В гидроприводах обычно используют рабочие жидкости минерального происхождения, обладающие высокой вязкостью (от 40 до 60 сСт при температуре 50 °С): нефтяные масла и спирто-глицериновые смеси. Такие жидкости работоспособны до температуры примерно 150 °С, а при более высоких температурах они вступают в реакцию с кислородом воздуха и разлагаются с выделением твёрдых плёнок и смолистых осадков, способных нарушить работу гидропривода. Кроме того, повышение температуры сопровождается увеличением давления насыщенных паров жидкости, что способствует возникновению кавитации. Ввиду этого в условиях высоких температур (150 °С и выше) применяют высокотемпературные жидкости, наиболее распространенными из которых являются синтетические жидкости, в частности полисилоксановые и кремнийорганические. Данные жидкости обладают хорошими высокотемпературными и низкотемпературными свойствами: в контакте с воздухом они допускают длительное нагревание при температурах до 250 °С, в закрытых системах (без доступа воздуха) их можно длительно использовать при температуре до 370 °С; одновременно эти жидкости допускают работу гидросистемы при температурах – 60 °С и ниже. Однако данные жидкости имеют значительный недостаток, заключающийся в том, что они растворяют пластификаторы синтетических каучуков; поэтому уплотнительные кольца, изготовленные из этих каучуков, становятся через некоторое время хрупкими и растрескиваются, и гидросистема теряет герметичность. Другой недостаток данных жидкостей состоит в том, что они уступают минеральным маслам по противоизносным и смазывающим свойствам.
В отдельных случаях
температура гидросистемы достигает
столь высоких значений, что исключается
возможность применения не только
минеральных, но и существующих
синтетических жидкостей. Для таких
условий перспективным считаются жидкие
металлы с низкой температурой плавления:
сплав, состоящий из 77 % натрия и 23 %
калия, который представляет собой
серебристый металл, напоминающий ртуть.
Температура его плавления равна
°С,
а температура кипения при атмосферном
давлении составляет 850 °С.
Итак, рабочие жидкости гидроприводов должны обладать следующими свойствами: хорошая смазывающая способность, низкая летучесть, высокая термостойкость.
В данном разделе рассмотрены гидравлические расчеты элементов гидропривода, конструкции вспомогательных устройств, схемы устройства и регулирования гидропривода.
элементов гидропривода
Известно, что принцип действия объёмных гидромашин основан на вытеснении несжимаемой жидкости из замкнутого объёма. Поскольку между движущимися и неподвижными узлами существуют зазоры, то действительная производительность Q объёмных гидромашин всегда ниже теоретической Qт на величину перетечек Qп жидкости из рабочих полстей в нерабочие. Это свойства гидромашин характеризует объёмный КПД
.
Отсюда следует,
что для определения величины
необходимо знать величину перетечек
жидкости Qп .
Найдём величину Qп,
например, в поршневой гидромашине.
z


0






W0
х


p1
p2


l
Рис. 5.1
На рис. 5.1 показана
схема поршневой машины с диаметром
поршня D, длиной l
и зазором между поршнем и цилиндром
.
Предположим, что
,
и поршень движется слева направо со
скоростью W0.
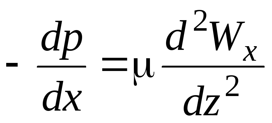
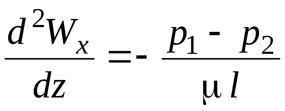
Для нахождения перетечек требуется
знать поле скоростей жидкости в зазоре
между поршнем и цилиндром. В свою очередь
эта задача может быть разрешена на
основании уравнения Навье–Стокса
(3.11) и уравнения сплошности потока (3.6).
Выберем оси координат x0z,
как на рис. 5.1. Для данного случая уравнения
(3.11) и (3.6) упростятся и примут вид
.
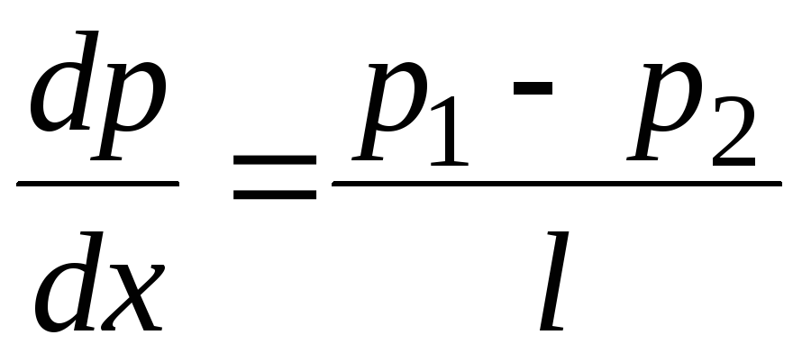
Градиент давления
можно считать линейной величиной:
,
поэтому получается
.
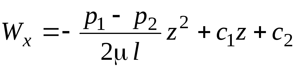
Интегрирование даёт
.
После повторного интегрирования имеем
.
Постоянные с1 и с2 находятся из условий:
1. При z = 0 (на поверхности поршня) имеет место Wx = W0 (вследствие прилипания жидкости к поверхности поршня). Отсюда получается с2 = W0.
2. При z
=
(на
стенке цилиндра) имеет место Wx
= 0. Поэтому
.
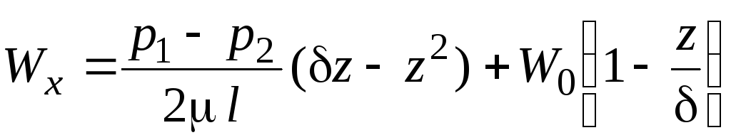
Тогда поле скоростей принимает вид
.
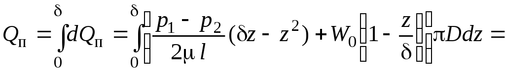
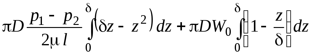
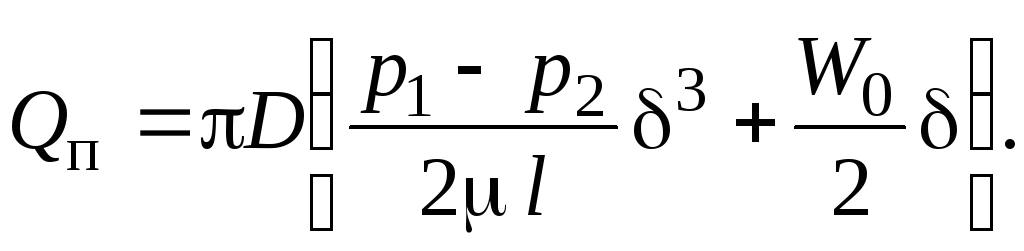
Величина перетечек определяется по
закону сплошности потока
,
где
– элементарная площадь, через которую
происходят перетечки (см.
рис. 5.1).
Далее получается

=
,
или окончательно
(5.1)
В поршневых
гидромашинах скорость W0
невелика, поэтому из формулы (5.1)
можно сделать вывод, что перетечки Qп
пропорциональны кубу зазора
.
Другой важной
задачей является определение
гидравлического сопротивления
трубопроводов гидропривода. При течении
жидкостей в трубопроводах гидропривода
возникают также дополнительные
сопротивления, обусловленные сужением
и прочими искажениями цилиндрического
сечения трубы, а также тем, что у стенок
трубы температура жидкости ниже в
следствие ее охлаждения, а в центральной
части трубы – выше. Поэтому коэффициент
гидравлического трения при ламинарном
режиме движения жидкости по трубопроводам
гидропривода несколько больше и равен
.
Для гидравлически гладких труб
гидропривода в диапазоне
справедливой остаётся формула Блазиуса
(3.53)
.
В автомодельной зоне сопротивления
(при
)
коэффициент гидравлического трения не
зависит от числа Рейнольдса и определяется
по зависимости Прандля – Никурадзе:
.
Местные потери напора при ламинарном
режиме движения зависят от режима
движения жидкости, поэтому
,
где А – постоянный коэффициент,
зависящий от вида местного сопротивления.
Опыты показывают, что коэффициент
зависит от числа Re только
при Re < 100. При
Re
> 1000 коэффициенты местных сопротивлений
практически не зависят от числа
Рейнольдса.
Распределительные устройства. Распределительные устройства предназначены для распределения и изменения направления потока жидкости между элементами гидропривода. Золотниковые гидрораспределители (золотники) применяют чаще всего (рис. 5.2). Конструкция золотника включает плунжер 1, цилиндрический корпус 2, фиксатор 3, управляющую рукоятку 4. Путём перемещения плунжера относительно корпуса золотника можно изменять направление движения жидкости за счёт соответствующего перекрытия рабочих окон золотниковой пары. Управление золотником может быть ручным, кулачковым, электромагнитным и гидравлическим. Золотники используют при больших расходах, на малых давлениях рабочей жидкости, так как в этом случае перетечки через зазоры между плунжером и цилиндром не оказывают существенного влияния на работу гидропривода. Наоборот, при малых расходах, но больших давлениях рабочей жидкости целесообразно применять клапанные распределительные устройства, обладающие высокой герметичностью, компактностью и простотой управления.
К гидродвигателю
От гидродвигателя
От насоса
1
2
3
4
Рис. 5.2
Дроссельные устройства. Дроссельные устройства применяют в гидроприводах для ограничения и регулирования расхода жидкости и представляют собой гидравлические сопротивления. Дроссельные устройства подразделяют на нерегулируемые (демпферы) и регулируемые (дроссели).
Демпферы применяют для торможения (дросселирования) жидкости при колебаниях и других нестационарных процессах, т. е. для стабилизации работы элементов гидропривода. Дроссели предназначены для регулирования расхода жидкости посредством изменения величина проходного сечения канала (щели). На рис. 5.3 показаны схемы демпферов, а на рис. 5.4 – дросселей. При прохождении жидкости через щель дросселя часть энергии жидкости теряется на преодоление сопротивления щели, что приводит к снижению расхода жидкости. Следовательно, при помощи дросселя можно регулировать расход жидкости через гидродвигатель, а значит – скорость движения его рабочего органа.
Рис. 5.3
Рис. 5.4
Клапаны. Клапаны являются самыми распространенными элементами гидроприводов. С их помощью предохраняют узлы гидропривода от перегрузок, устанавливают определенную последовательность работы узлов, создают определенное направление потока, устанавливают заданное давление, разделяют поток на части, создают постоянный перепад давления и т. д. Принято различать три группы клапанов: обратные, предохранительные и редукционные.
Обратные клапаны предназначены для пропуска жидкости только в одном направлении. При изменении направления потока обратный клапан закрывается, и пропуск жидкости прекращается. В открытом положении клапаны должны иметь минимальное сопротивление, а в закрытом – обеспечивать заданную герметичность. Плунжерный обратный клапан (рис. 5.5) состоит из корпуса 1, крышки 2, плунжера 3, седла 4 и пружины 5. При работе клапана жидкость подводится к отверстию 6; она поднимает вверх плунжер и открывает проход к отверстию 7. При изменении направления движения жидкости на противоположное клапан закрывается, так как жидкость попадает через отверстие 8 плунжера в надклапанную полость, и плунжер прижимается к седлу. Усилие пружины должно быть минимальным и достаточным только для надежной посадки плунжера в седло, так как клапан открывается и закрывается за счет силы давления жидкости.