ввмвм
е
При роботі СЕ приладів відбуваються наступні процеси:
1. Генерація електронно-діркових пар під дією випромінювання;
2. Дифузія неосновних фотогенерованих носіїв до p-n, гетеро- або переходу напівпровідник-метал;
3. Розділення носіїв переходом;
4
.
Збирання
носіїв омічними контактами.
Процеси рекомбінації характеризуються часом життя неосновних носіїв заряду
-
час
життя неосновних носіїв заряду;
- їх теплова швидкість; Sr
- переріз захвату носіїв рекомбінаційними
центрами.
Дифузійна довжина неосновних носіїв заряду пов’язана з їх часом життя
де k – стала Больцмана; - рухливість носіїв заряду; е – заряд електрона.
ВАХ р-n-ПЕРЕХОДУ
Темнова
(а) та світлова (б) ВАХ СЕ
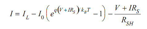
I0,
А -
визначаються механiзмом проходження
струму через структуру. У випадку
дифузійного механiзму А
= 2, емiсiйного механiзму А
= 1, рекомбiнацiйного - 1 < A
< 2, тунельного – 1,3 < A
< 2

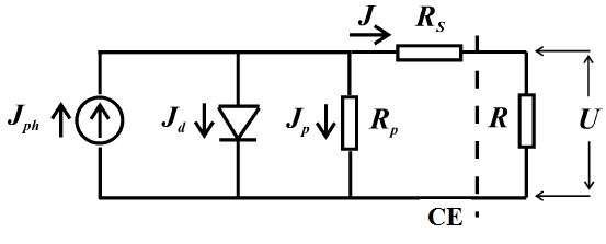
СЕ
можна представити як генератор включений
паралельно з діодом та послідовним та
шунтуючим опорами
У
середніх широтах потік сонячної енергії
на поверхні Землі
варіюється протягом дня від сходу
(заходу) до полудня від 32.88
Вт/м2
до 1233 Вт/м2
в
ясний день і від 19.2
мкВт/м2
до 822 Вт/м2
в похмурий день
Спектр сонячного
випромінювання. Показана різниця між
випромінюванням за межами атмосфери
Землі і на рівні моря
ПОГЛИНАННЯ ФОТОНІВ У Si
Eg(Si)
= 1,1 еВ в результаті будуть поглинатися
фотони з довжиною хвилі <1.1 мкм
Існує оптимальна
для перетворення сонячної енергії
ширина ЗЗ матеріалу
1) Коефіцієнт заповнення ВАХ (fill factor - FF).
Визначається характеристиками діоду і його послідовним опором.
2) Струм короткого замикання (Isc).
Зростає при зменшенні ширини забороненої зони матеріалу. Для заданої ширини забороненої зони, визначається відбиттям, абсорбцією світла, рекомбінацією носіїв заряду.
Зростає при зростанні ширини забороненої зони.
Для заданої ширини забороненої зони матеріалу, визначається рекомбінацією носіїв заряду.

ОПТИМУМ ШОКЛІ-КВАЙСЕРА
Мала ширина забороненої зони дає можливість отримувати високі струми короткого замикання Isc;
Велика ширина забороненої зони дає можливість отримувати високу напругу холостого ходу Voc;
W.
Shockley, and H. J. Queisser, “Detailed Balance Limit of Efficiency
of p‐n
Junction Solar Cells”, J. Appl. Phys., 32, 510, 1961.
МАКСИМАЛЬНИЙ ККД СЕ

Залежність
максимального коефіцієнта корисної
дії сонячного елементу
від
ширини забороненої зони матеріалу (T
=
25 0C):
CIS – CuInSe2,
CIGS – Cu(In,Ga)Se2,
CIGSS – Cu(In,Ga)(S,Se)2
ВТРАТИ ЕНЕРГІЇ У СЕ

В
Вплив шунтуючого
опору
Вплив послідовного
опору
Формула
для струму діоду:

Формула
для струму діоду:
СЕ РІЗНИХ ПОКОЛІНЬ

РОЗПОДІЛ СЕ ЗА МАТЕРІАЛОМ

ВИГОТОВЛЕННЯ ФЕП НА ОСНОВІ Si

ПОВЕРХНЕВА РЕКОМБІНАЦІЯ

Поверхня
СЕ э ефективним рекомбінаційним центром.
Оскільки
p-n-переходи
в прямозонних матеріалах повинні бути
мілкими, поверхнева рекомбінація
суттєво погіршує ККД таких СЕ. Більш
перспективним
є використання фотоелементів на основі
гетеропереходів з широкозонним віконним
шаром. Вікно
відсуває область генерації носіїв від
поверхні перетворювача.
Гетеропереходом (ГП) називають контакт двох напівпровідників, які розрізняються структурними та електрофізичними параметрами: кристалічною структурою, шириною забороненої зони, величиною електронної спорідненості, діелектричними сталими, ефективною масою тощо. Внаслідок цього їх експериментальне дослідження та теоретичний опис набагато складніші ніж у випадку p-n-переходів. Розрізняють ізотипні і анізотипні гетеропереходи. Якщо гетероперехід утворений двома напівпровідниками одного типу провідності, то говорять про ізотипний гетероперехід. Анізотипні гетеропереходи утворюються напівпровідниками з різним типом провідності. Найбільш перспективними вважаються СЕ на основі ГП між сполуками А2В6 Гетеропереходи утворенні сполуками цієї групи, досліджуються вже більше 40 років. Однак в основному вивчені структури, де на монокристалічну підкладку з однієї сполуки різними методами нанесена епітаксіальна плівка іншої сполуки. Серед сполук А2В6 тільки ZnTe і CdTe у нелегованому вигляді можуть мати діркову провідність, всі інші мають n-тип, тому створення анізотипних гетеропереходів можливе лише з даними матеріалами. ТИПОВА КОНСТРУКЦІЯ СЕ НА ОСНОВІ ГП

substrate
superstate superstrate

При встановлені впливу міжкристалітних меж на характеристики приладів з сепаруючими бар’єрами (фотодетекторів, СЕ тощо) їх звичайно поділяють на два типи:
паралельні цьому бар’єру
перпендикулярні йому.
Н
осії
які генеруються випромінюванням за
межею паралельною p-n чи ГП практично
повністю рекомбінують на зерномежевих
станах і внеску у фотострум не вносять,
суттєво погіршуючи характеристики
приладів. При цьому міжкристалічні
потенціальні бар’єри є суттєвими
перепонами для носіїв заряду, які їх
все ж перетнули. В результаті в
полікристалічних напівпровідниках
рухливість носіїв суттєво знижується
у порівнянні з їх рухливістю у
монокристалічному матеріалі.
Межі перпендикулярні сепаруючому бар’єру призводять до зменшення струмів короткого замикання Isc та напруги холостого ходу Uoc,, збільшення струмів втрати СЕ та інших приладів в яких генеруються носії заряду.
Для мінімізації цих втрат зерна полікристалічних плівок повинні бути стовпчастими з розмірами, що перевищують подвоєну дифузійну довжину носіїв заряду (D>>2Ldif).
Vd
- висота потенціального бар’єра, Ns
- густина поверхневих станів
Електрична
активність різних меж є різною. Найменшу
активність мають межі між когерентними
двійниками та ДП, найбільшу
висококутові міжзеренні.
Останнім властива висока концентрація
дислокацій, велика деформація кристалічної
гратки і суттєва сегрегація домішок.
Саме вони в значній мірі визначають
електрофізичні характеристики
полікристалічного матеріалу.