Окончание таблицы А2
U |
|
|
Преобразователи электрических величин |
в |
||
|
|
|
электрические |
|
|
|
|
UA |
ДТ |
Датчик тока |
|
|
|
|
UV |
ДН |
Датчик напряжения |
|
|
|
|
UZ |
ТП |
Тиристорный преобразователь |
|
||
|
|
ПЧ |
Преобразователь частоты |
|
|
|
|
|
В |
Выпрямитель |
|
|
|
|
|
И |
Инвертор |
|
|
|
V |
|
|
Приборы |
электровакуумные |
и |
|
|
VD |
Д |
полупроводниковые |
|
|
|
|
VM |
Вп |
Диод, стабилитрон |
|
|
|
|
VC |
|
Выпрямитель силовой |
|
|
|
|
VS |
Т |
Выпрямитель цепей управления |
|
||
|
VT |
Т |
Тиристор |
|
|
|
|
VL |
Л |
Транзистор |
|
|
|
|
|
|
Электровакуумный прибор |
|
|
|
W |
|
|
Линии электропередач, кабели, шины, антенны |
|
||
X |
|
|
Контактные |
устройства |
соединительные, |
|
|
|
|
элементы выводов, разъемы |
|
|
|
|
XP |
Ш |
Вилка (штырь) штепсельная |
|
|
|
|
XS |
|
Розетка (гнездо) штепсельное |
|
||
|
XT |
Кл |
Разборное соединение (клеммник) |
|
||
Y |
|
|
Устройства |
механические |
с электрическим |
|
|
YA |
Эм |
приводом |
|
|
|
|
YB |
ЭмТ |
Электромагнит |
|
|
|
|
YC |
ЭмМ |
Электромагнитный тормоз |
|
|
|
|
|
|
Электромагнитная муфта |
|
|
|
Z |
|
|
Устройства |
оконечные, |
дифференциальные |
|
|
|
|
трансформаторы, фильтры, ограничители. |
|
||
311
ПРИЛОЖЕНИЕ Б Реализация элементов СУЭП на операционных усилителях
Элементы, входящие в состав аналоговых СУЭП (регуляторы, фильтры, задатчики, схемы выделения модуля и т.д.), реализуются, как правило, на операционных усилителях.
Операционный усилитель (ОУ) – это усилитель постоянного тока с большим коэффициентом усиления в разомкнутом состоянии. Наибольшее применение получили ОУ интегрального исполнения, которые характеризуются следующими основными показателями:
-дифференциальный коэффициент усиления в разомкнутом состоянии Куо=103…105;
- напряжение питания |
Uп = 6,3…15 В; |
- сопротивление нагрузки |
Rн = 2…5 кОм; |
- входное сопротивление |
Rвх > 1 кОм; |
- выходное сопротивление |
Rвых = 0,2…1 кОм; |
- полоса пропускания |
f = 1 МГц. |
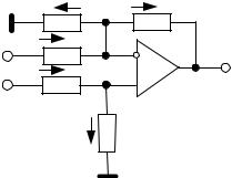
Входной дифференциальный каскад ОУ имеет инвертирующий вход 1 (обозначается кружком) и не инвертирующий (или прямой) вход 2. При подаче входного напряжения на инвертирующий вход на выходе ОУ появляется напряжение противоположной полярности (инверсное) по отношению к полярности входного напряжения, при подаче напряжения на прямой вход изменения полярности выходного напряжения не происходит. Использование обоих входов ОУ расширяет возможности его применения. Принципиальная электрическая схема включения ОУ с использованием как инверсного, так и прямого входов представлена на рис.Б.
312
|
Z3 |
I3 |
Iос |
Zос |
uвх1 |
I1 |
Z1 |
1 |
uвых |
uвх2 |
I2 |
Z2 |
2 |
|
|
|
I4 |
Z4 |
|
Рис.Б. Схема включения ОУ
Выведем зависимость выходного напряжения ОУ от входных напряжений, для чего примем следующие допущения:
-входные токи ОУ малы и ими можно пренебречь ( iвх1 = iвх2 =0);
-потенциалы входов одинаковы по величине и близки к нулю
( U1 = U2 =0).
Для инверсного входа ОУ можно записать следующую систему уравнений (в операторной форме записи):
I1(p) − I3 (p) − Iос (p) = 0; |
|
|||||||||||
I |
(p) = |
u |
|
(p) |
− U (p) |
; |
|
|
||||
|
|
вх1 |
|
|
|
1 |
|
|
|
|||
1 |
|
|
|
|
Z1 |
(p) |
|
|
|
|
|
|
|
|
|
|
|
|
|
|
|
||||
|
|
|
U (p) |
|
|
|
|
|
|
(Б.1) |
||
I3 |
(p) = |
|
; |
|
|
|
|
|
||||
|
|
1 |
|
|
|
|
|
|
|
|||
|
|
|
Z3 (p) |
|
|
|
|
|
|
|
||
Iос (p) = |
U (p) |
− u |
|
(p) |
|
|
||||||
|
1 |
|
|
|
вых |
|
|
; |
|
|||
|
|
|
|
|
Zос (p) |
|
|
|
|
|||
где Zi (p) - полное сопротивление i – го участка цепи в операторной форме записи, Ом.
Решение системы уравнений (Б.1) относительно потенциала 1 входа U1(p) позволяет получить следующее равенство:
313
|
uвых (p) + uвх (p) Zос (p) |
|
|
|
||||
U1(p) = |
|
Z1(p) |
|
|
. |
(Б.2) |
||
|
+ Zос (p) Z |
|
|
|||||
1+ Zос (p) Z (p) |
|
(p) |
|
|||||
1 |
|
|
3 |
|
|
|||
Для прямого входа ОУ уравнение для определения потенциала 2 |
||||||||
входа U2 (p) принимает следующий вид: |
|
|
|
|
|
|
||
U2 (p) = I4 (p)Z4 (p) = I2 (p)Z4 (p) = uвх2 (p) |
|
|
Z4 (p) |
.(Б.3) |
||||
Z2 |
(p) + Z4 (p) |
|||||||
|
|
|
|
|||||
На основании равенства U1 = U2 |
можно приравнять выражения |
|||||||
(Б.2) и (Б.3) и решить равенство относительно выходного напряжения ОУ uвых (p) , в этом случае получается следующее уравнение:
uвых (p) = −uвх1(p) Zос (p) |
+ |
|
|
|
||||||
|
|
|
|
Z1(p) |
|
|
|
(Б.4) |
||
|
|
|
Z4 (p) |
|
|
|
|
|
||
+ uвх2 |
(p) |
|
|
(1+ |
Zос (p) |
+ |
Zос (p)) |
|||
Z2 |
(p) + Z4 (p) |
|||||||||
|
|
|
|
Z1(p) |
|
Z3 (p) |
||||
Например, если используется только инверсный вход ОУ, то в этом случае Z2 (p) = ∞ , и выражение (Б.4) примет вид:
uвых (p) = −uвх1 |
(p) Zос (p) |
, |
(Б.5) |
|
Z1(p) |
|
|
из которого можно получить выражение для определения передаточной функции ОУ по инверсному входу:
314
W |
(p) = uвых (p) |
= Zос (p) . |
(Б.6) |
1 |
uвх1(p) |
Z1(p) |
|
|
|
Из выражения (Б.6) видно, что передаточная функция ОУ определяется отношением полного сопротивления в цепи обратной связи к полному сопротивлению на входе ОУ, представленными в операторной
форме. Если в цепи обратной связи ОУ включен конденсатор C , а на
входе ОУрезистор R1 , то |
в этом случае получится |
следующая |
||||||||
передаточная функция ОУ: |
|
|
|
|
|
|
|
|
|
|
W (p) = Zос (p) |
= |
|
1Cос (p) |
= |
1 |
= |
|
1 |
, (Б.7) |
|
1 |
Z1(p) |
|
|
R1 |
R1Cос (p) |
|
Tи (p) |
|||
|
|
|
|
|||||||
т.е. ОУ является интегрирующим (И) с постоянной времени интегрирования, равной произведению R1Cос .
Если в ОУ используется только прямой вход, т.е. Z1(p) = ∞, то выражение (Б.4) примет вид:
uвых (p) = uвх2 |
(p) |
|
Z4 (p) |
(1 + |
Zос (p) |
). (Б.8) |
||
Z2 |
(p) + Z4 (p) |
Z3 |
(p) |
|||||
|
|
|
|
|||||
Тогда на основании (Б.8) можно получить выражение для определения передаточной функции ОУ по прямому входу:
W (p) = uвых (p) |
= |
Z4 (p) |
(1 + Zос (p)) . (Б.9) |
||
|
|||||
2 |
uвх2 |
(p) |
|
Z2 (p) + Z4 (p) |
Z3 (p) |
|
|
||||
Если теперь в цепь обратной связи ОУ включить конденсатор, а во входной цепи использовать резисторы R2 , R3 и R4 , то в этом случае передаточная функция по прямому входу определится:
315