




6



Рис.
5.9
При объемном регулировании подача насоса равна расходу жидкости через гидродвигатель, в то время как при дроссельном регулировании подача насоса больше расхода жидкости через гидродвигатель. Другими словами, при дроссельном регулировании часть рабочей жидкости, подаваемой насосом, сливается в бак, минуя гидродвигатель и не совершая полезной работы. Ввиду этого дроссельное регулирование неэкономично и применяется в гидроприводах небольшой мощности.
Гидроприводы вращательного движения. В гидроприводах с вращательным движением рабочего органа гидродвигателями являются шестеренчатые, шиберные, винтовые и роторно-поршневые гидромашины. Насос и гидродвигатель предпочитают соединять замкнутым контуром циркуляции: из гидродвигателя жидкость поступает во всасывающую линию насоса, минуя бак. Преимущество данной схемы перед открытой схемой, при которой жидкость из гидродвигателя сливается в бак, а затем поступает в насос, заключается в том, что она допускает реверсирование гидродвигателя и обеспечивает работу насоса и гидродвигателя при высокой частоте их вращения благодаря возможности создания в системе внешнего давления специальным вспомогательным насосом небольшой мощности.
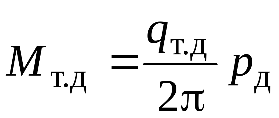
Установим некоторые характеристики гидропривода вращательного движения. Момент на валу гидромашины может быть определен в виде
,
(5.4)
где
– постоянный коэффициент момента,
зависящий от размеров и конструкции
гидромашины; р – давление рабочей
жидкости. Теоретическое значение
мощности на валу гидромашины составляет
,
где
– угловая скорость вращения вала;
– теоретическая производительность
(расход) гидромашины. Отсюда следует,
что момент равен
,
(5.5)
где n – частота вращения вала гидромашины. Введем понятие удельной теоретической производительности (расхода) за один оборот вала гидромашины
.
(5.6)
С учетом формулы (5.6) выражение (5.5) принимает вид
.
(5.7)
Сравнение выражений (5.5) и (5.7) показывает, что коэффициент момента равен
.
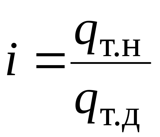
Передаточным
отношением называется отношение частот
вращения вала гидродвигателя и насоса:
.
По зависимости (5.6) получается
и
.
Без учета перетечек жидкости
можно считать, что теоретическая
производительность насоса равна
теоретическому расходу гидродвигателя:
.
Тогда передаточное отношение равно
,
(5.8)
т.е. величина i равна отношению удельной теоретической производительности насоса и удельного теоретического расхода гидродвигателя.
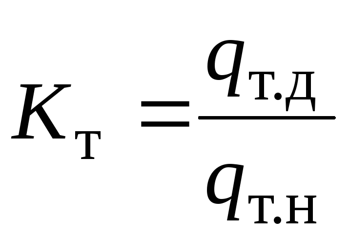
Коэффициентом трансформации крутящего момента называется соотношение крутящих моментов на валах гидродвигателя и на-соса
.
Из
формулы (5.7) следует
и
.
При отсутствии гидравлических потерь
давление в гидродвигателе и насосе
одинаково:
.
Поэтому коэффициент трансформации
крутящего момента составляет
.
(5.9)
Из
зависимостей (5.8) и (5.9) видно, что
.
Выражения (5.8) и (5.9) устанавливают
теоретические значения передаточного
отношения и коэффициента трансформации
крутящего момента. В действительности
i
и Кт
должны быть определены с учетом перетечек
жидкости и механических потерь. Тогда
действительное передаточное отношение
равно
,
(5.10)
где
– общий объёмный КПД гидропривода,
равный произведению объемных КПД насоса
и гидродвигателя. Величина коэффициента
трансформации с учетом механических
потерь составляет
(5.11)
где
– общий механический КПД гидропривода,
равный произведению механического КПД
насоса на механический КПД гидродвигателя.
В гидроприводах вращательного движения, также как и в гидроприводах возвратно-поступательного движения, применяют объемное и дроссельное регулирование скорости вращения рабочего органа гидродвигателя. На рис. 5.10 представлена схема объемного регулирования, состоящая из нерегулируемого насоса 1, регулируемого реверсивного гидродвигателя 2, предохранительного клапана 3, обратных клапанов 4, насоса подпитки 5, бака 6.
Рис.
5.10
Схема дроссельного регулирования с дросселем на входе показана на рис. 5.11.
Схема включает в себя регулируемый реверсивный гидродвигатель 1, распределительное устройство 2, дроссель 3, предохранительный клапан 4, нерегулируемый нереверсивный насос 5, бак 6. Принцип действия данных схем тот же, что и для схем гидроприводов, изображенных на рис. 5.8 и 5.9.
1






2









3
4








5
6


6




Рис.
5.11