О
тносительным
равновесием жидкости называется такой
случай ее движения, при котором отдельные
ее частицы не смещаются одна относительно
другой, и вся масса жидкости движется
как твердое тело. Предположим, что
цилиндр, наполненный жидкостью до
глубины
,
приведен во вращательное движение
вокруг вертикальной оси 0z
с угловой скоростью ω (рис. 2.16).
Вращающиеся стенки цилиндра приведут
во вращение ближайшие к стенкам слои
жидкости, а затем, вследствие вязкости
жидкости, и всю ее массу. По истечении
некоторого времени вся жидкость будет
вращаться с той же угловой скоростью
ω, что и сосуд. Допустим, что такой
момент времени наступил. Какую форму
будет иметь поверхность равного давления,
и в частности, свободная поверхность?
Каков закон распределения гидростатического
давления? Чтобы ответить на поставленные
задачи, рассмотрим уравнение поверхности
равного давления (2.15). Для нахождения
проекций ускорения выберем в жидкости
точку М и покажем ускорения, возникающие
под действием сил, действующих в жидкости.
Какие силы возникают в жидкости? Это –
сила земного тяготения (направлена
вертикально вниз) и сила центробежная
(направлена вдоль оси 0х на периферию).
В результате действия этих сил полное
ускорение точки М будет складываться
из ускорения свободного падения g
и центробежного ускорения ε (рис.
2.16). Величина
,
где V – линейная
скорость точки, r –
радиус ее вращения. Тогда
,
где х – координата точки М (рис.
2.16).
И полное ускорение равно
.
Проектируя величину W
на координатные оси, получаем:
,
,
.
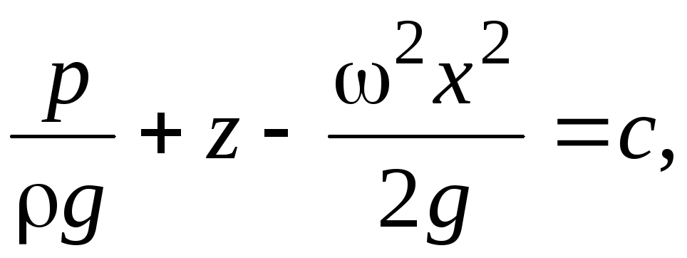
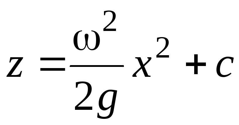
Тогда уравнение (2.15) примет вид
или
.
После интегрирования имеем
.
Полученное уравнение
линии равного давления является
уравнением параболы с вершиной в
некоторой точке А с координатой
на оси 0z. Значит, при
относительном равновесии жидкости во
вращающемся сосуде поверхностью равного
давления является параболоид вращения
(см. свободную поверхность жидкости на
рис. 2.16). Теперь установим закон
распределения гидростатического
давления. Для этого преобразуем основное
дифференциальное уравнение гидростатики
(2.14) с учетом формул
или

Интегрируя при
– постоянных величинах, получаем
(2.17)
где с –
постоянная интегрирования. Для ее
нахождения возьмем точку А на
свободной поверхности (рис. 2.16). Для нее
,
(атмосферное давление),
(координата вершины параболы). Toгда
имеем
и после подстановки в (2.17) находим
(2.18)
Проанализируем
полученное уравнение (2.18). Для всех точек
одной вертикали (
)
сумма членов в правой части (2.18) постоянна:
,
поэтому закон распределения
гидростатического давления будет
следующим:
или
Видно, что гидростатическое давление
изменяется в зависимости от z
по линейному закону (ср. с формулой
(2.6)).
Принцип решения данной задачи состоит в определении составляющих силы гидростатического давления по двум направлениям с последующим геометрическим сложением этих частных сил. Выделим на некоторой цилиндрической поверхности АВ (рис. 2.17) элементарную площадку величиной dS.
Ее центр тяжести
погружен в жидкость на глубину h.
Если атмосферное давление равно р0,
то полное гидростатическое давление в
центре тяжести площадки составит
Тогда элементарная сила абсолютного
давления равна
![]()
Эта сила направлена по нормали к площадке dS, проведенной через ее центр тяжести. Разложим силу dP на вертикальную dPв и горизонтальную dPг составляющие (рис. 2.17)
;
.
(2.19)
В
еличины
и
равны площадям проекций площадки dS
на горизонтальную x0y
и вертикальную x0z
плоскости, т. е.
;
.
Тогда формулы (2.19) примут вид
;
.
Интегрируем полученные зависимости по площади:
![]()
;
![]()
.
Первые слагаемые
в правой части
полученных формул равны соответственно
и
,
где
и
– проекции площади фигуры AВ
на плоскости x0y
и z0y
(см. рис. 2.17). Дли нахождения интеграла
проведем через различные точки периметра
площадки dS
вертикальные образующие до пересечения
с плоскостью x0y.
В результате получим элементарный объем
АВСD равный
.
Сравнив это выражение с подынтегральным
выражением, по-
лучаем, что величина интеграла равна объему АВСD. Тогда вертикальная составлявшая будет
(объем
АВСD).
(2.20)
Итак, вертикальная
составляющая силы гидростатического
давления равна сумме силы внешнего
давления на горизонтальную проекцию
цилиндрической поверхности АВ и
веса жидкости в объеме АВСD,
ограниченного цилиндрической поверхностью
АВ, вертикальными плоскостями АD
и ВС и свободной поверхностью
жидкости (рис. 2.17). Величина
есть статический момент площади проекции
поверхности АВ на вертикальную
плоскость z0y
относительно оси 0у, равный
,
где
– глубина погружения центра тяжести
площадки
.
Тогда получаем
.
(2.21)
Выражение (2.21)
идентично формуле (2.8) для силы давления
на плоскую стенку. Поэтому величина
равна силе абсолютного давления, под
воздействием которого находится
вертикальная плоская стенка, равная по
площади вертикальной проекции
цилиндрической поверхности. На основе
формул (2.20) и (2.21) получаем, по правилу
параллелограмма, силу абсолютного
давления на поверхность АВ
.
(2.22)
Каково воздействие жидкости на погруженное в нее тело? Допустим, что в жидкость погружено тело сферической формы. Выберем координатные оси так, как показано на рис. 2.18.
Покажем силы,
действующие на тело со стороны жидкости:
Очевидно, что силы
,
а также
равны по величине и противоположны по
направлению. Поэтому они исключаются
из дальнейшего анализа. Проведем
контурные линии АА' и ВВ', а также
разделим тело на две части плоскостью
АВ. На верхнюю часть поверхности
жидкость воздействует с силой
,
а на нижнюю –
.
Результирующая сила равна
.
Находим
и
,
воспользовавшись формулой (2.20):
(объем
АA'В'BСA);
(объем
АA'В'ВДA).
Отсюда
(объем
АA'В'BСA)
– (объем АA'В'ВДA)
=
(объем
АСBDA).
(объем
АСBDA).
(2.23)