Следовательно, единственно возможным направлением гидростатического давления является направление по внутренней нормали.
Второе свойство: величина гидростатического давления в любой точке жидкости по всем направлениям одинакова.
Выделим
в покоящейся жидкости около точки А
бесконечно малую
призму со сторонами dx,
dy
и dz
(рис 2.3.). Рассмотрим
условия равновесия этой призмы. Покажем
внешние силы, действующие на поверхности
призмы – силы гидростатического давления
.
Определим эти силы. Если
рz
– средние
гидростатические давления на
соответствующих сторонах призмы, то
;
;
.
К внешним силам относятся и объемные
силы (тяжести и центробежная). Обозначим
через
равнодействующую всех объемных сил,
отнесенную к единице массы. Тогда на
призму действует
равнодействующая всех объемных сил,
равная
,
где М
– масса
призмы. Объем призмы равен
,
и при плотности жидкости ρ
масса призмы составит
,
а равнодействующая будет
.
Сопоставляя объемные
силы
с силами гидростатического
давления
,
приходим к выводу, что объемные силы на
порядок меньше сил давления, поэтому
объемными силами можно пренебречь.
Рис. 2.3
Для
того, чтобы призма находилась в равновесии,
сумма проекций на любую ось всех сил,
действующих на призму, должна быть равна
нулю. Спроектировав силы
на оси х
и z,
получаем
;
или
;
.
Из
рис. 2.3 видно, что
и
,
поэтому имеем
;
или
.
(2.2)
Получили, что гидростатическое давление в исследуемой точке А одинаково по всем направлениям (так как направление п было взято нами произвольно).
Какова
зависимость гидростатического давления
в жидкости от координат трехмерного
пространства? Для ответа на данный
вопрос предположим, что покоящаяся
жидкость находится в поле сил давления
и тяжести. Выделим в жидкости элементарный
параллелепипед объемом
,
ориентируя его ребра вдоль координатных
осей (рис. 2.4). Априори можно считать, что
давление одновременно зависит от трех
координат, поэтому на параллельных
гранях параллелепипеда оно различно.
Например, на нижней грани давление равно
p,
а на верхней
.
Рис. 2.4
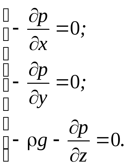
Воспользуемся основным принципом статики: сумма проекций на оси координат всех сил, действующих на элементарный объем, находящийся в равновесии, равна нулю. Сумма проекций на ось х:
.
Для оси у
.
Для оси z
,
где
,
– плотность жидкости.
После
упрощений с учетом
имеем
(2.3)
Полученная система (2.3) отвечает на поставленный вопрос и называется дифференциальными уравнениями равновесия Эйлера.
Из уравнений
равновесия Эйлера (2.3) следует, что
давление изменяется только по вертикали,
оставаясь одинаковым во всех точках
любой горизонтальной плоскости, т. е.
изменения давления вдоль осей х
и у равны нулю. Итак,
гидростатическое давление является
функцией только аппликаты z
(cм. рис. 2.4). Каков вид
данной функции? Установим это. В связи
с тем, что в системе (2.3) частные производные
и
равны нулю, частная производная
может быть заменена полной производной
,
поэтому получаем
.
Отсюда следует
.
Для несжимаемой однородной жидкости плотность постоянна, поэтому
или
.
После интегрирования получаем
.
(2.4)
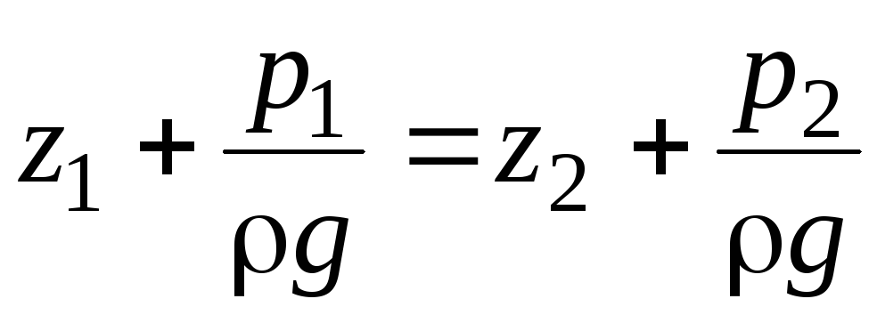
Если выбрать две произвольные горизонтальные плоскости, то уравнение (2.4) примет вид
.
(2.5)
В формуле (2.5) z1
и z2 –
высоты расположения двух точек внутри
покоящейся однородной капельной жидкости
над произвольно выбранной горизонтальной
плоскостью отсчета (плоскостью сравнения);
p1 и p2
– гидростатическое давление в этих
точках. Нетрудно установить, что слагаемые
и
так же, как z1
и z2, измеряются
в метрах. Поэтому величина
названа напором давления, или
пьезометрическим напором. Величины z1
и z2 названы
нивелирными высотами и отсчитываются
от плоскости сравнения.
Геометрический
смысл уравнения (2.5) заключается в том,
что для каждой точки покоящейся жидкости
сумма нивелирной высоты и пьезометрического
напора есть величина постоянная. Члены
уравнения (2.5) имеют также определенный
энергетический смысл. Из анализа
размерностей слагаемых z
и
получается, что эти величины
характеризуют энергиюt
приходящуюся на единицу веса жидкости
.
Поэтому нивелирная высота характеризует
удельную потенциальную энергию положения
данной точки над выбранной плоскостью
сравнения, а пьезометрический напор –
удельную потенциальную энергию давления
в рассматриваемой точке. Сумма указанных
энергий, называемая полным гидростатическим
напором (статическим напором), равна
общей потенциальной энергии, приходящейся
на единицу веса жидкости. Следовательно,
(2.5) – частный случай закона сохранения
энергии: удельная потенциальная энергия
есть величина постоянная.
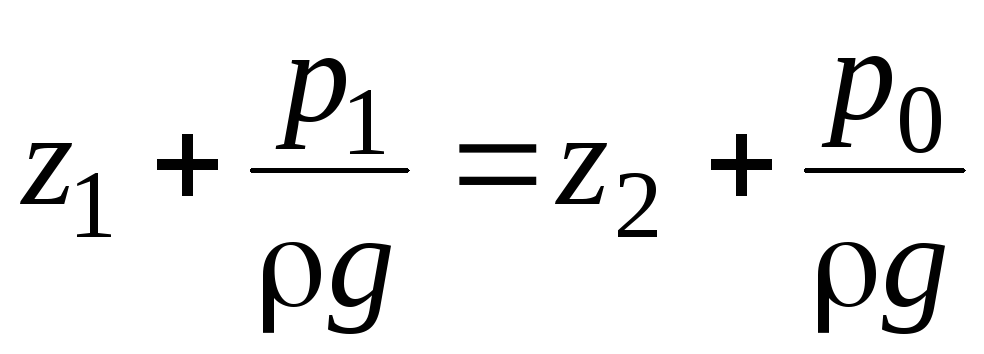
Как было указано, нивелирная высота отсчитывается вверх от плоскости сравнения. Это неудобно для проведения практических расчетов, так как чаще говорят о глубине погружения тела в жидкость, а не, например, о расстоянии между телом и дном. Поэтому преобразуем формулу (2.5). Допустим, что нужно найти давление в точке 1, погруженной в жидкость на глубину h (рис. 2.5).
В
ыберем
плоскостью сравнения 0–0 днище сосуда;
параллельно ей проведем плоскости I–I
и II–II
соответственно через точку 1 и
свободную поверхность жидкости. При
давлении на свободную поверхность p0
формула (2.5) примет вид
.
Отсюда
.
Учитывая, что
,
получаем
.
(2.6)
Формулы (2.4), (2.5) и
(2.6) называются основным уравнением
гидростатики. Оно устанавливает связь
между вертикальной координатой
трехмерного пространства и давлением.
Из этого уравнения следует, что
гидростатическое давление является
линейной функцией аппликаты. Величина
p1 в формуле
(2.6) называется абсолютным гидростатическим
давлением в точке 1. Оно равно
абсолютному давлению на свободной
поверхности p0,
сложенному с гидростатическим (весовым)
давлением
,
обусловленным весом самой жидкости.
Разность между
абсолютным и атмосферным давлением
называется избыточным (манометрическим)
давлением:
.
Разность между атмосферным и абсолютным
давлениями называется вакуумом:
.