.Пассажирские поезда - 3 поезда, в том числе 1 скорый.
.Отправительские маршруты - 23 поездов.
Н-М: ![]()
.
Н-К: ![]()
.
Итого 23 поезда.
.Сквозные поезда - 11 поездов.
Н-М: ![]()
Н-К: ![]()
Итого 11 поездов, в том числе 5 поездов по 52 вагона, 4 поезда по 56 вагонов, 21 поезда по 58 вагонов, 1 поезд по 22/43 вагонов.
.Участковые поезда - 2 поезда.
Б-В: ![]()
Итого 2 поезда, в том числе 1 поезд по 52 вагона, 1 поезд по 55 вагонов.
.Сборные поезда - 1 поезд.
Всего 40 поездов, в том числе 3 пассажирских , 37 грузовых.
Размеры движения поездов по участкам
сводим в табл. 6.1.
Таблица 6.1 Размеры движения поездов участков А-Б, Б-В, В-Г
|
Категория поездов |
Участок А-Б |
Участок Б-В |
Участок В-Г |
|||
|
|
Нечет. |
Чет. |
Нечет. |
Чет. |
Нечет. |
Чет. |
|
Пассажирские Скорые |
1 1 |
1 1 |
2 1 |
2 1 |
2 1 |
2 1 |
|
Итого пассажирских поездов |
2 |
2 |
3 |
3 |
3 |
3 |
|
Грузовые поезда , в том числе отправительские маршруты порожние сквозные участковые сборные |
8 0 4 2 1 |
7 0 5 2 1 |
20 2 11 2 1 |
23 0 11 2 1 |
20 2 11 2 1 |
23 0 11 2 1 |
|
Итого грузовых поездов |
15 |
15 |
36 |
37 |
36 |
37 |
|
Всего |
17 |
17 |
39 |
40 |
39 |
40 |
6.2 Определение основных элементов графика
движения поездов
Элементами графика движения поездов являются:
1.Чистое время хода грузовых и
пассажирских поездов по перегонам и дополнительное время на разгон τри
замедлительное время τз-
определяются на основе тяговых расчетов. В выпускной работе время хода
принимается согласно заданию. Для грузовых поездов ![]()
мин,![]()
мин, для пассажирских ![]()
мин.
.Нормы стоянок поездов на станциях определяются типовым технологическим процессом работы станции и составляют:
а) для транзитных грузовых поездов на технических станциях А,Б-15 мин, Б,Г - 30 мин;
б) для пассажирских поездов на технических станциях - 10 мин;
в) для пассажирских поездов на промежуточных станциях - 2 мин, разъездах - 2 мин.
. Нормы стоянок локомотивов на станциях основного депо - 90 мин, на станциях оборотного депо - 50 мин, в пунктах смены бригад - 15 мин.
. Станционные интервалы. В выпускной работе используются интервалы неодновременного прибытия (τн) и скрещения (τс).
. Интервалы между поездами в пакете при автоблокировке (J).
Расчет интервала неодновременного прибытия.
Интервалы неодновременного прибытия (τн) называется минимальный промежуток времени между прибытием на станцию однопутного участка двух встречных поездов в соответствии с требованиями ПТЭ и ТРА станции.
![]()
м,
где ![]()
- длина поезда; ![]()
;
![]()
- расстояние от предупредительного
сигнала до входного; равно не менее длины тормозного пути.![]()
![]()
расстояние от входного сигнала до
выходного сигнала пути отправления поезда (![]()
);
![]()
расстояние проходимое поездом за
время восприятия машинистом изменения показания предупредительного сигнала, ![]()
.
![]()
.
Определим время за которое поезд
проследует расстояние ![]()
:
![]()
мин,
где ![]()
- средняя скорость входа поезда на
станцию на протяжении расчетого расстояния, км/ч;
Рис 6.1 Расположении поездов в
момент открытия входного сигнала п.2002
Порядок выполнения и нормы времени
на станционные операции, которые определяют продолжительность интервала неодновременного
прибытия на рис. 6.2.
Рис. 6.2. График выполнения операций
в интервале неодновременного прибытия поездов при автоблокировки и ЭЦ стрелок и
сигналов.
Интервалы неодновременного прибытия принимаем равным 3 мин.
Расчет интервала скрещения.
Интервалом скрещения называется
минимальный промежуток времени от момента проследования или прибытия на станцию
однопутного участка поезда до момента отправления на тот же перегон поезда
встречного направления.
Рис. 6.3 Расположения поездов в
интервале скрещения
.4 График выполнения операций в
интервале скрещения при автоблокировке и ЭЦ стрелок и сигналов
Интервал скрещения принимаем равным 1 мин.
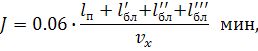
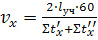
Расчет интервалов между поездами в пакете при автоблокировке.
Интервалом между поездами в пакете называется наименьший промежуток времени между двумя попутно следующими поездами при автоблокировке.
Рис. 6.5 Схема размещения поездов в
пакете при движении на зеленый огонь светофора
При нормальной схеме размещения
поездов в пакете (поезда разграничиваются тремя блок участками) интервал между
поездами в пакете равен:
где ![]()
-длина поезда;
![]()
- длина блок участка;
![]()
- средняя ходовая скорость поезда,
км/ч.
![]()
км/ч,
где ![]()
-длина участка,км;
![]()
,![]()
-чистое время хода пары поездов по
участку без учета времени стоянки и времени на разгон и замедление поезда.
Участок А-Б.
Участок Б-В.
Участок В-Г.
Вывод. Принимаем интервал между
поездами в пакете (J) на участок А-Б,Б-В и В-Г равным 8
мин.
.3 Расчет потребной пропускной
способности участков
Потребной называется пропускная способность, которой должен распологать участок для пропуска заданных размеров грузового и пассажирского движения с учетом резерва:
![]()
пар поездов,
где ![]()
- число пар соответственно грузовых
без сборных поездов;
![]()
,![]()
- количество пассажирских и сборных
поездов;
![]()
- коэффициент резерва пропускной
способности (![]()
);
![]()
,![]()
-коэффицент съема грузовых поездов
пассажирскими и сборными.
![]()
где ![]()
- эквивалент пассажирского поезда;
![]()
-коэффициент дополнительного съема (![]()
).
Принимаем коэффициент
дополнительного съема равным 0,3.
![]()
,
где ![]()
- время занятия пассажирскими
поездами ограничивающего перегона участка, мин;
![]()
- время занятия грузовым поездом ограничивающего
перегона, мин;
![]()
-дополнительное время, равное сумме
станционных интервалов неодновременного прибытия (τн) и
скрещения (τс) и времени
на разгон (τр) и
замедление (τз) поездов.
![]()
мин;
![]()
;
![]()
.
Коэффициент съема грузовых поездов
сборными для однопутных участков с автоблокировкой равен:
где ![]()
- число станций с грузовой работой
обслуживаемых сборными поездами (![]()
);
![]()
- количество пассажирских поездов
на данном участке;
![]()
- соотношение времени хода по
участку пары пассажирских и грузовых поездов, ![]()
.
![]()
;
где J- интервал между поездами в пакете;
![]()
- период парного непакетного
графика.
Участок А-Б.