Материал: Диссертация Маленьких В.С(ПРО МОЛЬНОЕ СООТНОШЕНИЕ)

Внимание! Если размещение файла нарушает Ваши авторские права, то обязательно сообщите нам

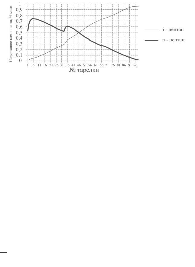
Рисунок 32 – Концентрационный профиль колонны деизопентанизатора по разделяемым компонентам в штатном режиме работы

Рисунок 33 – Концентрационный профиль деизопентанизатора по разделяемым компонентам при изменении номеров тарелок ввода питания

«Основные параметры работы деизопентанизатора при изменении структуры ввода потоков питания представлены в таблице 16. Расход ороше-

ния согласно расчетам снизится на 13,3 % (с 575 м3/ч до 498,3 м3/ч), а

нагрузка рибойлера – на 11,4 % (со 130,9 ГДж/ч до 115,9 ГДж/ч)» [51].

101

«Необходимо отметить, что при переходе на новый режим работы снизится также нагрузка конденсатора на 11,9 % (со 127 ГДж/ч до 111,9

ГДж/ч). По этой причине дополнительное снижение расхода орошения в ко-

лонне-деизопентанизаторе, а соответственно и нагрузки рибойлера, может быть достигнуто за счет снижения давления в колонне на 50 кПа с сохране-

нием измененной структуры ввода питания в колонну. Известно, что сниже-

ние давления в колонне положительным образом сказывается на ее разделя-

ющей способности, что является дополнительным преимуществом. Режим-

ные параметры работы колонны деизопентанизатора при переходе к этому режиму работы представлены в сводной таблице 17, а концентрационный профиль – на рисунке 34» [51].

102

Рисунок 34 – Концентрационный профиль деизопентанизатора по разделяемым компонентам при изменении номеров тарелок ввода питания и снижении давления в колонне

«Снижение давления в колонне приведет к дополнительному умень-

шению расхода орошения на 7,1 % (на 35,3 м3/ч), а нагрузки рибойлера – на 6 % (на 7 ГДж/ч)» [51].

«При переходе к этому режиму работы температура в рефлюксной емкости снизится на 6,2 °С и составит 58,8 °С. Ориентировочные расчеты на основании уравнения теплопередачи:

= ∆ср,

(4.1)

где – количество переданной теплоты, Дж;

– коэффициент теплопередачи, Дж/м2·°С;

– поверхность теплопередачи, м2;

ср – средняя движущая разность температур, °С, показывают (приняты значения ср = 45°С для штатного режима и ср = 39°С для режима с из-

менением номеров тарелок ввода питания и пониженным давлением), что произведение , вычисленное для штатного режима как = кондср =

12745 = 2,8ГДж/ч · °С , и для режима с измененной структурой ввода питания

ипониженным давлением в колонне как = кондср = 106,939 =

2,7ГДж/ч · °С практически не меняется» [51].

103

«Проведенные оценочные расчеты показывают, что система конден-

сации и охлаждения паров деизопентанизатора при переходе к рекомендуе-

мому режиму будет работать стабильно. Снижение расхода орошения до уровня 463 м3/ч соответствует нормам технологического регламента (указан-

ный диапазон 395–766 м3/ч), поэтому проведения дополнительного повероч-

ного расчета колонны по паровым и жидкостным нагрузкам не требуется.

Качество продуктов при коррекции режима работы деизопентанизатора не меняется и соответствует нормам регламента (содержание n-пентана не должно превышать 2 % масс.)» [51].

4.7. Модернизация системы фильтрации установки изомеризации

Технологическая схема данной системы оборотного водоснабжения установки изомеризации будет состоять из нескольких блоков очистки на разных фильтрах (представлена на рисунке 35). На первом этапе происходит фильтрация от шлама подпиточной воды через сетчатый фильтр, задержива-

ющий частицы до 50 мкм, а оборотной на щелевом фильтре, имеющем такие же характеристики; на втором этапе два этих потока соединяются и попадают в УФ-стерилизатор, где происходит обеззараживание воды от микробиоло-

гии; третья стадия – это очистка воды в насыпном фильтре от остаточных взвешенных веществ и обеззараженной микробиологии.

Предлагаемые технические решения характеризуются:

высоким качеством очищенной оборотной и подпиточной воды (в

соответствии с ВУТП-97);

уменьшением потребления дорогостоящих реагентов биоцидного

ряда;

низкими эксплуатационными затратами (срок службы УФ-ламп со-

ставляет 1,5 года, минимальный гарантированный срок службы алюмосили-

катного фильтрующего вещества в насыпном фильтре составляет 5 лет, а

104

сетчатый и щелевой фильтры не требуют замены фильтрующих элементов);

возможностью повышения мощности и регулирования степени очистки за счет модульности исполнения;

малыми занимаемыми площадями (все оборудование легко поме-

стится в помещении фильтровальной и реагентной насосной) [48; 50; 66; 68; 72].

Рисунок 35 – Предлагаемая блок схема фильтрации воды установки изомеризации

Данная система подготовки воды позволит гарантировать четырех-

летний межремонтный пробег холодильного оборудования за счет уменьше-

ния отложения солей жесткости, воздействия подшламовой коррозии и сни-

зить (исключить) затраты на его ремонт. Это будет достигаться фильтрацией подпиточной воды от взвешенных веществ и своевременными продувками с помощью системы контроля солесодержания и продувочного клапана. Вто-

рой предложенный способ позволит еще больше увеличить межремонтный пробег холодильного оборудования за счет более тонкой фильтрации после стадии УФ-обеззараживания. Скорость отложения солей жесткости в зависи-

мости от выбранного варианта модернизации можно выразить с помощью графиков на рисунке 36.

105