Материал: Определение работоспособности при выборе оптимально-тренировочной нагрузки

Внимание! Если размещение файла нарушает Ваши авторские права, то обязательно сообщите нам

2.5 Исследование и применение средств восстановления работоспособности организма лыжника

В настоящее время достижение высоких спортивных результатов невозможно без предельных физических и нервно-психических напряжений (нагрузок), которые испытывают спортсмены во время учебно-тренировочных занятий и особенно во время соревнований. Преодоление этих нагрузок сопровождается изменениями состояния метаболических процессов организма. Для компенсации энергозатрат и активации анаболических процессов, а также для восстановления работоспособности лыжника требуется правильная организация питания: общий энергетический объем питания должен соответствовать затраченному объему и определяться в зависимости от интенсивности и продолжительности нагрузок.[48]

Правильное питание лыжника основывается на принципах сбалансированного питания применительно к специфике спортивной нагрузки и этапа подготовки спортсмена. Причем большое значение должно придаваться разработке индивидуального рациона питания в зависимости от антропоморфотипометрических, физиологических и метаболических характеристик спортсмена, состояния его пищеварительного аппарата, равно как и от его вкусов и привычек.

Формулой сбалансированного питания для здорового человека предусмотрено, что наиболее полное удовлетворение потребности в белке, являющемся поставщиком аминокислот, возможно при соблюдении соотношения количеств животного и растительного белка, как 1:1. Количество жиров, которые в организме выполняют роль не только энергетического резерва, но и входят в состав клеточных структур всех тканей организма, должно быть около 30% от общей калорийности пищи. Потребление углеводов, являющихся основными поставщиками энергии при высокоинтенсивной работе лыжников в период напряженных занятий, возрастает до 800-900 г.

Преподаватели-тренеры и специалисты-медики полагают, что лыжники во время учебно-тренировочных занятий и соревнований теряют много солей, что может привести к нежелательным последствиям (судорогам мышц, тепловому истощению). Исследованиями установлено, что после длительных занятий (например, на дистанции 50 км) потери хлористого натрия (поваренной соли) в организме лыжника незначительны, в основном теряется магний, быстрый расход которого и вызывает судороги мышц. Поэтому лыжникам как на длительных и интенсивных занятиях, так и на соревновательных дистанциях необходима компенсация в организме не только хлористого натрия, но и магния. Ежедневная потребность в минеральных солях незначительна и удовлетворяется при правильном питании. Недостаток важных пищевых продуктов может привести к серьезным последствиям. Этот и другие факторы, нарушающие режим питания, приводят к общему утомлению. депрессии и плохой тренированности.[49]

Предстартовое питание. В этот период необходимо избегать острой, вызывающей раздражение пищи, а также продуктов, ведущих к газообразованию, например, репчатого лука, яблок, капусты, бобов. Следует воздерживаться от жирной пищи, поскольку она замедляет освобождение желудочно-кишечного тракта, поддерживать минимальное содержание белков в пище. Количество углеводов в рационе питания в день соревнований должно быть умеренным. Последний прием пищи должен быть за три часа до соревнования. Объем пищи должен быть умеренным.

Для лыжника важно соблюдать также режим приема воды. Организм спортсмена при продолжительных занятиях может терять до 3-5 кг воды и более. Потери воды в организме восполняются из трех источников- при окислительных процессах, при приеме пищи и при питье. С пищей в организм вводится значительная часть воды. Но тем не менее часто лыжники после продолжительных занятий испытывают чувство жажды, особенно в начале подготовительного периода. Нужно ли спортсмену в подобных случаях ограничивать себя в приеме воды? Нет, не нужно! Если лыжник испытывает желание пить и в то же время сознательно ограничивает себя в приеме воды, он тем самым нарушает водное равновесие своего организма и в таком случае, как правило, восстановительные процессы идут медленно. Вместе с тем состояние, при котором спортсмен испытывает большую жажду, может возникать на протяжении первых 10-14 дней учебно-тренировочного процесса. В последующее время он уже не будет испытывать большой жажды, так как организм «втянулся» в режим.

Использование витаминов и фармакологических препаратов.

Принцип, лежащий в основе использования средств повышения работоспособности и ускорения процессов восстановления, базируется на возможности расширения «узких мест» метаболических процессов в организме спортсмена, что достигается путем применения различных витаминных комплексов, отдельных витаминных препаратов, некоторых фармакологических соединений, продуктов повышенной биологической ценности, прием которых назначается только врачом.

Витаминные препараты. Витаминные комплексы: аэробит; декамевит; ундевит. Отдельные витамины: витамин В; витамин В15; витамин С; витамин РР; витамин Е; кислота липоевая; кальция пантотенат.

Фармакологические средства, повышающие устойчивость организма к нагрузкам. Препараты, обеспечивающие усиление белкового синтеза и энергетического обмена: оротат калия; карнитин; МАП.

Препараты энергетического действия: панангин; глютаминовая кислота; кальция глицерофосфат; кальция лектат; лецитин, аминалон.

Адаптогенные препараты: экстракт элеутерококка жидкий; спарал; политабс.

Стимуляторы- кроветворения: железоглицерофосфат; гемостимулин; коамид.

Особенности применения фармакологических препаратов зависят от специфики вида мышечной деятельности спортсмена. По рекомендации врача, в период наиболее интенсивных тренировочных занятий и соревновотельных нагрузок спортсмена могут применяться следующие препараты: аэровит, декамовит, ундевит (в течение первых 20 дней витаминизации); пантотенат кальция; липоевая кислота (совместно с пантотенатом кальция); никотинамид (дополнительно к мокомплексной витаминизации совместно с липоевой кислотой и пантотенатом кальция); тиаминбломид или хлорид (дополнительно к комплексной витаминизации); аскорбиновая кислота; пангамовая кислота (до выезда в горы и при занятиях в среднегорье); витамин Е (при занятиях в условиях гипоксии, а также при низких температурах среды).[50]

Рекомендуется следующая апробированная схема применения перечисленных препаратов. Ежедневно назначается минимально действующая доза, дающая эффект.

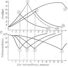
Назначение фармакологических витаминов, так же как и их доза, определяется врачом. Все так называемые «ударные» и «пиковые» дни в микроцикле идут на этой дозе. В дни отдыха или снижения нагрузки, когда тренер-преподаватель своими педагогическими средствами разгружает спортсмена, доза увеличивается до максимальной (рис. 4).

Сущность указанной схемы состоит в том, что прием препарата перед большой нагрузкой перестает блокировать ее воздействие на организм, т. е. занятие дает запланированный эффект.

Вместе с тем прием минимально действующей дозы препарата позволяет сохранить в организме необходимый кумулятивный эффект и в нужное время за один- два дня способствовать наряду с другими средствами быстрейшему восстановлению работоспособности. Такая схема дает более полное сочетание педагогических и фармакологических средств-воздействия на организм спортсмена. Подбор индивидуального комплекса для каждого спортсмена в целом должен быть обусловлен:

) данными текущих и динамических врачебных и биохимических наблюдений за адаптацией к нагрузке;

) психологическим статусом и поведенческими реакциями накануне соревнований и в дни стартов;

) наличием выявленного «лимитирующего» в организме лыжника звена;

) привыканием и резистентностью к одним и тем же препаратам;

) необходимостью профилактики и лечения хронических заболеваний у данного спортсмена [51]. Подбор комплекса препаратов может быть необходим и для решения специальных педагогических задач, поставленных перед спортсменом, которые могут включать: а) освоение резко увеличивающихся в объеме и по интенсивности компонентов занятия; б) преодоление психологического барьера при занятиях, при соревнованиях; в) адаптацию к значительно изменившимся моделям занятия; г) увеличение нагрузки на занятии какого-либо специального качества (силы, гибкости и др) (рисунок 4).

Необходимо во всех случаях учитывать, что правильная методика использования даже биологически менее активных препаратов может дать при спортивной тренировке значительно больший эффект, чем тот, который можно получить от препарата с большим спектром действия, но используемого, однако, без правильного понимания его места в процессе подготовки к ответственным соревнованиям.

Рисунок 4. Принципиальная схема приема фармакологических препаратов в микроциклах тренировок, разных по объему и интенсивности:

- прием препарата; 2 - тренировочная нагрузка.

III. Исследование дозирования тренировочных нагрузок в циклах

В последнее время широкое распространение получил метод дозирования нагрузки по скорости, рассчитанной от средней соревновательной скорости, которую спортсмен может показать на данном этапе подготовки. С этой целью рекомендуется в начале каждого зимнего месяца на месте постоянных учебно- тренировочных занятий проводить контрольную тренировку на дистанции 10 км - для мужчин и 5 км - для женщин. По индивидуальным способностям и в зависимости от степени подготовки каждого спортсмена, а также по результатам контрольной тренировки лыжников можно разделить на подгруппы. В одну подгруппу могут быть объединены те спортсмены, показатели которых по скорости бега мало чем отличаются друг от друга (не более чем на 0,1 м/с). Зная исходную (полную 100%-ную) подгрупповую скорость, можно рассчитать любую другую тренировочную скорость, необходимую для соответствующего микроцикла (см. Приложение 1).[52]

Регулирование скоростью - это первый рычаг в дозировании тренировочных нагрузок. Второй - это выбор величины и продолжительности тренировочной нагрузки с учетом индивидуальных возможностей на том или ином этапе подготовки. Не имея ясного представления по этому показателю, трудно определить качество учебно-тренировочного процесса как в подготовительном, так и в соревновательном периоде подготовки лыжника. Поэтому теперь все чаще лыжники-гонщики подвергаются контрольному испытанию до «отказа», суть которого заключается в следующем.

Известно, что наибольший тренировочный эффект на организм лыжника оказывает непрерывная нагрузка, которая выполняется им при частоте пульса 160- 180 ударов/мин (следовательно, скорости передвижения на лыжах, при которых частота сердечных сокращений менее 160 ударов/мин, нерациональны). Такой интенсивности нагрузки соответствует тренировочная скорость передвижения лыжника, равная 80% от соревновательной скорости у 1 на дистанции 10 км.

Можно рекомендовать таким образом контрольные испытания с лыжниками-гонщиками проводить в беге до «отказа» на скорости, равной 80% от соревновательной на 1,2 и 3-м этапах (мезоциклах) подготовки.[53]

Мы считаем, что комплексное испытание (контрольный кросс на дистанции 10-15 км при 5V 80%) позволит при составлении учебно- тренировочной программы исходить из конкретных возможностей занимающихся студентов в группах отделения спортивного совершенствования. Кроме того, необходимо периодически объективно контролировать повышение работоспособности спортсменов и тем самым судить об уровне развития специальной выносливости. В последнее время, в связи с тем, что радиотелеметрическая аппаратура позволяет контролировать деятельность сердца спортсмена на протяжении всей нагрузки по частоте сердечных сокращений. В практике вузов не представляется возможным повседневно пользоваться подобной аппаратурой, поэтому рекомендуется применять усредненные данные частоты пульса. Так, например, начинающим лыжникам при средней дистанционной скорости, равной 90% от соревновательной, соответствует средняя оптимальная интенсивность пульса 170±10 ударов/мин, у лыжников при скорости 95-100% от соревновательной интенсивность пульса составляет 180±10 ударов/мин.

3.1 Организация и методы исследования

Напряженность работы является характерной особенностью тренировочных нагрузок спортсмена при воспитании у него специальной выносливости. Поэтому при подготовке студентов-лыжников интенсивность тренировочных нагрузок должна планироваться в соответствии с требованиями соревновательной напряженности. Как показывают исследования, от правильного чередования средней и сильной интенсивности на учебно-тренировочных занятиях (пульс 160-180 ударов/мин) зависит динамика тренированности и конечный результат в целом. Анализ обширного фактического материала позволил выявить наиболее рациональное чередование развивающей интенсивности на занятиях микроциклов подготовительного периода (таблица 6). Наибольший эффект в повышении тренированности ведущих студентов-лыжников дает вариант относительно равномерного и непрерывного режима работы.[54]

Таблица 6

Рациональное чередование интенсивности развивающей нагрузки ведущих студентов-лыжников Костанайской области

Месяц года

Интенсивность, %

Месяц года

Интенсивность, %


средняя

сильная


средняя

сильная

Май

90

10

Сентябрь

70

30

Июнь

85

15

Октябрь

65

35

Июль

80

20

Ноябрь

60

40

Август

75

25

Декабрь

55

45


Спортивная тренировка характеризуется планомерностью и систематичностью. Этим она существенно отличается от других факторов, которые также оказывают воздействие на физическую и спортивную работоспособность человека. Здесь следовало бы в первую очередь назвать игру, которая под влиянием современных средств связи принимает у студентов и молодежи все более «спортивный характер». В отличии от спортивной тренировки в ней нет, однако, сознательного стремления к повышению результатов [55]. Планомерность спортивной тренировки находит свое выражение в тренировочных планах, которые, будучи составлены на научной основе и с учетом обобщенного опыта передовой практики, обеспечивают систематическое повышение спортивной работоспособности.

Соотношение нагрузок по объему и скорости должно быть специфичным на каждом этапе (таблица 7).

Если взять команду ведущих лыжников-студентов, то мы сразу видим, что учебно-тренировочный процесс у них проводился целенаправленно и планомерно.[56]

Таблица 7

Объем и интенсивность нагрузки на этапах годичного цикла лыжников сборной района

Этапы (мезоцик лы)

Тренировочные скорости, %

Объем нагрузок, %


100

90-95

85-90

развиваю щей

поддерж вающей

восстана ливающей

I

20 - 25

40 - 45

10 - 20

40

20

5

II

1 - 3

30 - 35

45 - 48

5 - 10

15 - 20

25 - 45

III

5 - 10

40 - 45

25 - 35

45 - 50

10 - 15

15 - 20

IV

5 - 10

50 - 55

10 - 20

40 - 45

15 - 20

5 -10

V

5 - 10

65 - 70

3 - 12

50 - 55

2 - 6

5 - 10

VI

3 - 5

30 - 35

43 - 50

10 - 20

20 - 25

20 - 25

VII

5 - 10

50 - 60

10 - 20

50 - 55

5 - 10

10 - 10

VIII

20 - 25

35 - 45

10 - 20

40 - 50

10 - 15

8 - 10