Материал: А27516 Сабуров АГ Гуляева ЮН Основы гидравлики гидравлич-х машин и гидропривода Конспект лекций

Внимание! Если размещение файла нарушает Ваши авторские права, то обязательно сообщите нам

Формула (2.23) выражает закон Архимеда, согласно которому сила, с которой жидкость воздействует на погруженное в нее тело, равна весу жидкости в объеме погруженного тела.

Глава 3. Гидродинамика

В гидродинамике изучаются законы движения капельных жидкостей.

3.1. Основные характеристики движения жидкостей

Расход жидкости. Расходом называется количество жидкости, протекающей через поперечное сечение потока в единицу времени. Расход может быть объемным Q3/с] и массовым G [кг/с]. Взаимосвязь Q и G приведена в разд. 3.2.

Гидравлический радиус и эквивалентный диаметр. Под гидравлическим радиусом [м] понимают отношение площади затопленного поперечного сечения трубопровода или канала, через которое протекает жидкость, к смоченному периметру П [м]

. (3.1)

Например, для круглой трубы с внутренним диаметром d имеем и , поэтому

. (3.2)

Диаметр, выраженный через , называется эквивалентным диаметром; эта величина равна (см. 3.2)

или . (3.3)

Эквивалентный диаметр равен диаметру гипотетического трубопровода круглого сечения, для которого отношение площади S к смоченному периметру П имеет то же значение, что и для данного трубопровода некруглого сечения. Величины и принимаются в качестве расчетного линейного размера при движении жидкости по трубопроводам некруглого сечения.

Живое сечение потока есть поперечное сечение, нормальное к вектору средней скорости.

Установившееся и неустановившееся движение. Установившимся называют такой вид движения жидкости, при котором скорости частиц потока, а также плотность, температуры, давления и другие факторы не изменяются во времени в каждой фиксированной точке пространства, т. е. , где – составляющая скорости вдоль оси x. При неустановившемся движении, в отличие от установившегося, факторы, влияющие на движение жидкости, изменяются вo времени, например, .

Линия тока, трубка тока, элементарная струйка. Рассмотрим поток жидкости в некоторый момент времени (рис. 3.1). Выберем точку 1 и построим в ней вектор скорости . На этом векторе возьмем точку 2, отстоящую на бесконечно малом расстояний от точки 1. В точке 2 проделаем аналогичные построения. Затем выберем точки 3, 4, 5, 6, 7, 8. Если расстояние между точками уменьшить до нуля, то вместо ломаной линии 1–2–3–4–5–6–7–8 в пределе получим кривую линию, называемую линией тока. Линией тока называется линия, в каждой точке которой в данное мгновение вектор скорости совпадает с направлением касательной к этой линии. При установившемся движении линии тока совладают с траекториями движущихся частиц жидкости. Построим вокруг точки 1 замкнутый контур с бесконечно малой площадкой dS1 и через все точки данного контура проведем линии тока (рис. 3.2).

Эти линии образуют поверхность, называемую трубкой тока. Если через все точки площадки dS1 внутри трубки тока провести линии тока, то получим элементарную струйку, т. е. пучок линий тока. При решении многих задач гидродинамики делается предположение о том, что поток жидкости состоит из отдельных элементарных струек. Такая модель потока называется струйной моделью движения жидкости. Элементарная струйка при установившемся движении обладает следующими свойствами: а) ее форма не изменяется с течением времени (т. к. не изменяется вид линии тока); б) поверхность ее непроницаема для частиц жидкоcти, движущихся в данной и соседней струйках; в) вследствие малости поперечного сечения элементарной струйки скорости во всех точках ее поперечного сечения можно считать одинаковыми.

Равномерное и неравномерное, напорное и безнапорное движение жидкости. Равномерным называют такой вид движения, при котором все гидравлические параметры движения – скорости, форма русла, глубина – не изменяются по длине потока. Неравномерное движение характеризуется изменением по длине потока живого сечения и (или) скоростей в соответствующих точках. Напорным называют движение жидкости, когда поток не имеет свободной поверхности. Движение, при котором поток не со всех сторон ограничен твердыми стенками, а имеет свободную поверхность, называется безнапорным, или движением со свободной поверхностью.

3.2. Уравнение сплошности (неразрывности) потока

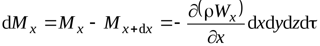
Установим общую зависимость между скоростями в потоке жидкости, для которого соблюдается условие сплошности (неразрывности) движения, т. е. не образуется пустот, не заполненных жидкостью. Выделим внутри потока элементарный параллелепипед объемом dV = dxdydz, ребра которого ориентированы параллельно осям координат (рис. 3.3). Пусть составляющая скорости потока вдоль оси х в точках, лежащих на левой грани параллелепипеда площадью . равна . Тогда через эту грань в параллелепипед войдет вдоль оси х за единицу времени масса жидкости , а за промежуток времени dτ масса жидкости , где плотность жидкости на левой грани параллелепипеда. На противоположной (правой) грани скорость и плотность могут отличаться от соответствующих величин левой грани и будут равны

и .

Рис. 3.3.

Тогда через правую грань из параллелепипеда за тот же интервал времени dτ выйдет масса жидкости

.

Приращение массы жидкости в параллелепипеде вдоль оси х составит

.

Если составляющие скоростей вдоль осей у и z равны и соответственно, то приращения массы в элементарном объеме вдоль этих осей, по аналогии, составят

;

.

Общее накопление массы в параллелепипеде за время dτ равно сумме его приращений вдоль всех осей координат

.

Вместе с тем изменение массы в полностью заполненном жидкостью объеме параллелепипеда возможно только вследствие изменения плотности жидкости в этом объеме. Поэтому . Приравниваем оба выражения и производим сокращение на ; получаем

. (3.4)

Уравнение (3.4) представляет собой дифференциальное уравнение неразрывности потока для неустановившегося движения сжимаемой жидкости. В установившемся потоке плотность не изменяется во времени , и для такого потока уравнение упрощается

. (3.5)

Для капельных жидкостей, которые практически несжимаемы, ρ = const, поэтому из (3.5) следует

. (3.6)

Уравнение (3.6) является дифференциальным уравнением неразрывности потока несжимаемой жидкости. Сумма изменений скорости вдоль осей координат в левой части (3.6) называется дивергенцией вектора скорости и обозначается через . Поэтому (3.6) можно записать так

(3.7)

Проинтегрируем дифференциальное уравнение неразрывности (3.5) для трубопровода переменного сечения, изображенного на рис. 3.4.

Интегрирование дает где S – площадь поперечного сечения трубопровода, W – средняя скорость течения. Тогда для рис. 3.4 имеем