Так как
и по закону сплошности потока
,
то
.
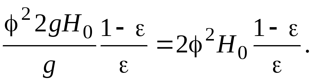
Тогда (3.24) примет вид
![]()
,
или
![]()
.
(3.25)
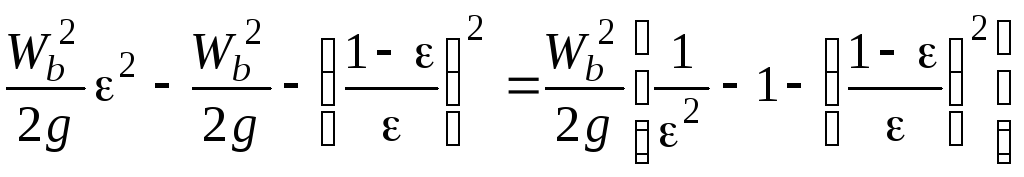
Выразим
через напор
.
Для этого подставим выражение (3.22) в
формулу (3.25):
![]()
(3.26)
Например, для
внешнего цилиндрического наседка
,
и тогда
.
Однако на практике предельное значение
не превышает 8 м вод. ст., так как при
большем вакууме насадок работает
неустойчиво (происходит подсос воздуха
через сечение b-b).
Поэтому напор, при котором работает
насадок, не должен превышать следующего
предельного значения
(3.27)
Рассмотрим
опорожнение резервуара с постоянной
площадью поперечного сечения
(рис. 3.14).
S
Ω
Рис. 3.14
Каково время
понижения уровня жидкости от значения
до величины
?
Как установить время полного опорожнения
резервуара через отверстие в днище
площадью S (см. рис.
3.14)? В течение бесконечно малого отрезка
времени dτ истечение
можно считать происходящим при некотором
постоянном напоре Н, поэтому
воспользуемся формулой (3.18) и определим
объем жидкости, вытекшей из резервуара
за время dτ:
.
При опорожнении резервуара на величину
понижение уровня будет бесконечно малым
и равным dH
(cм. рис. 3.14). Поэтому
,
где знак "минус" указывает на
понижение уровня. Далее получаем
Отсюда

Интегрирование в
пределах от
до
дает


или
(3.28)
Время полного
опорожнения резервуара (случай, когда
)
составит
,
(3.29)
где V
– объем жидкости в резервуаре до
начала опорожнения, м3; Q
– расход жидкости при начальном
напоре
,
м3/с.
Из выражения (3.29) следует, что время полного опорожнения резервуара при переменном напоре в 2 раза больше тогo времени, которое требуется для вытекания из резервуара жидкости при начальном напоре в количестве, равном первоначальному объему.
Уравнение Бернулли широко используют при конструировании и расчете приборов для измерения скорости и расхода жидкостей (пневмометрических трубок и дроссельных приборов). Из рис. 3.6 следует, что для экспериментального определения скорости движения жидкости необходимо знать разность высот поднятия жидкости в трубке Пито и пьезометре (скоростной напор)

По найденной таким
образом величине
находят скорость в той точке, где
установлен наконечник трубки Пито
.
Пьезометры и трубки Пито называются
пневмометрическими трубками. Для
удобства определения скорости вместо
двух вышеуказанных пневмометрических
трубок используется одна U-образная,
представляющая собой разновидность
дифференциального манометра
(рис.
3.15). U-образная трубка
заполнена жидкостью, которая не
смешивается с рабочей и имеет большую
плотность, чем последняя. По результатам
измерений скоростного напора
находят скорость жидкости (например,
на оси трубопровода).
Рис. 3.15
Более широкое распространение, чем пневмометрические трубки, получили дроссельные приборы. Принцип их действия основан на измерении перепада давлений при изменении поперечного сечения трубопровода. В дроссельных приборах создается искусственное сужение потока, поэтому скорость и кинетическая энергия в более узком сечении возрастают, что приводит к уменьшению потенциальной энергии (давления) в том же сечении. Поэтому, измерив дифференциальным манометром перепад давлений между сечением трубопровода до его сужения и сечением в самом сужении, можно по нему вычислить скорость и расход жидкости.
В качестве дроссельных приборов используют мерные диафрагмы, сопла и трубы Вентури. Рассмотрим работу трубы Вентури. Она имеет постепенно сужающееся сечение, которое затем расширяется до первоначального размера (рис. 3.16). Считая трубопровод горизонтальным, запишем уравнение Бернулли относительно оси трубопровода для сечений I–I и II–II, в которых установлены отборники давления:


По закону сплошности
потока
или
.
Отсюда
Подставим это значение в уравнение
Бернулли


Отсюда
,
где
– показание дифференциального манометра
(см. рис. 3.16).
Рис.
3.16
I
I
II
II
W2
W1
Тогда средняя
скорость
равна
,
(3.30)
а объемный расход
жидкости будет
При выводе уравнения (3.30) не были учтены
потери энергии при движении жидкости
через прибор. Практически их можно
учесть, введя коэффициент расхода трубы
Вентури
Тогда окончательно получим
В
1883 году английский физик
0. Рейнольдс
провел первые детальные исследования
режимов движения жидкостей. На рис. 3.17
показана принципиальная схема его
опытной установки. Она состоит из бака,
в котором поддерживается постоянный
уровень жидкости, и горизонтальной
стеклянной трубы, в которую вводится
краситель. Наблюдения показывают, что
при небольшой скорости жидкости
окрашенная струйка вытягивается в
горизонтальную нить, которая, не
размываясь, достигает конца трубы (см.
рис. 3.17). Этот факт свидетельствует о
том, что пути частиц жидкости прямолинейны
и параллельны друг другу. Такой вид
движения называется ламинарным (от
латинского слова lamina –
слой, пластинка).
Если скорость жидкости в трубе увеличить сверх определенного предела, то окрашенная струйка сначала приобретает волнообразное движение, а затем начинает размываться, смешиваясь с основной массой жидкости. Это объясняется тем, что отдельные частицы жидкости движутся уже не параллельно друг другу, а перемешиваются в поперечном направлении. Такой вид движения называется турбулентным (от латинского turbulentus – вихревой) (см. рис. 3.18, на котором показана только стеклянная труба).
О
пыты
показывают, что переход от ламинарного
течения к турбулентному происходит тем
быстрее, чем больше массовая скорость
жидкости
и диаметр трубы d
и меньше вязкость жидкости µ.
Рейнольдс установил, что указанные
величины можно объединить в безразмерный
комплекс
,
значение которого позволяет судить
о режиме движения жидкости. Этот комплекс
назван критерием (числом) Рейнольдса
Re
.
(3.32)
При расчете каналов
произвольной формы живого сечения под
величиной d в
формуле (3.32) надо понимать эквивалентный
диаметр dэ
(как известно, для круглой трубы dэ
= d). Критерий
Re характеризует
соотношение сил инерции и трения
(вязкости) в потоке жидкости. Переход
от ламинарного режима к турбулентному
начинается при некотором критическом
значении
.
Так, экспериментальные исследования
показывают, что при движении жидкостей
по прямым гладким трубам
.
Это означает, что при Re <
2320 режим движения ламинарный; в диапазоне
2320 < Re < 10000 происходит
переход от устойчивого ламинарного к
турбулентному режиму, поэтому указанный
интервал критерия Re
соответствует переходному режиму в
прямых трубах. При Rе >
10000 устанавливается уcтойчивый
турбулентный режим движения. Не следует
забывать, что приведенные границы
режимов движения являются условными и
приблизительными. Например, в трубопроводе
с большим числом поворотов даже при Re
< 2320 может установиться турбулентный
режим движения.
Знание режима движения жидкости необходимо как для проведения гидравлических расчетов, так и расчетов интенсивности теплообмена и массообмена на границе стенка–жидкость.