Предохранительные клапаны, в отличие от обратных, имеют пружину с большим усилием прижима. Принцип их действия основан на уравновешивании силы давления жидкости усилием пружины или противодавлением жидкости. Предохранительные клапаны используют для ограничения давления в системе гидропривода.
Рис. 5.5
1
2
3
4
5
6
7
8
Редукционные клапаны применяют для снижения давления. Их отличительной особенностью является то, что давление жидкости на выходе из клапана осуществляет управляющее воздействие на работу самих клапанов, т. е. клапаны срабатывают при изменении давления на выходе из них. До срабатывания плунжер редукционного клапана удерживается в открытом положении пружиной. Если давление на выходе из редукционного клапана превысит установленную величину, то сила давления жидкости сожмет пружину, и плунжер начнет перемещаться в сторону закрытия, затрудняя проход жидкости через клапан. Такое движение плунжера будет происходить до тех пор, пока не установится заданное пониженное давление на выходе из клапана.
Трубопроводы. В гидроприводах применяют жесткие и гибкие трубопроводы. Чаще всего используют стальные бесшовные трубы; при их соединении применяют сварку, фланцевые соединения, накидные гайки с развальцовкой труб. В последние годы находят применение шарнирные и пружинящие соединения стальных труб. Если имеет место взаимное перемещение узлов гидроприводов во время работы, то их соединяют гибкими трубопроводами (резинотканевые шланги и металлические рукава). Кроме того, используют трубы из армированных пластмасс на основе полиэфирных и эпоксидных смол с армированием стекловолокном.
Фильтры. При работе гидропривода рабочая жидкость загрязняется попадающими извне инородными веществами и за счет износа трущихся деталей. Поэтому в схемах гидропривода предусматривают фильтры. Их устанавливают, как правило, в напорных магистралях в легкодоступных местах. Наиболее распространены фильтры механической очистки (металлические сетки и пластины, ткань, войлок, пластмасса, пористые металлические порошки, пропитанная маслостойкими смолами бумага). Кроме фильтров механической очистки, применяют центробежные очистители, магнитные и электростатические фильтры.
Баки. Баки необходимы для пополнения и питания системы гидропривода рабочей жидкостью. Для улучшения отстоя жидкости и отвода теплоты минимальная емкость бака должна в 2–3 раза превышать минутную производительность насоса. В баках делают перегородки для отделения линии слива от всасывающей линии насоса. Высота перегородки обычно составляет 2/3 высоты жидкости в баке. Для улучшения всасывания жидкости в насос баки часто делают закрытыми и заполняют под давлением воздухом или другим газом.
Гидроаккумуляторы. Гидроаккумуляторы предназначены для организации рациональной работы насоса: если подача насоса больше расхода жидкости через гидродвигатель, то жидкость накапливается в объеме гидроаккумулятора; если же она меньше расхода через гидродвигатель, то аккумулятор возвращает жидкость под давлением в систему, обеспечивая вместе с насосом требуемую подачу жидкости. Применение гидроаккумулятора позволяет повысить коэффициент использования мощности насоса и обеспечить более равномерную работу гидродвигателей за счет устранения пульсаций давления, создаваемых работой насоса. Различают гидроаккумуляторы пневматические, грузовые и пружинные. Наибольшее распространение получили пневматические гидроаккумуляторы, конструкция которых принципиально не отличается от устройства воздушных колпаков, рассмотренных в главе "Насосы".
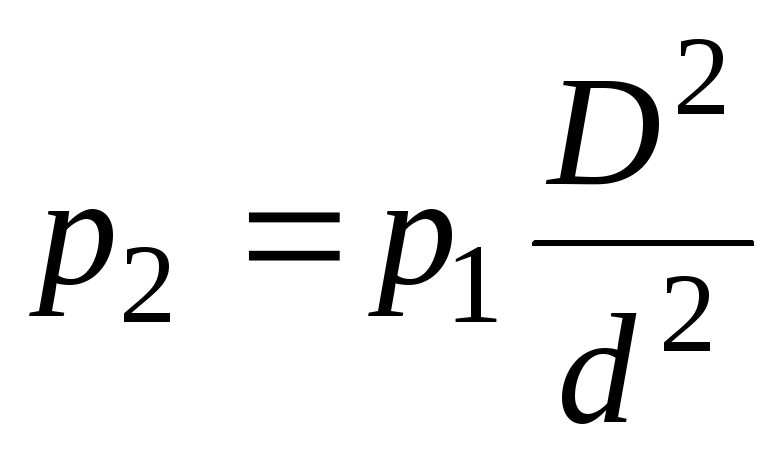
Гидравлические
мультипликаторы. Предназначены для
получения высоких давлений, которые не
могут быть созданы насосом. Схема
простейшего мультипликатора приведена
на рис. 5.6. Насос подает рабочую жидкость
в цилиндр большего диаметра и создает
в нем давление р1. При движении
плунжера мультипликатора в малом
цилиндре будет создано давление, равное
,
т. е. увеличение давления пропорционально
соотношению площадей цилиндров.
Мультипликаторы устанавливают в схемах
гидропривода между насосом и
гидродвигателем.
Гидроприводы возвратно-поступательного движения. В гидроприводах возвратно-поступательного движения гидродвигателем является силовой цилиндр (поршневая гидромашина). Конструкции силовых цилиндров многообразны, но все они могут быть разделены на цилиндры одностороннего и двухстороннего действия. Недостатком силовых цилиндров двухстороннего действия являются увеличенные габариты, так как шток выходит по обе стороны цилиндра (в этом заключается главное отличие силового цилиндра двухстороннего действия от поршневого насоса двухстороннего действия, изображенного на рис. 4.27).
С целью уменьшения
габаритных размеров применяют силовые
цилиндры одностороннего действия,
скорость движения поршня которых
одинакова в обоих направлениях. Каково
в этом случае должно быть соотношение
диаметров поршня D и
штока d (рис. 5.7)? При
движении поршня вправо со скоростью W
0 и штоковой полости цилиндра
вытесняется ежесекундно объем жидкости,
равный
.
Если подача насоса равна Q,
то в поршневую полость цилиндра
ежесекундно поступает объём жидкости
.
После подстановки в данное выражение значения Q 1 получаем скорость поршня при его движении вправо
.
(5.2)
При движении поршня влево насос подает ежесекундно объ- ем Q жидкости в штоковую полость цилиндра. По закону сплошности потока скорость будет
.
(5.3)
Сопоставление
формул (5.2) и (5.3) показывает, что скорости
поршня влево и вправо одинаковы при
условии
,
или
,
т. е. когда площадь поршня вдвое больше площади поперечного сечения штока.
Из формул (5.2) и
(5.3) также следует, что скорость поршня
находится по закону сплошности потока
,
где S – рабочая площадь
поршня. Значит, изменять скорость
перемещения рабочего органа гидропривода
можно только за счет изменения расходов
рабочей жидкости через гидродвигатель.
На этом основаны два способа бесступенчатого
регулирования скорости: объемное
регулирование за (счет изменения
производительности насоса) и дроссельное
регулирование (за счет изменения расхода
жидкости через гидродвигатель путем
установки в гидросистеме дросселя при
неизменной подаче насоса).
Объемный способ регулирования обычно применяется в гидроприводах с замкнутой циркуляцией рабочей жидкости, и осуществляется путем изменения рабочего объема (производительности) насоса, или изменения рабочего объема (расхода) гидродвигателя, или изменения рабочих объемов и насоса, и гидродвигателя. На рис. 5.8 изображена схема регулирования гидропривода за счет изменения производительности насоса, включающая регулируемый реверсивный насос 1, силовой цилиндр 2, предохранительные клапаны 3, обратные клапаны 4, насос подпитки 5, бак 6, напорную (сливную) линию 7, сливную (напорную) линию 8.
В данной схеме, отсутствует распределительное устройство, так как его роль выполняет реверсивный насос, который подает рабочую жидкость в силовой цилиндр. В результате поршень силового цилиндра перемещается и совершает полезную работу. Если при работе давление в напорной линии превысит допустимое значение, то сработает предохранительный клапан, и жидкость из напорной линии будет сливаться в бак до тех пор, пока давление не снизится до допустимой величины. Насос подпитки предназначен для компенсации утечек рабочей жидкости из элементов гидропривода.
При дроссельном регулировании гидропривода в зависимости от заданных условий дроссель может быть установлен на входе (дроссель установлен перед гидродвигателем на напорной линии), на выходе (дроссель установлен на сливной линии после гидродвигателя), на ответвлении (дроссель расположен на напорной линии параллельно гидродвигателю). На рис. 5.9 показана схема регулирования гидропривода с дросселем на выходе. Данная гидросистема состоит из силового цилиндра 1, распределителя 2, нерегулируемого нереверсивного насоса 3, дросселя 4, предохранительного клапана 5, бака 6. Скорость движения поршня регулируется путем изменения проходного сечения дросселя. При полностью открытом дросселе вся рабочая жидкость, подаваемая насосом, поступает в гидродвигатель; при этом скорость движения поршня максимальна. При полностью закрытом дросселе движение рабочего органа гидродвигателя прекращается, а слив жидкости в бак происходит через предохранительный клапан. Схема регулирования с дросселем на выходе наиболее предпочтительна, так как при этом поршень силового цилиндра может быть нагружен с обеих сторон, и его движение является плавным даже при переменной нагрузке.
1






2






4

5
6







3
6