Материал: fomin-n-v-sistemy-upravlenija-elekt-437151079-unlocked

Внимание! Если размещение файла нарушает Ваши авторские права, то обязательно сообщите нам

Важнейшими показателями качества регулирования являются

максимальное динамическое падение скорости и время ее восстановления:

∆ω

0,95∆ω

 

8Tµ I

с

,

 

 

 

 

 

раз T

 

I

дин

 

 

н

(5.43)

 

 

 

м

 

 

 

tвосст 15,5Tµ.

Восстановление скорости происходит в результате действия интегральной составляющей РС за счет повышенного перерегулирования тока (момента), составляющего примерно 54%.

Рис.5.44. Реакция СУЭП на возмущающее воздействие

Возможно использование варианта ПИ регулятора скорости, обеспечивающего «минимальный показатель колебательности» системы регулирования [9,14,15], с передаточной функцией:

Wрс (p) =

8Tµp +1

 

 

.

(5.44)

25,6Tµ2

Rэkос

 

 

p

 

 

 

 

 

 

сT k

от

 

 

 

 

 

м

 

 

 

 

191

 

 

 

 

 

Из сопоставления свойств одно- и двукратноинтегрирующих систем регулирования скорости можно сделать следующие выводы:

Двукратные СУЭП обладают астатизмом первого порядка как по задающему, так и по возмущающему воздействиям и поэтому относятся к классу астатических систем регулирования.

Более простую реализацию имеют однократные СУЭП (РС пропорциональный и нет входного добавочного фильтра).

Более быструю реакцию на задающее воздействие имеют также однократные СУЭП.

Более благоприятную реакцию на возмущающее воздействие имеют двукратные СУЭП (установившаяся просадка скорости равна нулю), однако при этом значительно возрастает перерегулирование якорного тока (момента) электродвигателя.

Исходя из этих свойств, определяется выбор структуры СУЭП в зависимости от конкретных требований к электроприводу с точки зрения обеспечения заданного технологического процесса.

Контрольные вопросы:

1.Когда применяется двукратная система регулирования скорости?

2.Как получить передаточную функцию регулятора скорости в двукратной СУЭП?

3.Поясните вид механических характеристик в двукратной СУЭП. Как работает система регулирования при возрастании момента нагрузки?

4.С какой целью устанавливают фильтр во входной цепи регулятора скорости, чему равна постоянная времени фильтра?

5.Как выполняется реализация регулятора скорости в двукратной СУЭП на операционном усилителе?

6.Почему двукратная СУЭП получила название настройки на «симметричный оптимум»?

7.Сравните динамические свойства однократной и двукратной СУЭП (для объяснения используйте переходные процессы реакции на скачкообразное задание).

8.Как получаются уравнения переходных процессов изменения тока и скорости при набросе нагрузки в двукратной СУЭП?

9.Сравните переходные процессы при набросе нагрузки в однократной и двукратной СУЭП, объясните их различие.

192

10. Выполните сравнительный анализ однократной и двукратной СУЭП.

5.4. Ограничение переменных в структурах подчиненного регулирования

Кроме выполнения основных задач, связанных с регулированием координат электропривода, в соответствии с требованиями технологического процесса, СУЭП должна обеспечивать и безопасный режим работы объекта, предотвращая поломки механического и электрического оборудования в аварийных режимах. Это достигается путем ограничения регулируемых параметров на допустимых (заданных) уровнях.

Так как в системах подчиненного регулирования координат для основных регулируемых координат предусмотрены локальные системы регулирования i-ой координаты (тока, скорости и т.д.), то ограничение этих регулируемых координат осуществляется ограничением сигналов задания для данных локальных систем регулирования.

5.4.1 Ограничение задающих воздействий для локальных систем регулирования

Примером реализации этого принципа ограничения является ограничение величины якорного тока допустимым значением за счет

ограничения напряжения задания якорного тока на уровне uзтmax . В этом

случае быстродействующий токовый контур будет стабилизировать максимальный якорный ток (на входе РТ ошибка регулирования равна нулю, т.е. заданное и действительное значения якорного тока будут одинаковы). Поскольку в системе подчиненного регулирования координат напряжение задания тока формируется на выходе РС, то для

ограничения uзт (т.е. ограничения тока якоря) необходимо ограничить

выходное напряжение РС. С этой целью в цепь обратной связи операционного усилителя, на котором реализован РС, включают нелинейный элемент (блок ограничения БО на рис.5.28 и 5.38) с характеристикой «зона нечувствительности». Ширина зоны

нечувствительности задается сигналом uзтmax , величина которого

устанавливается в процессе настройки системы регулирования в соответствии с требуемой величиной ограничения тока якоря. Принцип

ограничения uзт , а, следовательно, тока якоря и пропорционального ему момента заключается в следующем.

Если выходное напряжение РС, поступающее на вход РТ и одновременно на вход БО, укладывается в зону нечувствительности БО,

193

то выходное напряжение БО, поступающее на вход РС равно нулю и не оказывает никакого влияния на работу РС (и на м еханическую характеристику электродвигателя).

Если же выходное напряжение РС выходит за пределы зоны нечувствительности БО, то выходное напряжение блока БО резко возрастает. Поскольку это напряжение поступает по цепи обратной связи снова на вход РС, то результирующий входной сигнал регулятора уменьшается. Благодаря этому происходит ограничение выходного напряжения РС на уровне порога зоны нечувствительности БО. В этом случае РС заходит в ограничение (см. характеристику на рис.5.26),

поэтому напряжение обратной связи по скорости uос не влияет на

выходное напряжение РС, т.е. система регулирования по скорости размыкается. В этом случае на вход РТ подае тся максимальное

напряжение задания тока uзтmax и система регулирования переходит в

режим стабилизации максимального тока якоря, которому соответствует абсолютно мягкая механическая характеристика электродвигателя.

При помощи БО можно ограничить выход РТ, т.е. ограничить uу

на входе ТП, следовательно, будет ограничена величина выпрямленной ЭДС ТП. Для ограничения скорости вращения электродвигателя необходимо ограничить величину задания на входе РС, т.е. величину

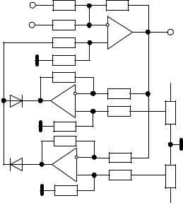
напряжения uзсmax . Пример реализации БО на операционных усилителях

показан на рис.5.45, где на операционном усилителе DA1 реализован регулятор скорости, а на операционных усилителях DA2 и DA3 – блок ограничения БО.

Коэффициенты передачи операционных усилителей DA2 и DA3 по прямому и инверсному входам одинаковые. Выходное напряжение РС подается на инверсные входы DA2 и DA3. Если выходное напряжение РС равно нулю, то на прямой вход DA2 поступает напряжение +U0, поэтому выходное напряжение DA2 положительной полярности запирает диод VD1, отключая выход DA2 от входа DA1. При этом на прямой вход DA3 поступает напряжение –U0, и выходное напряжение DA3 отрицательной полярности запирает диод VD2, отключая выход DA3 от входа DA1. Если выходное напряжение регулятора скорости отрицательной полярности станет равно напряжению -U0, то в этом случае откроется диод VD2 и ко входу РС через резистор R7 подключится выход DA3, препятствуя дальнейшему увеличению выходного напряжения РС за счет сильной отрицательной обратной связи (коэффициент передачи DA1 по прямому входу намного больше

194

коэффициента передачи по инверсному входу), стабилизируя выходное напряжение РС на уровне uзт = −U0 .

При положительной полярности выходного напряжения РС вступает в работу DA2, также ограничивая величину выходного

напряжения РС, но уже на уровне uзт = +U0 . Как видно из схемы,

изменяя величину напряжения, снимаемого с потенциометров RP1 и RP2

(+U0 или –U0), можно установить необходимую величину зоны нечувствительности, т.е. ограничить выходное напряжение РС на необходимом уровне.

+uзс

R4

R6

 

 

-uос

R5

 

-uзт

 

R7

 

 

 

 

 

DA1

 

 

 

 

R10

 

+Uп

VD1

 

R8

 

 

DA2

R9

+U0

RP1

 

 

 

 

 

 

 

 

 

R13

 

 

VD2

 

R11

 

 

 

DA3

R12

-U0

RP2

 

 

 

 

 

 

 

-Uп

Рис.5.45. Принципиальная электрическая схема блока ограничения РС

Недостатком данного способа ограничения переменных электропривода является то, что при работе регулятора в режиме ограничения система регулирования становится существенно нелинейной. При этом в общем случае не г арантируется получение оптимальных переходных процессов, присущих линейным структурам подчиненного регулирования.

195