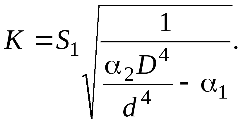
(3.31)
Из уравнения (3.31) видно, что для определения расхода жидкости надо знать постоянную прибора, зависящую от ее размеров

Коэффициенты
кинетической энергии можно принимать
равными
Коэффициент расхода для новых труб
Вентури составляет µ = 0,985, а для
бывших в употреблении µ = 0,98. Однако
наиболее надежные результаты измерений
получают только после опытной тарировки
труб Вентури в требуемом диапазоне
расходов.
Методика расчета мерной диафрагмы и сопла аналогична рассмотренной методике расчета трубы Вентури.
Предположим, что в канале с постоянным живым сечением S равномерно движется жидкость (рис. 3.19).
I
I
II
2
II
D
P
P
Рис. 3.19
0
p2/ρg
p1/ρg
B
Угол наклона оси
потока к горизонту равен α, смоченный
периметр составляет П. Каково влияние
площади живого сечения, смоченного
периметра, длина канала, рода жидкости
на потери напора при равномерном
движении? На данный вопрос дает ответ
основное уравнение равномерного
движения. Известно, что равномерное
движение устанавливается при взаимном
уравновешивании всех действующих в
жидкости сил, поэтому сумма проекций
внешних сил, приводящих жидкость в
движение, на любую ось должна быть равна
сумме проекций сил сопротивления на ту
же ось. Проведем сечения I–I
и II–II на
расстоянии l друг
от друга, выберем горизонтальную ось
0–0 (см. рис. 3.19). Внешними силами,
действующими на объем жидкости АВСD
являются силы давления Р1 и
Р2, а также сила тяжести
G. Найдем эти силы:
;
;
,
где р1 и р2 –
давления соответственно в сечениях I–I
и II–II.
Действию данных внешних сил оказывают
сопротивление силы внутреннего трения
в жидкости и силы трения жидкости о
стенки канала. Суммарный эффект сил
сопротивления можно определить в виде
общей силы сопротивления
,
где τ – величина силы трения,
приходящаяся на единицу внутренней
поверхности объема АВСD.
Составим равенство проекций внешних
сил и сил сопротивления на ось 0–0 (см.
рис. 3.19):
С учетом, что
,
получаем
,
или

Сгруппируем слагаемые левой части
(3.33)
Так как средние скорости для сечений I–I и II–II одинаковы (W1 = W2), то последнюю формулу можно записать

В левой части
получена разность гидродинамических
напоров для сечений I–I
и II–II,
которая, в соответствии с уравнением
Бернулли (3.15), равна потере напора
.
Тогда
(3.34)
Формула (3.34) называется основным уравнением равномерного движения. Из него следует, что при равномерном движении потери напора прямо пропорциональны длине канала, смоченному периметру, касательным напряжениям на стенке и обратно пропорциональны удельному весу жидкости и площади живого сечения канала. Выражение (3.34) справедливо как для напорного движения в трубах, так и для безнапорного движения в открытых руслах.
Если в сечениях I–I и II–II установить пьезометры, то по высоте поднятия жидкости в них несложно определить величину hп (см. рис. 3.19), здесь Р–Р – пьезометрическая линия.
Основное уравнение
равномерного движения (3.34) имеет и другую
форму записи. По формуле (3.2)
– гидравлический радиус канала; кроме
того, известно, что
– гидравлический уклон (см. разд. 3.6). С
учетом этого зависимость (3.34) принимает
вид
или
.
(3.35)
Формула (3.35) – наиболее часто встречающийся вид записи основного уравнения равномерного движения.
Потери напора при движении жидкости по трубопроводам обусловлены сопротивлением по длине (трения) hдл и местным сопротивлением hмс. Сопротивление hдл существует при движении жидкости по всей длине трубопровода, так как оно обусловлено наличием сил трения в самой жидкости, а также силами трения жидкости о стенки трубопровода. Местные сопротивления возникают при изменении скорости потока по величине и (или) направлению (в местах сужений, расширений и поворотов трубопроводов; в каналах, вентилях, задвижках, сварных швах и т. д.). Таким образом, потери напора в общем случае находятся как оумма двух величин:
hп = hдл + hмс. (3.36)
Расчету потерь hдл и hмс. при ламинарном и турбулентном режимах движения жидкости посвящены разд. 3.11; 3.14; 3.15.
В круглом трубопроводе
(рис. 3.20) выберем поперечное сечение
радиусом r и
установим для него напряжение трения.
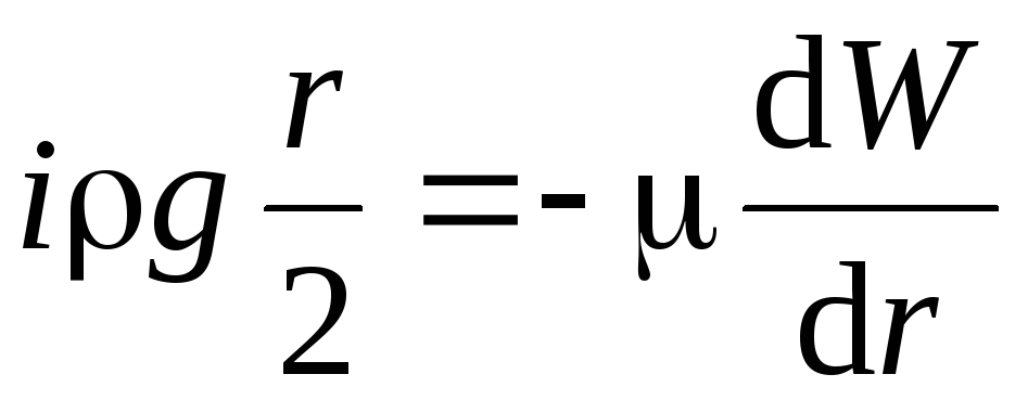
С одной стороны, по закону внутреннего
трения Ньютона (1.8)
а с другой, по основному уравнению
равномерного движения (3.33)
,
так как
.
Приравнивая правые части этих формул,
имеем
.
Отсюда
.
Интегрирование дает
Постоянную интегрирования находим из условия: при r = r0 (на стенке) скорость W = 0. Тогда имеем
или

Поэтому профиль скорости примет вид
(3.37)
Зависимость (3.37)
является уравнением параболы. Значит,
профиль скорости в живом сечении
трубопровода является параболическим
(см.рис. 3.20). Из (3.37) видно, что максимальное
значение скорости имеет место при r
= 0 (на оси трубы):
Если это выражение подставить в (3.37), то
получим закон Стокса
.
(3.38)
Для построения эпюры касательных напряжений снова обратимся к основному уравнению равномерного движения. Из него видно, что величина τ изменяется в зависимости от rг по линейному закону, причем τ = τmax при r = r0, т. е. максимальное касательное напряжение будет на стенке. В соответствии с этим на рис. 3.20 показана эпюра касательных напряжений в жидкости.
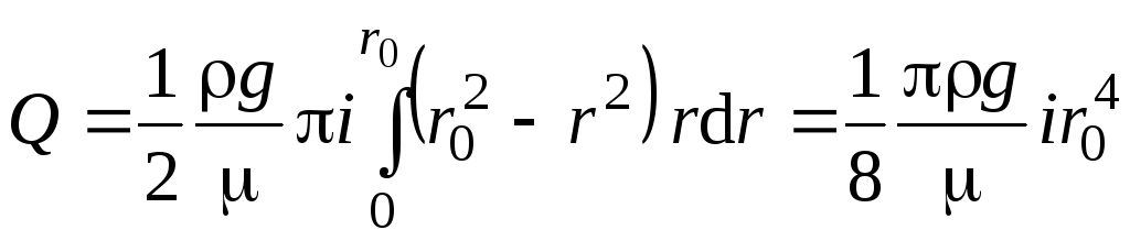
Определим расход жидкости по трубе, считая известным поле скорости в живом сечении. Для этого выберем элементарное кольцевое сечение толщиной dr (cм. рис. 3.20), имеющего радиус r. Элементарный объемный расход равен
.
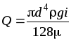
Интегрирование дает
,
или
,
(3.39)
где d – диаметр трубы.
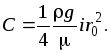
Зависимость (3.39) называется уравнением Пуазейля. Определим среднюю скорость потока, пользуясь законом сплошности потока:
,
(3.40)
т. е. Wcp = 0,5Wmax (см. рис. 3.20), и тогда (3.38) можно записать
.
(3.41)
Теперь найдем потери напора по длине трубопровода, пользуясь зависимостью (3.40):
,
где
l – длина трубопровода.
Отсюда
.
(3.42)
Из уравнения (3.42)
следует, что при ламинарном режиме
движения потери по длине пропорциональны
средней скорости в
первой степени:
.
Преобразуем выражение (3.42). Для этого
домножим числитель и знаменатель правой
части на 2Wcp
(индекс "ср" для простоты опустим).
Получим