i1 i1пр i1св 13,06sin 1000t 16,5 A1 e 1200t;
i2 i2 пр i2 св 7,24sin 1000t 50,2 A2 e 1200t;
(119)
i3 i3пр i3св 8,1sin 1000t 13,2 A3 e 1200t;
uС uС пр uС св 72,4sin 1000t 39,8 A4 e 1200 t.
Как и в предыдущих примерах, для расчета постоянных А1, А2, А3, А4 тре-
буется сначала вычислить начальные значения i1(0+), i2(0+), i3(0+) и uC(0+). Для этого необходимо решить систему алгебраических уравнений
|
|
i1 0 i2 0 i3 0 0; |
|
|
|
||||||
|
|
|
0 |
R2i2 0 uС 0 е 0 ; |
|
||||||
|
|
R1i1 |
(120) |
||||||||
|
|
|
|
|
|
|
|
|
|
|
|
|
|
R2i2 0 uС 0 R3i3 0 0; |
|
|
|||||||
|
|
|
|
|
|
0 , |
|
|
|
||
|
|
i2 0 С uС |
|
|
|
||||||
записанную на основе уравнений (109) для t 0 . |
|
|
|||||||||
Подставляя численные значения параметров, с учетом равенства |
|
||||||||||
|
|
|
|
uC 0 uC 0 70,7В |
|
(121) |
|||||
получаем: |
|
|
|
|
|
|
|
|
|
|
|
|
|
|
|
i1 0 i2 0 i3 0 0; |
|
|
|||||
|
|
|
|
|
|
||||||
|
|
|
|
5i1 0 5i2 0 70,7; |
|
(122) |
|||||
|
|
|
|
5i2 0 10i3 0 70,7. |
|
|
|||||
Решение уравнений (122) дает такие результаты: |
|
|
|||||||||
i1 0 = 5,65 А; |
i2 0 = 8,48 А; |
i3 0 = –2,83 А. |
(123) |
||||||||
Затем выражения (119) записываются для момента времени t 0 : |
|
||||||||||
|
i |
0 i |
0 i |
|
0 13,06sin16,5 |
A ; |
|
||||
|
|
|
|||||||||
|
1 |
1 пр |
|
|
1 св |
|
|
|
1 |
|
|
|
i |
0 i |
|
0 i |
|
|
0 7,24sin50,2 |
A ; |
|
||
|
2 |
2 пр |
|
2 св |
|
|
2 |
(124) |
|||
|
i3 0 i3 пр 0 i3 св 0 81sin, |
13,2 A3; |
|||||||||
|
|
||||||||||
|
uС 0 uС пр |
0 uС св 0 72,4sin 39,8 A4. |
|
||||||||
35
После подстановки начальных условий (121), (123) в левые части уравне-
ний (124) получаем:
5,65 3,71 A1;
8,48 5,55 А2;
2,83 1,84 А3;
70,7 46,4 A4,
откуда А1 = 1,94; А2 = 2,93; А3 = –0,99; А4 = –24,3.
Окончательное решение задачи имеет вид:
i1 13,06sin 1000t 16,5 1,94e 1200 t; i2 7,24sin 1000t 50,2 2,93e 1200t; i3 8,1sin 1000t 13,2 0,99e 1200t; uС 72,4sin 1000t 39,8 24,3e 1200t.
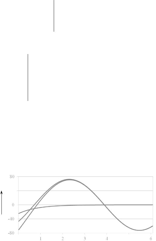
В качестве иллюстрации на рис. 20 приведена построенная в соот-
ветствии с расчетом зависимость uС(t).
Сопоставление приведенных примеров расчета переходных процессов в простейших цепях (для случаев постоянного и синусоидального напряжения)
показывает, что общий алгоритм расчета в обоих случаях одинаков, т. е. содер-
жит одни и те же этапы. Разница лишь в расчетах установившихся режимов,
имеющих место до коммутации и после переходного процесса, в силу различия методов расчета цепей постоянного и синусоидального токов.
В
uC пр
uC св
uC
uC
мс
t 
Рис. 20. Зависимость uC от времени в переходном режиме
36
2.3.Переходные процессы в электрических цепях
сдвумя реактивными элементами
Электрическая цепь в данном случае имеет два накопителя энергии элек-
тромагнитного поля. Если это индуктивность и емкость, то они могут располагаться в любой ветви электрической цепи. Однородные элементы, т. е. или ин-
дуктивности, или емкости, должны находиться в разных ветвях схемы. Например, две последовательно соединенные индуктивности (емкости) при расчете переходных процессов могут быть объединены в один накопитель энергии, поскольку на порядок дифференциальных уравнений они влияют как один общий реактивный элемент.
Каждая физическая величина (ток, напряжение) в таких цепях описывает-
ся дифференциальным уравнением второго порядка, которому соответствует характеристическое уравнение второй степени. Данное уравнение имеет два корня, которые могут встречаться в следующих сочетаниях:
два действительных отрицательных неравных корня;
пара сопряженных комплексных корней с отрицательными действитель-
ными частями;
действительные отрицательные равные (кратные) корни.
Каждому из указанных сочетаний соответствует определенный режим перехода схемы из одного установившегося состояния в другое. Например,
схеме, представленной на рис. 21, соответствует характеристическое уравнение второй степени:
R1 |
|
R3 |
LCp |
2 |
R1R2 |
|
R1R3 |
|
R2R3 |
C |
|
|
p |
|
R1 |
|
R2 |
|
0. |
(125) |
||||||||||
|
|
|
|
|
|
|
L |
|
|
|
|
|
||||||||||||||||||
|
|
|
|
|
|
|
|
|
|
|
R1 |
|
|
|
|
|
|
|
|
|
|
|
|
|
|
|
|
|
|
|
|
|
|
|
|
|
|
|
|
|
|
|
|
|
|
|
|
|
|
|
|
|
|
|
|
|
|
R3 |
|
|
|
|
|
|
|
|
|
|
|
|
|
|
|
|
|
|
|
|
R2 |
|
|
|
|
|
|
|
|
|
|
|
|
|
|
|
|
|
|
|
|
|
|
|
|
|
|
|
|
|
|
|
|
|
|
|
|
|
|
|
|
|
|
||
|
|
|
|
|
|
|
|
|
|
|
|
|
|
|
|
|
|
|
|
|
|
|
|
|
|
|
|
|
||
|
E |
|
|
|
|
|
|
|
|
|
|
|
|
|
|
|
L |
|
|
|
|
|
|
|
|
|
С |
|
|
|
|
|
|
|
|
|
|
|
|
|
|
|
|
|
|
|
|
|
|
|
|
|
|
|
|
|
|
|
|||
|
|
|
|
|
|
|
|
|
|
|
|
|
|
|
|
|
|
|
|
|
|
|
|
|
|
|
|
|||
|
|
|
|
|
|
|
|
|
|
|
|
|
|
|
|
|
|
|
|
|
|
|
|
|
|
|
|
|
||
|
|
|
|
|
|
|
|
|
|
|
|
|
|
|
|
|
|
|
|
|
|
|
|
|
|
|
|
|
||
|
|
|
|
|
|
|
|
|
|
|
|
|
|
|
|
|
|
|
|
|
|
|
|
|
|
|
|
|
||
|
|
|
|
|
|
|
|
|
|
|
|
|
|
|
|
|
|
|
|
|
|
|
|
|
|
|
|
|
||
|
|
|
|
|
|
|
|
|
|
|
|
|
|
|
|
|
|
|
|
|
|
|
|
|
|
|
|
|
|
|
Рис. 21. Пример схемы с двумя реактивными элементами
37
При значениях параметров схемы R1= 1 Ом; R2 = 2 Ом; R3= 2 Ом;
L = 1 мГн; С = 10 мкФ уравнение (125) принимает вид: 3 10–8 р2 +1,08 10–3 р +3 = 0
или
р2 +3,6 104 р +108 = 0.
Его корни: р1 = – 3030 с–1; р2 = –32970 с–1.
В данном случае имеет место так называемый апериодический режим переходного процесса. Свободная составляющая любой физической величины
(ток, напряжение) при этом представляется в форме:
х |
А ер1t |
А ер2t |
А е 3030 t |
А е 32970 t , |
(126) |
св |
1 |
2 |
1 |
2 |
|
где А1 и А2 – постоянные коэффициенты, количество которых соответствует числу корней характеристического уравнения.
Общее решение, как и прежде, формируется в виде суммы принужденной и свободной составляющих:
х х |
пр |
х |
х |
пр |
А е 3030 t |
А е 32970 t . |
(127) |
|
св |
|
1 |
2 |
|
При R1 = 100 Ом; R2 = 1 Ом; R3 = 1 Ом; L = 10 мГн; С = 10 мкФ на основе выражения (125) получаем характеристическое уравнение
1,01 10–5 р2 +0,012р + 101 = 0
или
р2 +1189,1р +107 = 0
с комплексными корнями
р1 j св 595 j 3106; р2 j св 595 j 3106,
где = 595 с–1 – коэффициент затухания;
св = 3106 рад/с – угловая частота свободных колебаний.
Частота свободных колебаний св в отличие от частоты вынужденных ко-
лебаний (угловой частоты напряжения источника) определяется внутренними свойствами электрической цепи или системы.
В этом случае имеет место колебательный режим, для которого свобод-
ные составляющие записываются в виде:
38
хсв А1ер1t А2ер2t А1е 595 j 3106 t А2е 595 j 3106 t
(128)
Ae t sin свt Ae 595t sin 3106t ,
где в качестве неизвестных выступают постоянная А и начальная фаза .
Полное решение для искомой физической величины представляется в форме
х х |
х |
х |
А е 595 t |
sin 3106 t . |
|
(129) |
пр |
св |
пр |
|
|
|
|
Наконец, если R1 |
= 10 |
Ом; |
R2 = 10 |
Ом; R3 = 10 |
Ом; |
L = 1 мГн; |
С = 10 мкФ, то из уравнения (125) получаем характеристическое уравнение
2 10–7 р2 +4 10–3 р + 20 = 0
или
р2 +2 104 р +108 = 0,
корни которого равны друг другу (кратные корни):
р 104 |
; |
р |
2 |
104. |
1 |
|
|
|
В этом случае имеет место граничный режим, т. е. режим, промежуточ-
ный между апериодическим и колебательным.
Свободные составляющие для этого режима имеют такую структуру:
х |
А |
А t е t |
А |
А t е 10000t , |
(130) |
св |
1 |
2 |
1 |
2 |
|
а полное решение представляется в виде:
х х |
х |
х |
А |
А t е 10000 t . |
(131) |
пр |
св |
пр |
1 |
2 |
|
Свободные составляющие во всех случаях затухают, так как рассматри-
ваемые электрические цепи содержат в своем составе сопротивления и, следо-
вательно, имеет место процесс рассеяния или потерь электрической энергии в этих цепях. Выражением данного обстоятельства являются отрицательные
действительные корни, или отрицательные действительные части комплекс-
ных корней характеристических уравнений.
Общая методика расчета переходных процессов при наличии двух нако-
пителей энергии подобна уже рассмотренной для разветвленных цепей с одним реактивным элементом (п. 2.2.6 и 2.2.7). Общий алгоритм расчета переходных процессов классическим методом содержит те же основные этапы, т. е. расчет
39