,
кг/с, (3.8)
где G – массовый расход жидкости.
Выражение (3.8) –
уравнение неразрывности (сплошности)
потока в интегральной форме; оно
называется также уравнением постоянства
расхода: при установившемся движении
жидкости, полностью заполняющей
трубопровод, через его поперечное
сечение проходит за единицу времени
одна и та же масса жидкости. Если
,
тогда из (3.8) имеем
,
м3/с, (3.9)
где Q – объемный расход жидкости.
Из (3.9) видно, что скорости жидкости обратно пропорциональны площадям поперечных сечений трубопровода. Массовый и объемный расходы взаимосвязаны: G·= Q ρ.
Какая зависимость
существует между составляющими скоростей
и давлений при трехмерном движении
идеальной жидкости? Прежде чем искать
ответ на вопрос, нужно уяснить, какие
силы действуют в движущейся идеальной
жидкости. Очевидно, что это – силы
инерции, силы давления и сила тяжести.
Рассмотрим установившийся поток
идеальной жидкости. Выделим в нем
элементарный параллелепипед объемом
(рис. 2.4). Как было показано при выводе
дифференциальных уравнений равновесия
Эйлера, проекции на оси координат сил
тяжести и сил давления составляют: для
оси х:
;
для оси у:
;
для оси z:
.
Согласно основному принципу
динамики, сумма проекций сил, действующих
на движущийся элементарный объем
жидкости, равна произведению массы
жидкости на ее ускорение. Масса
параллелепипеда равна
.
Если жидкость движется со скоростью W,
то ее ускорение равно
,
а проеции ускорения на координатные
оси равны
,
и
,
где
,
,
– составляющие скоростей вдоль осей
х, у, z. При
этом производные
,
и
отвечают изменению значений
,
,
только во времени (наблюдатель связан
с движущейся частицей потока). В
соответствии с основным принципом
динамики
;
;
![]()
,
и
ли
;
;
![]()
.
(3.10)
Система уравнений (3.10) называется дифференциальными уравнениями движения Эйлера для установившегося потока идеальной жидкости. Производные в левой части (3.10) называются субстанциональными; для установившегося движения они равны
;
;
.
При неустановившемся
движении скорость жидкости изменяется
не только при перемещении частицы потока
из одной точки пространства в другую,
но и с течением времени в каждой точке,
поэтому при неустановившемся движении
в правую часть субстанциональных
производных
,
и
дополнительно вводят члены соответственно
,
и
.
Установим уравнения, описывающие движение вязкий (реальной) капельной жидкости. При движении такой жидкости в ней, помимо сил давления, тяжести и инерции, действуют также силы трения. Выделим в потоке вязкой жидкости элементарный параллелепипед со сторонами dx, dу, d z (рис 3.5).
Сначала рассмотрим
случай одномерного плоского потока
жидкости в направлении оси х. В этих
условиях касательные напряжения
возникают лишь на верхней и нижней
гранях элементарного параллелепипеда.
Если на нижней грани касательное
напряжение равно τ, то на верхней равно
,
где производная
выражает изменение касательного
напряжения вдоль оси z
в точках, лежащих на нижней грани
параллелепипеда, а
– есть изменение этого напряжения
вдоль всей длины dz
ребра параллелепипеда. Направления
сил трения на рис. 3.5 обусловлены тем,
что, например, вышележащие над
параллелепипедом слои затормаживают
его, а слои, лежащие под ним, разгоняют
параллелепипед. Проекция равнодействующей
сил трения на ось х равна

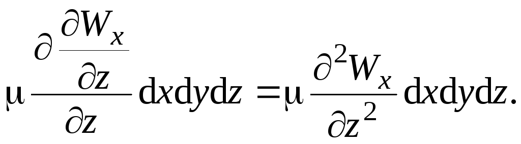
Подставим в это выражение значение касательного напряжения τ по закону Ньютона внутреннего трения (1.8) . Тогда получим

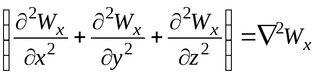
При трехмерном движении жидкости составляющая скорости Wх будет изменяться не только в направлении z, но и в направлении осей координат x и y. Тогда проекция равнодействующей сил трения на ось х примет вид
.
Сумму вторых производных по осям координат называют оператором Лапласа и обозначают
.
Тогда проекция
равнодействующей сил трения на ось х
запишется
По аналогии, проекция равнодействующей
сил трения на ось у равна
на ось z –
Тогда сумма проекций на оси координат
давления, тяжести и трения, действующих
на элементарный объем, равна: на ось х:
;
на ось у:
;
на ось z:
.
В соответствии с основным принципом
динамики данные суммы проекций сил
равны произведению массы жидкости на
проекции ускорения на соответствующие
координатные оси. Масса объема составляет
Подставляя это выражение в предыдущие
формулы и сокращая на dxdydz,
получим
;
;
.
(3.11)
Уравнения (3.11)
называются уравнениями движения
Навье-Стокса. В левой части этих уравнений
содержится субстанциональная производная,
расшифровка которой дана в предыдущем
napаграфе. Для идеальной
жидкости динамический коэффициент
вязкости
,
и тогда уравнения (3.11) совпадают с
уравнениями Эйлера (3.10). Исчерпывающее
описание движения вязкой жидкости
возможно путем решения уравнений
Навье-Стокса (3.11) совместно с уравнением
сплошности потока (3.6). Однако современными
средствами математики уравнения
Навье-Стокса неразрешимы в самом общем
виде (уравнения (3.11) – в частных
производных, нелинейные, второго
порядка), поэтому пока удалось получить
точное решение данных уравнений только
для простейших случаев движения. В
большинстве случаев, при невозможности
точного решения уравнений Навье-Стокса,
делают упрощающие допущения или
преобразуют указанные уравнения методами
теории подобия с последующим
экспериментированием, что позволяет
получать расчетные зависимости
полуэмпирического характера.