения каждой работы, а затем расчет сетевого графика для определения срока достижения поставленной цели;

·   оптимизация рассчитанных сроков и необходимых затрат;

·   оперативное управление ходом работ путем периодического контроля и анализа получаемой информации о выполнении заданий и выработка корректирующих решений.

Работа - это любые процессы (действия), приводящие к достижению определенных результатов (событий). Понятие «работа» может иметь следующие значения:

·   действительная работа - работа, требующая затрат времени и ресурсов;

·   ожидание - процесс, требующий затрат только времени (сушка, старение, релаксация и т.п.);

·   фиктивная работа или зависимость, - изображение логической связи между работами (изображается пунктирной стрелкой, над которой не проставляется время или проставляется нуль).

События, (кроме исходного) являются результатами выполненных работ. Событие - не является процессом и не имеет продолжительности. Наступление события соответствует моменту начала или окончания работ (моменту формирования определенного состояния системы).

Событие в сетевой модели может иметь следующие значения:

·   исходное событие - начало выполнения комплекса работ;

·   завершающее событие - достижение конечной цели комплекса работ;

·   промежуточное событие или просто событие - результат одной или нескольких входящих в него работ;

·   граничное событие - событие, являющееся общим для двух или нескольких первичных или частных сетей.

Событие для работ может иметь следующие значения:

·   начальное событие, за которым непосредственно следует данная работа;

·   конечное событие, которому непосредственно предшествует данная работа.

При планировании комплекса работ, критический путь позволяет найти срок наступления завершающего события. В процессе управления ходом комплекса работ, внимание управляющих сосредотачивается на главном направлении - на работах критического пути. Это позволяет наиболее целесообразно и оперативно контролировать ограниченное число работ, влияющих на срок разработки, а также лучше использовать имеющиеся ресурсы.

Наиболее простой и удобный способ выявления критического пути - это определение всех, последовательно расположенных событий с нулевым резервом времени.

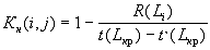
Первоначально разработанная сетевая модель, обычно не является лучшей по срокам выполнения работ и использования ресурсов. Поэтому, исходная сетевая модель подвергается анализу и оптимизации по одному из ее параметров. Анализ позволяет оценить целесообразность структуры модели, определить степень сложности выполнения каждой работы, загрузку исполнителей работ на всех этапах выполнения комплекса работ. Относительная сложность соблюдения сроков выполнения работ на некритических путях - характеризуется коэффициентом напряженности работ :


где  - продолжительность максимального пути, проходящего через данную работу;

   - продолжительность отрезка этого пути, совпадающего с критическим путем;

    - продолжительность критического пути.

Чем больше коэффициент напряженности, тем сложнее выполнить работы в установленные сроки. Используя понятие «резерва времени пути»,  можно определить следующим образом:


При этом, необходимо иметь в виду, что резерв времени R(Li) пути Li может быть распределен между отдельными работами, находящимися на указанном пути, только в пределах зависимых резервов времени этих работ. Величина коэффициента напряженности у разных работ в сети лежит в пределах <1.

Оптимизация сетевых моделей по одному из ее параметров, может быть осуществлена графическим или аналитическим методом. Решая задачу оптимизации сетевой модели, обычно рассчитывают минимальную продолжительность выполнения комплекса работ, при ограничениях на используемые ресурсы.