де
=
, Ed,
E0
- сталі
речовини.
Коефіцієнт заломлення n згідно з емпіричною формулою Друде-Фойгта, може бути записаний у вигляді
n2
= 1 +
,
де N – число іонів в одиниці об'єму;
e і m – заряд і маса електрона відповідно.


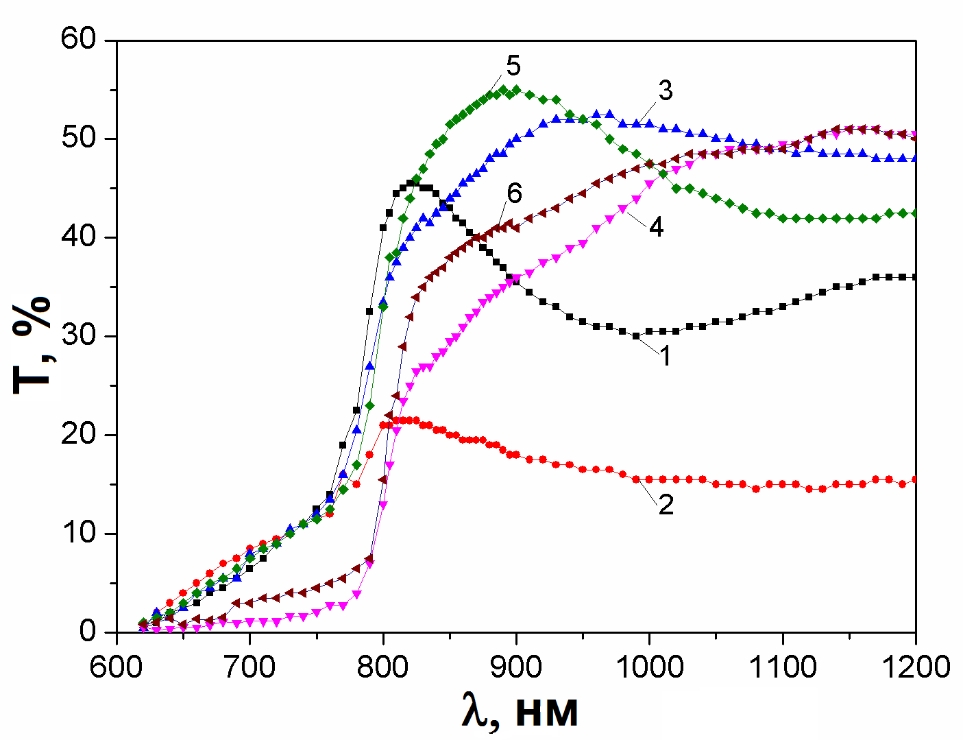
Спектри пропускання (а) та відбиття (б) плівок CdТe, отриманих при Te = 893 K та різних температурах підкладки Ts, K: 293 (1); 373 (2); 473 (3); 573 (4); 673 (5); 773 (6).
Відомі в наш час напівпровідники у відповідності з конфігурацією зон поділяють на два основні види. У першому з них мінімум енергії в зоні провідності, який характеризується хвильовим вектором kмін і максимумом енергії у валентній зоні kмакс розташовані у одній тій самій точці зони Брилюєна (звичайно у точці k = 0). Такі напівпровідники називаються прямозонними (GaAs, InSb, CdTe). У іншого виду напівпровідників екстремуми зони провідності і валентної знаходяться при різних значеннях k. Такі напівпровідники називаються непрямозонними (Ge, Si). Оскільки екстремуми зон зміщені за k, то перекидання електрона під дією фотона відбувається зі зміною вихідного значення квазіімпульса. Для цього потрібне третє тіло – фонон, який забере частину імпульсу на себе. Такі переходи менш ймовірні.
Дисперсійне
співвідношення
Дисперсійне
співвідношення
Зона
з прямими переходами: Зона з непрямими
переходами:
сильна абсорбція = A(hv - Eg)1/2 слабка абсорбція = A(hv - Eg)2
(високий показник поглинання >105 cм-1) (низький показник < 103 cм-1)
ПОГЛИНАННЯ СВІТЛА
Прямозонні матеріали поглинають 90% падаючого світла на товщині 1-3 мкм, непрямозонні на 100-150 мкм. Для того, щоб поглинути 100% світла, шар кремнію повинен мати товщину104 мікрон, в той час коли, наприклад, шар CdTe (CIGS) – лише 4-5 мікрон

Залежності
(hv)2
- E
для прямозонних плівок ZnS, отриманих
при різній температурі підкладки
Залежності
()1/2
- E
при різній температурі для германію
(а) і кремнію (б). Ep
– енергія
фонона який приймає участь у оптичних
переходах
У
випадку прямозонних
матеріалів перетин
дотичної з віссю x
дає
значення забороненої зони матеріалу.
У випадку непрямозонних
матеріалів маємо
два прямолінійні ділянки, дотичні дають
перетин у точках Eg+Ep
та
Eg
–
Ep.
Значенню
Eg
відповідає
половина відрізку між цими точками
При поглинанні світла напівпровідниками можливе таке збудження електрону валентної зони, при якому він не переходить у зону провідності, а утворює з діркою зв'язану систему. Така система отримала назву екситону.
Ексито́н (лат. excito — «збуджую») — воднеподібна квазічастинка, що являє собою електронне збудження в діелектрику, напівпровіднику або металі, яка мігрує по кристалу и не пов'язана з перенесенням електричного заряду.
Повна
енергія екситонів дорівнює hv
= hv
-
де hv співпадає з шириною забороненої зони матеріалу; Еекс – енергія зв'язку екситону.
Можуть існувати як вільні так і зв'язані на дефекті кристалу (домішці) екситони.
Енергетичне
положення екситонів на оптичному
спектрі напівпровідника
Схематичне
представлення енергії – екситонів
відносно зони провідності (а). Пов'язані
пари електрон-дірка як вільні, так і
зв'язані (б)
Люмінесценцією називається електромагнітне нетепловое випромінювання, що має тривалість, яка значно перевищує період світлових коливань. Для виникнення люмінесценції в напівпровіднику атоми напівпровідника повинні бути виведені зі стану термодинамічної рівноваги, тобто збуджені. Вони можуть бути переведені в збуджений стан електричним полем - електролюмінесценція, бомбардуванням напівпровідника електронами -катодолюмінесценція, освітленням - фотолюмінісценція. При люмінесценції акти поглинання енергії напівпроводником і випромінювання квантів світла розділені в часі. Люмінесценція, яка відбувається під час збудження називається флюоресценцією, якщо ж вона продовжується після закінчення збудження – фосфоресценцією.
Випромінювання квантів світла з напівпровідника може відбуватися в результаті переходу електрона на більш низький енергетичний рівень при міжзонної рекомбінації або при рекомбінації за участю рекомбінаційних пасток. Випромінювальна рекомбінація носіїв заряду може відбутися без електромагнітного впливу, тобто самовільно. Така рекомбінація називається спонтанною. Акти спонтанного випромінювання відбуваються незалежно один від одного в різні моменти часу. Тому спонтанне випромінювання не когерентне.
Перехід електрона на більш низький енергетичний рівень з випромінюванням кванта світла, що стався з допомогою електромагнітного впливу, називається вимушеної або стимульованої рекомбінацією. Індуковане випромінювання відбувається в тому ж напрямку, що і викликало його випромінювання, в одній і тій же фазі і з однаковою поляризацією. Індуковане випромінювання є когерентним.
На практиці найбільшого поширення набула електролюмінесценція. На основі цього явища працюють випромінювачі, тобто прилади, що перетворюють електричну енергію збудження в енергію оптичного випромінювання заданого спектрального складу і просторового розподілу. Когерентні - інжекційні лазери і некогерентні - світловипромінюючі діоди.
Специфічні вимоги до світловипромінюючих діодів: робота у видимому діапазоні 400 ... 700 нм, висока яскравість, визначають вимоги до напівпровідникових матеріалів для їх виготовлення. Міжзонна рекомбінація найбільш імовірна в прямозонних напівпровідниках, типовими представниками яких є GaAs, InAs, InSb, GaSb, більшість сполук А2В6 (ZnS, ZnSe, ZnTe, CdS, CdTe, CdSe), а також ряд інших бінарних сполук - PbS, PbSe, PbTe.
Спектральний склад оптичного випромінювання визначається шириною забороненої зони в прямозонних напівпровідниках і енергетичним рівнем пасток в непрямозонних.
І
Схема
випромінювальної рекомбінації носіїв
на р-n-переході: 1 - потік електронів, 2 -
потік дірок, 3 - міжзонна випромінювальна
рекомбінація носіїв, 4 - випромінювальна
рекомбінація носіїв через центри
люмінесценції
|
|
Люмінесценцію можна викликати шляхом інжекції носіїв через р-n - перехід. Зонна схема р-n - переходу, включеного в прямому напрямку, представлена на рис. 1. Прикладання зовнішньої напруги U, що понижує контактну різницю потенціалів, дає можливість частині носіїв проникнути в перехід і прилеглі до нього області та рекомбінувати з носіями заряду протилежного знака, при цьому відбувається випромінювання квантів світла (перехід 3 на рис. 1). Рекомбінація може відбуватися також з участю рівнів домішки (перехід 4) Ударна іонізація Схематично процеси ударної іонізації і ударного збудження на р-n-переході, що включений в зворотному напрямку, зображені на рис. В сильному електричному полі електрони зони провідності прискорюються (перехід 2), накопичуючи енергію, достатню для вибивання електронів з валентної зони в зону провідності (перехід 3). Поряд з цим відбуваються також збудження або іонізація центрів люмінесценції (переходи 4 і 5 відповідно). Аналогічні переходи відбуваються під дією дірок, що прискорюються. Випромінювання виникає при переходах, обернених 4 (внутрішньоцентрова люмінесценція), а також 3 і 5 (міжзонна рекомбінація електронів з дірками і рекомбінація через центри люмінесценції відповідно). При деякому критичному значенні напруженості електричного поля цей процес приводить до настільки різкого збільшення густини струму, що відбувається електричний пробій напівпровідника. |
Фоторезистивний ефект - це зміна електричного опору напівпровідника, обумовлене виключно дією оптичного випромінювання і не пов'язане з його нагріванням.
Для виникнення фоторезистивного ефекту необхідно, щоб у напівпровіднику відбувалося або власне поглинання оптичного випромінювання з утворенням нових пар носіїв заряду, або домішкове поглинання з утворенням носіїв одного знака. В результаті збільшення концентрації носіїв заряду зменшується опір напівпровідника.
Надлишкову концентрацію носіїв заряду, наприклад, електронів можна визначити наступним чином
Δ n = (1-R) αη NФτ,
де R - коефіцієнт відбиття фотонів від напівпровідника,
α - показник поглинання,
η - квантова ефективність генерації,
NФ - кількість фотонів, що падають на одиничну поверхню в одиницю часу,
τ - час життя нерівноважних носіїв заряду.
н
Розподіл
випромінювачів і фотоприймачів в
оптичному діапазоні спектру
Електронні пристрої та системи, в яких використовують разом із традиційними електричними ефектами неелектричні, лежать в основі нового напряму в електроніці – оптоелектроніки.
Оптоелектроніка – це галузь електроніки, в якій вивчаються як оптичні, так і електронні явища в кристалах, а також розглядаються питання перетворення оптичних сигналів у електричні та навпаки.
У широкому сенсі оптоелектронний пристрій це прилад, що випромінює або перетворює електромагнітне випромінювання у видимій, інфрачервоної (ІК) або ультрафіолетової (УФ) областях спектру, або використовує подібне випромінювання для внутрішньої взаємодії його елементів.
Оптоелектронні напівпровідникові прилади (ОПП) ділять на випромінювачі, приймачі випромінювання, оптопари і оптоелектронні ІМС (табл. 1).
|
|
Перераховані вище групи приладів здійснюють генерацію, перетворення, передачу і збереження інформації. Носіями інформації в оптоелектроніці є нейтральні в електричному розумінні частинки - фотони, які не чуттєві до впливу електричних і електромагнітних полів, не взаємодіють між собою і створюють односпрямовану передачу сигналу, що забезпечує високу перешкодозахищеність і гальванічну розв'язку вхідних і вихідних електричних кіл.
|
Напівпровідниковий випромінювальний діод (світлодіод) – це напівпровідниковий прилад з одним або кількома електричними переходами, призначений для безпосереднього перетворення електричної енергії в енергію некогерентного світлового випромінювання.
Відповідно до ГОСТ 10862-72 першим елементом позначення світлодіодів є буква або цифра, що означає матеріал виготовлення (А(1) - арсенід галію), другим елементом є буква “Л”.
Значення третього елемента позначення світлодіодів такі:
1 – діод інфрачервоного діапазону;