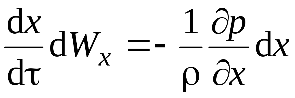
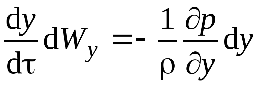
Уравнение Бернулли для идеальной жидкости получается решением уравнений движения Эйлера (3.10) для установившегося потока. Для этого умножим левую и правую части каждого из уравнений (3.10) соответственно на dx, dy, dz и разделим на плотность жидкости ρ. Получим
;
;
.
Учитывая, что
,
,
,
сложим эти уравнения
.
(3.12)
Слагаемые левой части выражения (3.12) могут быть представлены как
;
;
.
Следовательно, их сумма будет равна


,
где W
– скорость, составляющие которой вдоль
соответствующих осей координат равны
,
,
.
В то же время второе слагаемое в
правой части выражения (3.12) есть полный
дифференциал давления dр
(при установившемся движении давление
зависит только от положения точки в
пространстве, но в каждой данной точке
не изменяется вo времени).
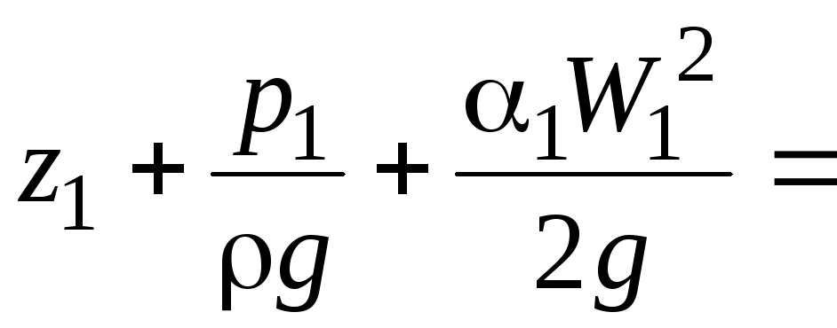
Значит, формула (3.12) принимает вид
.
Разделив обе части этого уравнения на ускорение свободного падения g и перенеся все его члены в левую часть, находим
![]()
Отсюда
(3.13)
Для двух любых поперечных сечений потока (трубопровода) уравнение (3.13) можно представить в виде

(3.14)
Выражения (3.13) и
(3.14) называются уравнением Бернулли для
идеальной жидкости. Слагаемые z
и
,
как уже известно, называются соответственно
нивелирной высотой
и пьезометрическим напором. Напомним,
что сумма
есть статический напор, характеризующий
удельную потенциальную энергию жидкости.
Величину
называют скоростным (динамическим)
напором; анализ размерностей показывает,
что эта составляющая уравнения Бернулли
может быть выражена в единицах длины
[м] и в единицах удельной энергии [Дж/н],
т. е. кинетической энергией, приходящейся
на единицу веса жидкости. Сумма
называется полным гидродинамическим
напором (гидродинамическим напором).
Поэтому, в соответствии с (3.13), геометрический
смысл уравнения Бернулли состоит в том,
что при установившемся движении идеальной
жидкости сумма статического и скоростного
напоров, равная гидродинамическому
напору, не изменяется при переходе от
одного поперечного сечения потока к
другому.
Вместе с тем из
уравнения Бернулли, в соответствии с
энергетическим смыслом его членов,
следует, что при установившемся движении
идеальной жидкости сумма удельной
потенциальной
и удельной кинетической
энергии жидкости для каждого из
поперечных сечений потока остается
неизменной. В соответствии с этим в
трубопроводе переменного сечения при
его сужении часть потенциальной энергии
переходит в кинетическую, а при расширении,
наоборот, часть кинетической энергии
превращается в потенциальную, но общее
количество энергии остается постоянным.
Отсюда следует, что при движении идеальной
жидкости количество энергии, поступающей
с потоком через начальное сечение
трубопровода, равно количеству энергии,
удаляющейся с потоком через конечное
сечение трубопровода. Таким образом,
уравнение Бернулли является частным
случаем закона сохранения и превращения
энергии и выражает энергетический
баланс потока. При W
= 0 уравнение Бернулли (3.13) совпадает с
основным уравнением гидростатики (2.4).
П
риведем
пример использования уравнения Бернулли
для потока идеальной жидкости,
движущейся через трубопровод,
показанный на рис. 3.6.

Выберем два
поперечных сечения I–I
и II–II;
плоскость сравнения совместим с осью
0х так, что нивелирные высоты равны
z1 и z2.
Установим в центре сечений I–I
и II–II две
вертикальные открытые с обеих сторон
трубки. Прямые трубки называются
пьезометрическими трубками (пьезометрами);
в них жидкость поднимается на высоту,
отвечающую гидростатическому давлению
в точках погружения (т. е. эти приборы
будут измерять пьезометрические напоры
и
).
В трубках с нижними концами, направленными
навстречу потоку (трубках Пито), уровень
жидкости будет выше, чем в пьезометрических
трубках, так как трубки Пито показывают
сумму пьезометрического и скоростного
напоров
![]()
.
Однако согласно уравнению (3.14), в обеих
трубках Пито жидкость поднимается на
одну и ту же высоту относительно плоскости
сравнения, равную гидродинамическому
напору Н. Площадь живого сечения
II–II
трубопровода меньше сечения I–I.
Значит, при постоянном расходе жидкости
средняя скорость ее движения
больше скорости
(согласно закона сплошности потока
(3.9). Поэтому (см. рис. 3.6)
;

Приведенный пример демонстрирует переход потенциальной энергии в кинетическую при уменьшении площади живого сечения трубопровода, а также постоянство суммы этих энергий в любом поперечном сечении трубопровода.
Линия Е–Е, проведенная по горизонтам жидкости в трубках Пито, называется напорной линией; линия Р–Р, проведенная по горизонтам жидкости в пьезометрах, называется пьезометрической линией (см. рис. 3.6). Для идеальной жидкости напорная линия всегда горизонтальна, а пьезометрическая линия либо горизонтальна, либо может иметь уклон как вверх по направлению движения жидкости, так и вниз (в зависимости от изменения площади живого сечения потока). Фигура, ограниченная пьезометрической линией и плоскостью сравнения, представляет собой эпюру изменения статического напора вдоль потока. В то же время фигура, заключенная между напорной и пьезометрической линиями, характеризует изменение скоростного напора вдоль потока. Итак, уравнение Бернулли выражает энергетический баланс движущейся идеальной жидкости.
Как установить энергетический баланс для движущейся реальной жидкости? Одинаковы ли энергетические балансы потоков идеальной и реальной жидкостей? Каковы условия взаимного перехода потенциальной энергии в кинетическую и обратно в потоке реальной жидкости? Напомним, что в потоке реальной жидкости действуют силы инерции, давления, тяжести (как и в идеальной жидкости) и, кроме того, силы внутреннего трения, зависящие от вязкости жидкости и характера ее движения, а также существуют силы трения жидкости о стенки трубопровода. Указанные силы трения оказывают сопротивление движению жидкости, на преодоление которого расходуемся некоторая часть энергии потока. Поэтому общее количество энергии жидкости будет непрерывно уменьшаться по длине канала вследствие перехода части потенциальной энергии жидкости в потерянную (тепловую) энергию. Значит, уравнение (3.14) несправедливо для реальной жидкости, и при ее движении по трубопроводу, показанному на рис. 3.6, будет иметь место следующее энергетическое неравенство:

Для сохранения
баланса энергии в правую часть этого
неравенства необходимо ввести
дополнительное слагаемое, учитывающее
потерянный напор
.
Тогда получим уравнение Бернулли для
реальных жидкостей

(3.15)
где
и
– кинетические коэффициенты (скорости),
учитывавшие неравномерность распределения
скоростей по живому сечению потока
(например, на оси потока и на стенке –
см. рис. 3.20); величины
и
определяются опытным путем на основании
измерения поля скоростей в различных
точках живого сечения и равны 1,05...1,10,
т. е. близки к единице при турбулентном
режиме движения.
Потерянный напор
характеризует удельную энергию (т. е.
энергию, отнесенную к единице веса
жидкости), расходуемую на преодоление
гидравлического сопротивления при
движении реальной жидкости. Из уравнения
(3.15) получается


Отсюда следует,
что потерянный напор равен разности
горизонтов жидкости в трубках Пито,
установленных в произвольных поперечных
сечениях потока I–I
и II–II, т. е.
при движении реальной жидкости, например,
по трубопроводу, изображенному на рис.
3.6, уровень жидкости в трубке Пито сечения
I–I будет
располагаться выше жидкости в трубке
Пито сечения II–II
на величину
.
Это означает, что для реальных жидкостей
напорная линия всегда является нисходящей
по направлению движения потока,
характеризуя постоянное уменьшение
запаса энергии. В то же время пьезометрическая
линия, как и для идеальной жидкости,
может иметь уклон либо вверх, либо вниз
(в зависимости от характера изменения
площади живого сечения).
Уменьшение гидродинамического напора, приходящееся на единицу длины потока, называется гидравлическим уклоном:
,
где l – длина потока.
Уменьшение статического напора, приходящее на единицу длины потока, называется пьезометрическим уклоном:
.
Очевидно, что для
реальных жидкостей всегда i
> 0, для идеальных i
= 0, в то время как
как для реальных, так и для идеальных
жидкостей. Определение потерь напора
или потерь давления
является важной практической задачей,
связанной с расчетом энергии, которая
необходима для перемещения реальных
жидкостей при помощи насосов. В разделах
3.11, 3.14 и 3.15 задача расчета
является предметом специального
рассмотрения.
Уравнение Бернулли (3.15) получило исключительно широкое применение в инженерной практике ввиду того, что: 1) характеризует взаимосвязь потенциальной, кинетической и потерянной энергии в общем энергетическом балансе для потока жидкости; 2) содержит средние для живых сечений потока давления и скорости и поэтому является удобным и простым для проведения расчетов; 3) устанавливает зависимость между скоростями и давлениями в потоке; 4) обладает хорошей наглядностью, так как каждое его слагаемое, помимо энергетического смысла, имеет также геометрический смысл.