Индикаторная
диаграмма показывает зависимость
абсолютного давления в цилиндре от
пути, пройденного поршнем. Она вычерчивается
специальным прибором – индикатором,
устанавливаемым на цилиндре работающего
насоса. На рис. 4.23 показана индикаторная
диаграмма поршневого насоса простого
действия. Линия аb
соответствует процессу всасывания.
Давление в цилиндре в этот период равно
и меньше атмосферного
.
Под действием разности давлений
![]()
всасывающий клапан поддерживается в
открытом состоянии. Точка b
соответствует правому крайнему положению
поршня. В этот момент всасывающий клапан
закрывается, поршень начинает двигаться
влево, и давление в цилиндре резко
возрастает (линия bc)
до
,
при котором открывается нагнетательный
клапан (точка с).
Подача жидкости в нагнетательный
трубопровод происходит при постоянном
давлении
.
Точка d
соответствует левому крайнему положению
поршня, после которого поршень начинает
двигаться вправо. Нагнетательный клапан
закрывается, давление в циллиндре резко
падает до значения
,
при котором происходит открытие
всасывающего клапана (точка а).
В моменты открытия клапанов (точки а
и с)
возникает некоторые колебания давления,
вызванные инерцией клапанов.
a
b
c
d
S
p
p0
paт
pн
Рис. 4.23
На
рис. 4.23 изображена нормальная индикаторная
диаграмма (исправного насоса); если вид
индикаторной диаграммы насоса отличается
от нормального вида, то это указывает
на наличие дефектов в работе насоса
(запаздывание закрытия всасывающего
или нагнетательного клапанов, попадание
воздуха в цилиндр в период всасывания,
недостаточный объем воздушного колпака
на всасывающем трубопроводе, наличие
«воздушного мешка» в цилиндре, и т. д.).
Индикаторная диаграмма позволяет
определить индикаторную мощность
насоса, равную, в некотором масштабе,
площади индикаторной диаграммы.
Индикаторная мощность
связана с полезной мощностью
соотношением
=![]()
,
где
![]()
![]()
– индикаторный КПД.
Регулирование работы поршневых насосов заключается в изменении их производительности. Известно, что у поршневых насосов производительность не зависит от напора (см. рис. 4.18), поэтому для этих насосов неприемлемо регулирование задвижкой. В то же время формулы (4.23) и (4.24) показывают, что производительность можно регулировать за счет изменения частоты вращения кривошипа и длины хода поршня. Кроме того, поршневые насосы регулируют воздействием на их всасывающий клапан, а также перепуском части жидкости из нагнетательного трубопровода во всасывающий.
Регулирование изменением частоты вращения кривошипа. Из зависимостей (4.23) и (4.24) следует, что производительности Q1 и Q2 пропорциональны соответствующим им частотам вращения кривошипа n1 и n2, поэтому Q1/Q2 = n1/n2. Для регулирования частоты вращения необходимы электродвигатели постоянного тока или асинхронные электродвигатели с контактными кольцами, что значительно затрудняет реализацию этого способа изменения производительности насоса. Данный способ регулирования целесообразно применять только для крупных насосов.
Регулирование изменением длины хода поршня. Изменение длины хода поршня достигается изменением длины передаточных элементов или изменением эксцентриситетов в кривошипно-шатунном механизме. При таком способе регулирования точно обеспечивается определенный рабочий объем цилиндра, поэтому его часто применяют в дозирующих насосах.
Регулирование воздействием на всасывающий клапан. Сущность данного способа регулирования состоит в следующем: всасывающий клапан держится приоткрытым в течение определенного периода времени акта нагнетания. За счет этого часть жидкости вытесняется из цилиндра через всасывающий клапан во всасывающий трубопровод. После того, как в цилиндре будет достигнуто давление, соответствующее требуемому, всасывающий клапан закрывается и начинается подача в нагнетательный трубопровод. Всасывающим клапаном управляют при помощи электромагнитного, механического или гидравлического устройства. Данный способ регулирования менее экономичен по сравнению с предыдущими методами, так как часть энергии, потребляемой насосом, бесполезно расходуется на создание обратного потока жидкости через всасывающий клапан.
Регулирование перепуском жидкости. При таком способе регулирования часть жидкости, подаваемой насосом в нагнетательный трубопровод, отводится через перепускной (обводной) трубопровод с установленной на нем задвижкой на сторону всасывания насоса. При этом возможно снижение подачи жидкости до значения, равного 30 % от полной подачи в нагнетательный трубопровод. Дальнейшее уменьшение подачи не рекомендуют, так как произойдет значительный нагрев жидкости, что во многих случаях недопустимо. Данный способ регулирования неэкономичен, однако является простым и поэтому распространен на практике.
При эксплуатации поршневых насосов особое внимание следует обратить на следующее:
1. Перед пуском насоса необходимо полностью открыть задвижки на всасывающем, нагнетательном и перепускном трубопроводах.
2. После пуска медленно закрывают задвижку на перепускном трубопроводе, устанавливая тем самым требуемую подачу жидкости в нагнетательный трубопровод.
3. При отсутствии перепускного трубопровода для предупреждения поломки необходимо установить предохранительный клапан на нагнетательном трубопроводе, отрегулировав его таким образом, чтобы он открывался при превышении насосом рабочего давления на 10 %.
4. Во время работы насоса нужно следить за показаниями манометра, вакуумметра, за уровнем жидкости в воздушных колпаках.
5. Для остановки насоса выключить двигатель, закрыть задвижки на всасывающем и нагнетательном трубопроводах.
Монтежю работают по принципу вытеснения жидкости из резервуара газом или паром. Схема монтежю приведена на рис. 4.24. Основным элементом монтежю является вертикальный или горизонтальный сосуд 1. Для перекачивания жидкостей чаще всего используют энергию сжатого воздуха. Монтежю работает переодически. Жидкость поступает в монтежю по подводящему трубопроводу через открытый кран 2, для чего открывают кран-воздушник 3 (если наполнение происходит под атмосферным давлением) или кран 4, соединяющий монтежю с вакуум-линией (если наполнение происходит под вакуумом). При передавливании жидкости закрывают краны 2, 3 и 4 и открывают кран 5 на нагнетательном трубопроводе 6 и кран 7 подачи сжатого газа, давление которого контролируют по манометру 8. После опорожнения монтежю закрывают краны 5 и 7 и открывают кран 3 для сообщения монтежю с атмосферой.


Рис. 4.24
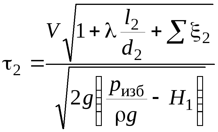
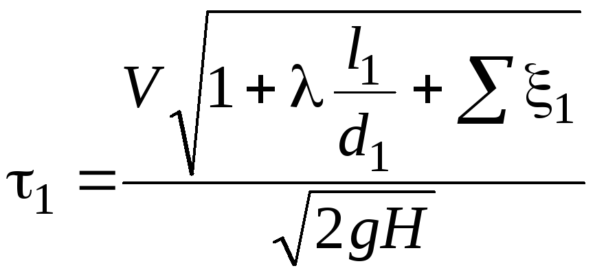
Производительность монтежю зависит от числа циклов работы за единицу времени и определяется по формуле Q = V/τ (м3/с), где V – объем монтежю, τ – продолжительность цикла, включающая продолжительность наполнения монтежю τ1, продолжительность опорожнения τ2 и продолжительность вспомогательных операций по перекрытию кранов τ3. В свою очередь, величины τ1 и τ2 рассчитываются по зависимостям
и
,
(4.28)
где H – напор, при котором жидкость поступает в монтежю, H1 – высота нагнетания жидкости, ризб – избыточное давление газа в монтежю, λ – коэффициент гидравлического трения, l1 и l2 – длины подводящего и отводящего трубопроводов жидкости, d1 и d2 – диаметры подводящего и отводящего трубопроводов жидкости, Σξ1 и Σξ2 – сумма коэффициентов местных сопротивлений всасывающего и нагнетательного трубопроводов.
Достоинствами монтежю являются отсутствие движущихся частей, которые наиболее быстро разрушаются из-за истирания и коррозии; возможность перекачивания загрязненных, агрессивных и сильно нагретых жидкостей; возможность поднятия жидкости на значительную высоту и простота обслуживания. Недостатками монтежю являются низкий КПД (10 – 20 %) и необходимость наличия компрессорной установки, для обслуживания которой требуется квалифицированный персонал. В соответствии с правилами устройства и безопасной эксплуатации сосудов, работающих под давлением, Ростехнадзору необходимо периодически осуществлять внешний и внутренний осмотр и гидравлические испытания монтежю, что усложняет организацию работы монтежю в производственных усло-виях.
По виду рабочего органа шиберные насосы, наряду с шестеренчатыми и винтовыми, относят к роторным насосам (см. рис. 4.1). Рабочий орган роторных насосов совершает вращательное движение и вытесняет жидкость в нагнетательный трубопровод, поэтому роторные насосы являются насосами объемного типа. Основными частями роторного насоса являются: корпус (статор), ротор, вращающийся от ведущего вала, и вытеснители, вращающиеся вместе с ротором. Именно по конструкции вытеснителя роторные насосы подразделяют на шиберные, шестеренчатые, винтовые, шланговые и др. Роторные насосы конструируются в основном на средние производительности и относительно высокие давления. Устройство шиберного насоса схематично изображено на рис. 4.25. Насос представляет собой массивный цилиндр 1 с прорезями постоянной ширины (ротор), который эксцентрично расположен в корпусе 2. В прорези цилиндра вставляются прямоугольные пластины 3, которые при вращении ротора под действием центробежной силы прижимаются к внутренней поверхности цилиндра, разделяя на камеры серповидное рабочее пространство 4 между корпусом и ротором. Объем каждой камеры увеличивается при движении пластины от всасывающего патрубка 5 к вертикальной оси насоса, в результате чего происходит всасывание жидкости в насос через патрубок 5. При движении пластины от вертикальной оси в направлении вращения объем камеры уменьшается и жидкость вытесняется из насоса в нагнетательный трубопровод 6. За один оборот ротора каждая пластина участвует один раз во всасывании и один раз в нагнетании.
1
3
4
5
6
с
с
e
О1
О2
x
r
β
φ
О1
r
О2
Р
2
Определим производительность шиберного насоса, полагая, что ротор имеет бесконечно большое число пластин. Для этого соединим точки с, О2 и О1 прямыми линиями. Полученный треугольник изобразим отдельно на рис. 4.25. Рабочая часть пластины (перекрывающая серповидное пространство) равна h = x – (r – e), где e – эксцентриситет. Из треугольника сО2О1 получается x = r∙cos β + + e∙cos(180˚ – φ) = r∙cos β – e∙cos φ. Для большинства насосов e/r → 0, поэтому cos β → 1. Тогда x = r – e∙cos φ и h = e (1 – cos φ). Элементарная теоретическая производительность за один оборот ротора равна dQт = h∙b∙r∙dφ, где b – длина ротора. Полная производительность составляет
,